Find Your Style
Women
Men
Accessories
Search for clothing, brands, styles...
×
Women
Men
Accessories
Vpeak Formula
Search
Loading...
No suggestions found
Total Dissolved Solids Measurements Demo [Analog Devices Wiki]
wiki.analog.com
Efficiency Enhancement Design Approach in the Side Wing of a FSAE Car ...
mdpi.com
Lung Volumes Respiratory Capacities & Spirometer | AESL
aakash.ac.in
Ratio formulas - best formula - LIQUIDITY RATIO 1 current Ratio current ...
studocu.com
The Suzuki GSX-R 1000 is Back From the Dead, and Possibly Better Than Ever
msn.com
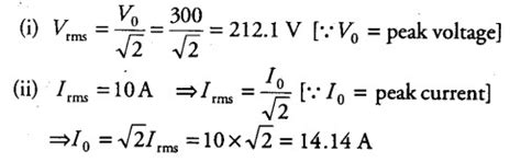
The peak voltage of an AC supply is 300V - CBSE Class 12 Physics ...
ask.learncbse.in
Efficiency Enhancement Design Approach in the Side Wing of a FSAE Car ...
mdpi.com
GP Formula- Sum of n Terms, Sum of Infinite GP
adda247.com
VPEAK-IN05 ピークビズ PCクッションケース エツミ 外側オープンポケット×1 質量200g VPEAK-IN05 - 【通販モノタロウ】
monotaro.com
Orbital Velocity Formula: Definitions, Examples, Derivations ...
collegesearch.in
Entropy
home.iitk.ac.in
In osmotic pressure method, molecular mass of polymers can be obtained ...
scoop.eduncle.com
Cash Reserve Ratio, Definition, Rate, Formula, Importance
studyiq.com
Trigonometry Formula Tricks, Identities, Trigonometric Ratio
sscadda.com
Trigonometry Formula Tricks, Identities, Trigonometric Ratio
sscadda.com
Ratio Analysis Formulas - Formulas For Ratio Hnalysis Type Balancing ...
studocu.com
Hotel Formula International & Puravita SPA, Rosolina, Italy - www ...
trivago.in
An Introduction to the International Fisher Effect - India Dictionary
1investing.in
Ratio and Proportion - Definition, Examples and Formulas
sscadda.com
Convert Currency in Number to Words (Indian Rupees) - Version 2 | Live ...
livetolearn.in
Differentiation Formula, Definition, Concept and Examples
careerpower.in
CAT Formula PDF - QUANT FORMULAS CAT By CAT 100%iler Topic Page No ...
studocu.com
HOTEL FORMULA (Rosolina) - Hotel Reviews, Photos, Rate Comparison ...
tripadvisor.in
Comprehensive Analysis of Collinear Points: Definitions, Examples ...
collegesearch.in
List of Essential Trigonometry formulas for Class 10, 11, and 12 Notes ...
edurev.in
Trigonometry Formulas and Identities, All Formula List
careerpower.in
Deduce the dimensional formula for R, using ideal gas equation PV = nRT ...
ask.learncbse.in
Ratio and Proportion - Definition, Examples and Formulas
sscadda.com
Buy Qwasdfg Products Online at Best Prices in India | Ubuy
ubuy.co.in
Hotel Formula International & Puravita SPA, Rosolina, Italy - www ...
trivago.in
Basic Statistics Formula - Mathematics for Digital SAT PDF Download
edurev.in
Our favourite made-in-India moisturisers for glowing and happy skin
lifestyleasia.com
The Elements Of Mining Engineering: Arithmetic, Formulas, Geometry And ...
amazon.in
Acceleration- Formula, Unit, Definition and Meaning
adda247.com
All Algebraic Formulas PDF, Class 10 & 12 Maths Identities
adda247.com
Derivative Formula, Rules, Examples And Derivatives List
pw.live
Buy Asdfger Products Online at Best Prices in India | Ubuy
ubuy.co.in
Area Related To Circles Formula, Diameter, Radius, Area
pw.live
Important Formulas of Mathematics Class 10 | NCERT Chapter 6 to 10 ...
esaral.com
Mensuration Formulas in Maths for 2D and 3D Shapes, PDF Available
careerpower.in
World Currency to Indian Rupee Exchange Rates,Foreign Currency Value in ...
