Find Your Style
Women
Men
Accessories
Search for clothing, brands, styles...
×
Women
Men
Accessories
Vector Grove
Search
Loading...
No suggestions found
VECTOR X
VECTOR X Breathable Riding Sports Gloves
219
myntra.com
VECTOR X
VECTOR X Training Or Gym Sports Gloves
494
myntra.com
VECTOR X
VECTOR X Riding Sports Gloves
725
myntra.com
VECTOR X Ultimax Synthetic Leather, Breathable Mesh With Creep Rubber ...
flipkart.com
Vector X Liverpool Shinguard – Khelomore Shop
shop.khelomore.com
VECTOR X Drive 2.0 Fast Strap Synthetic Leather Upper & Mesh | PVC ...
flipkart.com
VECTOR X Fantastic Football Shoes For Men - Buy VECTOR X Fantastic ...
flipkart.com
Vector X Turbo-X Football Shoes for Men - Price History
pricehistoryapp.com
VECTOR X Nitro-X Football Shoes For Men - Buy VECTOR X Nitro-X Football ...
flipkart.com
VECTOR X Ranger Badminton Shoes For Men - Price History
pricehistoryapp.com
VECTOR X Panther Football Shoes For Men - Buy VECTOR X Panther Football ...
flipkart.com
VECTOR X Nitro-X Football Shoes For Men - Buy VECTOR X Nitro-X Football ...
flipkart.com
Vector X Leather Gym Bag Duffel Bag Shoulder Bag for Men and Women ...
amazon.in
VECTOR X VRX7 Football Shin Guard - Buy VECTOR X VRX7 Football Shin ...
flipkart.com
VECTOR X X-Force Football Shoes For Men - Buy VECTOR X X-Force Football ...
flipkart.com
VECTOR X Mettalica Badminton Shoes For Men - Buy VECTOR X Mettalica ...
flipkart.com
Vector X England Shin Pad – Khelomore Shop
shop.khelomore.com
VECTOR X - Men | FASHIOLA INDIA
fashiola.in
VECTOR X Skyper Football Shoes For Men - Buy VECTOR X Skyper Football ...
flipkart.com
VECTOR X Nitro X Soccer Studs Synthetic Leather Upper | TPU Sole ...
flipkart.com
Vector X Heavy Adjustable Latex Tube Exerciser with D Handles | Buy ...
thesportstuff.in
VECTOR X Velocity Football Shoes For Men - Buy VECTOR X Velocity ...
flipkart.com
VECTOR X Blaster Cricket Shoes For Men - Buy VECTOR X Blaster Cricket ...
flipkart.com
Riding schools and equestrian team logo design | Premium Vector
freepik.com
Sports background vector international sports day illustration graphic ...
freepik.com
Vector X Basketball Board – Khelomore Shop
shop.khelomore.com
Determine the x and y components of each of the force vectors above.a ...
brainly.in
Vectors x and y in V are orthogonal(perpendicular)
ece.poriyaan.in
If ® ® a and b are non-collinear vectors, find the value of x for which ...
brainly.in
If ® ® a and b are non-collinear vectors, find the value of x for which ...
brainly.in
Buy Football Guard (फुटबॉल गार्ड) Online in India | Flipkart.com
flipkart.com
Amazon.in Bestsellers: The most popular items in Mobile Gaming Finger ...
amazon.in
Buy Football Guard (फुटबॉल गार्ड) Online in India | Flipkart.com
flipkart.com
Buy Football (फ़ुटबॉल) Ball Online | Flipkart.com
flipkart.com
Vector-X SPIKE Rubber Volleyball | Buy Volleyball Online in India ...
thesportstuff.in
Melbourne cup poster Images - Free Download on Freepik
freepik.com
Ghoda Images - Free Download on Freepik
freepik.com
Raster vs. Vector: what's the difference? | Blog | Sticker Mule India
stickermule.com
Letr andy in r\" be non-zero column vectors. form the matrix a=xy ...
scoop.eduncle.com
Angle Between Two Vectors- Meaning, Formula, Examples
adda247.com
レーシングカーラップデザインベクトル | Premiumベクトル素材
jp.freepik.com
Free Cars Vectors PNG
imageshine.in
Mind Maps for Vectors Revision - Class XI, JEE, NEET
esaral.com
Prove that the vectors a=i+2j+3k and b=2i-j are perpendicular to each ...
brainly.in
Lentiviral Vectors for Delivery of Gene-Editing Systems Based on CRISPR ...
mdpi.com
Buy 800 Peak Amp Jump Starter, 120 PSI Air Compressor, Three USB ...
ubuy.co.in
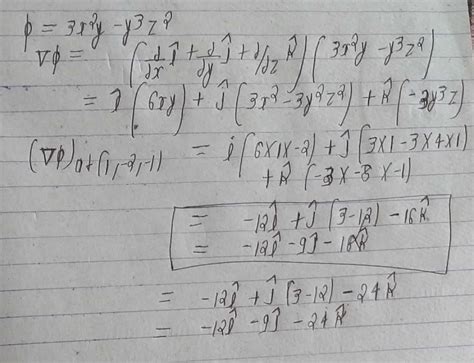
If andphi; = 3x2y - y3z2 theat the point(1,-2,-1) isa)b)-25c)d)None of ...
edurev.in
Let vectors A⃗ =(2,1,−4), B⃗ =(−3,0,1), and C⃗ =(−1,−1,2). Calculate ...
ask.learncbse.in
Let A and B be the two vectors of magnitude 10 unit each . If they are ...
brainly.in
آبی گرافیک | دانلود آموزش ،گرافیک و عکس
abipic.com
How Many Days Until Ganesh Chaturthi 2023? All You Need To Know About ...
indiatimes.com
Related Searches
Hand Gloves For Bike Man
Hand Gloves For Bike Riding In Summer
Hand Gloves Cycle Riding
Bike Riding Hand Gloves
Hand Gloves For Bike Riding
Sport Bike Gloves
Hand Gloves For Bike
Gloves For Bicycle Man Summer
Bike Hand Gloves
Cool Gloves Men Motorcycling
Summer Motorcycle Gloves For Men
Bike Riding Gloves For Men
Motorcycle Summer Gloves Men
Bike Riding Gloves Amazon
High Quality Half Finger Motorcycle Gloves Comfortable Breathable Non Slip
Sports Gloves Men S Bicycle
Rockbros Motorcycle Gloves
Gloves For Riding Bicycle Men
Motorcycle Gloves Sport
Glove For Motorcycle Summer
Search
×
Search
Loading...
No suggestions found