goodreturns.in
Important Formulas: Ratio and Proportion - General Test Preparation for ...
edurev.in
Accounting Ratio – Types, Formulas & Importance
bajajfinservmarkets.in
Trigonometry Formula Tricks, Identities, Trigonometric Ratio
sscadda.com
Important Formulas: Ratio and Proportion - General Test Preparation for ...
edurev.in
Ratio and Proportion Formulas for CAT, Download PDF
cracku.in
Floral Formula of Solanaceae: Expert Botanical Analysis 2025
collegesearch.in
C.R Formula, History, Proposal, Significance & Failure of Rajaji Formula
studyiq.com
Ratio and Proportion - Definition, Examples and Formulas
sscadda.com
if r value is less than 1 then finding the sum of infinite geometric ...
brainly.in
Segment of a Circle: Definitions, Types, Area with Formula, How to ...
collegesearch.in
Sum To N Terms To A GP Formula: Definition, Solved Examples
pw.live
Cash Reserve Ratio, Definition, Rate, Formula, Importance
studyiq.com
Formula Tab in Excel Excel Tutorial
sitesbay.com
Partial Thromboplastin Time Wikipedia, 58% OFF
elevate.in
Las Vegas GP: What you need to know about F1 racing on the Strip, the ...
skysports.com
Algebra Formulas PDF, Get All Algebraic Identities Formula Chart for ...
adda247.com
Units and Dimensions
physicsadvisor.in
Ratio Analysis Formulas - RATIO ANALYSIS FORMULAS There are four types ...
studocu.com
Quadratic Equation Class 10 Chapter 4 Notes
adda247.com
Can anyone give me all the formulas of trigonometry? Related to class ...
edurev.in
Orbital Velocity Formula: Definitions, Examples, Derivations ...
collegesearch.in
Wiley Formula Sheet - Schweser Notes CFA 2013 Level 1 - WILEY’S CFA ...
studocu.com
Important Formulas: Ratio and Proportion - General Test Preparation for ...
edurev.in
CBSE Class 12 Maths Chapter 7 Integrals Revision Notes: Download PDF
jagranjosh.com
Viscosity Formula, Symbol, Viscosity of Water Meaning, Unit
adda247.com
Chemical Formula of Common Compounds, Table and Complete List
careerpower.in
What is Lorentz Force: Definitions, Formula, Importance, Properties ...
collegesearch.in
Formula r1 on sale brake pads
metrorailnews.in
C R Formula 1944, Proposals, Reactions, Failure, UPSC Notes
vajiramandravi.com
Gauss Law or Gauss Theorem : Solid Angle and Electric Flux|Chemistry Page
chemistrypage.in
Exploring Mathematical Formulas: Class VIII SAIoneers Uncover the Area ...
saiinternational.edu.in
Father's Day gift ideas for 2025: What to give your dad on this special day
lifestyleasia.com
Cash Reserve Ratio, Definition, Rate, Formula, Importance
studyiq.com
MockItUpp
mockitupp.in
Important Formulas: Ratio and Proportion - Quantitative Aptitude (Quant ...
edurev.in
Formulas for Slope and Deflection of Beam | Shortcut Formulas ...
civildailyinfo.com
THE GOLDEN RATIO METHOD™ WORKBOOK FOR TRADING POWERFUL MATH FORMULAS: A ...
amazon.in
Indian Rupee against US Dollar since 1947 - Insights
news.faltupana.in
Strength of Solution Formula, Units and Calculation - Chemistry ...
aakash.ac.in
Ratio and Proportion - Definition, Examples and Formulas
sscadda.com
Excel Tips and Tricks : Basic Formula tricks and Shortcuts for Excel ...
techdoge.in
Exploring Mathematical Formulas: Class VIII SAIoneers Uncover the Area ...
saiinternational.edu.in
belt pulley ratio,www.npssonipat.com
npssonipat.com
Mathematics Formula Chart [Hindi Edition] [For Class 9,10,11,12 & All ...
flipkart.com
Ratio Analysis - RATIO ANALYSIS: PROBLEMS AND SOLUTIONS Problem 1: The ...
studocu.com
Zakat Explained With Simple Calculations | Zakat Vs Income Tax - learn ...
learnaboutislam.in
Mensuration Formulas in Maths for 2D and 3D Shapes, PDF Available
careerpower.in
An Introduction to the International Fisher Effect - India Dictionary
1investing.in
Exploring Mathematical Formulas: Class VIII SAIoneers Uncover the Area ...
saiinternational.edu.in
Mind Maps for Trigonometric Ratio: Compound Angles Revision - Class 11, JEE
esaral.com
An Introduction to the International Fisher Effect - India Dictionary
1investing.in
How to Solve Rubik's Cube | 5 Easy Steps | Step by Step Instructions
cubelelo.com
Formula Sheet - CFA Level II - Warning: TT: undefined function: 32 ...
studocu.com
Bill Invoice Format in PDF | Free Download - Wise
wise.com
isentropic flow equations betweem pressure and density - Brainly.in
brainly.in
Learn CBSE
learncbse.in
R-Controlled Vowels Sorting Cards for 2nd-3rd Grade
twinkl.co.in
Best Dish Soap Online - Ubuy India
ubuy.co.in
10 High Margin Food Products to Build a Business Around - India Dictionary
1investing.in
Buy Nu Skin Skincare Products Online | Ubuy India
ubuy.co.in
RELATIVE DENSITY TEST
home.iitk.ac.in
Shear Strain: Definition, Formula & Torsion of cylinder | AESL
aakash.ac.in
C.R Formula, History, Proposal, Significance & Failure of Rajaji Formula
studyiq.com
Financial Ratio Analysis: Definition, Types, Examples, And, 46% OFF
elevate.in
Summation Formula, Definition, Solved Examples
pw.live
Exploring Mathematical Formulas: Class VIII SAIoneers Uncover the Area ...
saiinternational.edu.in
Exploring Mathematical Formulas: Class VIII SAIoneers Uncover the Area ...
saiinternational.edu.in
Buy Bissell Vacuum Cleaner And Accessories Online At Best Price | Ubuy ...
ubuy.co.in
SIMILAC Stage 1 Infant Formula (Up to 6 months) Price in India - Buy ...
flipkart.com
Buy Qwasdfg Products Online at Best Prices in India | Ubuy
ubuy.co.in
Important Formulas: Ratio and Proportion - General Test Preparation for ...
edurev.in
Buy Nu Skin Skincare Products Online | Ubuy India
ubuy.co.in
Molecular Formula Worksheet - Fill Online, Printable, Fillable, Blank ...
pdffiller.com
Data analysis using R and Python | R
r.fossee.in
C.R Formula, History, Proposal, Significance & Failure of Rajaji Formula
studyiq.com
Donald Trump’s new tariff rate formula – What do we see?
cryptopanic.com
All formulas of comparing quantities for class eight - Brainly.in
brainly.in
Related Searches
Vpeak
Formula Vpeak into Vrms
Peak Voltage Formula
RMS Current Formula
Peak Value Formula
Square Wave Voltage
VPP to RMS Formula
Vrms vs Vpeak
Crest Factor
Ripple Voltage Formula
V Peak to Vrms
What Is Vpeak
1 Volt Peak to Peak
Convert Vpeak to Vrms
Root Mean Square Voltage
Average Voltage Formula
How to Calculate Peak to Peak Voltage
Peak to Peak Voltage Equation
Peak Volume
RMS Value of AC Voltage
Vrms Formula Using Vpeak
Peak Output Voltage Formula
Peak Voltage of 120 Vac
Vrms to Vpeak Calculator
Viper Peak
VDC to Vac Formula
AC Sine Wave
Peak Secondary Voltage Formula
Peak Envelope Power Formula
Formula Para Pasar De Vrms a Vpeak O Vpeak to Peak
RMS Amplitude
How to Derive Vrms for Square Wave
AC Signal Wave Form
Crescat Formula
Pep Power Vs. Average
RF Power Measurement
1V Peak to Peak
How to Find the Peak Value of Voltage
Total Peak Secondary Voltage Formula
Vrms and Vpeak Relationship
Vrms and Vpeak Results Table
How to Get Peak to Peak Voltage
Max Peak Evelope Power and Frequency Formula
Peak to RMS Formula
Vmax to Vrms
Power DBM Formula
Vrms Equation
Peak Current Formula
Formula for Peak Value
VPP to dBm Formula
Search
×
Search
Loading...
No suggestions found