Find Your Style
Women
Men
Accessories
Search for clothing, brands, styles...
×
Women
Men
Accessories
Waveform Explained
Search
Loading...
No suggestions found
Rupee crash explained: Why INR hit a record low & what happens next ...
msn.com
EXPLAINED: Why Indian Rupee is falling against US Dollar - INSIDE INR ...
msn.com
INR vs USD: Why is the rupee Asia’s worst-performing currency YTD ...
msn.com
What is Mallika Sagar's Net Worth? Career, Education, Net Worth in INR ...
msn.com
What is Mallika Sagar’s Net Worth? Career, Biography, Net Worth in INR ...
jagranjosh.com
Explained: Why Cameron Green’s IPL 2026 bidding war won’t cross INR 18 ...
crickettimes.com
What is Mallika Sagar’s Net Worth? Career, Biography, Net Worth in INR ...
jagranjosh.com
Virtual Labs
pe-iitr.vlabs.ac.in
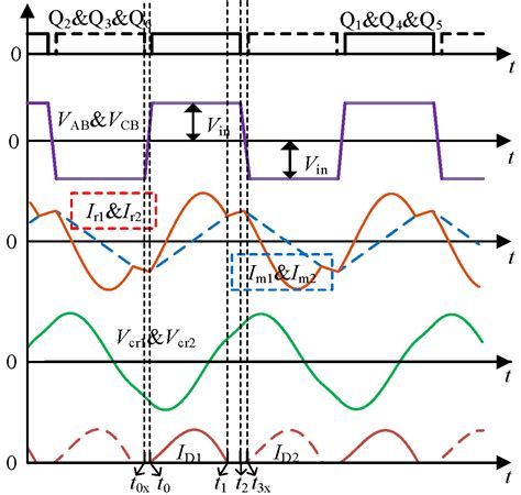
Research on a Wide-Output Resonant Converter with Multi-Mode Switching
mdpi.com
Virtual Labs
pe-iitr.vlabs.ac.in
Virtual Labs
pe-iitr.vlabs.ac.in
Phase Sequence | Explained - TheElectricalGuy
theelectricalguy.in
Virtual Labs
pe-iitr.vlabs.ac.in
Virtual Labs
pe-iitr.vlabs.ac.in
Virtual Labs
pe-iitr.vlabs.ac.in
Op Amp Integrator - Study2night
study2night.in
Active, Reactive & Apparent Power | Easiest Explanation - TheElectricalGuy
theelectricalguy.in
Virtual Labs
pe-iitr.vlabs.ac.in
SR Flip-Flop - Circuit diagram, Logic symbol, Truth table ...
eee.poriyaan.in
Active, Reactive & Apparent Power | Easiest Explanation - TheElectricalGuy
theelectricalguy.in
Why Is It Important to Understand Total Harmonic Distortion (THD) ? | Hioki
hioki.com
Virtual Labs
pe-iitr.vlabs.ac.in
inverting amplifier waveform | log in to your account now Android IOS V ...
fmdss.forest.rajasthan.gov.in
Auphonic Blog: Audio Processing Statistics Explained
auphonic.com
A student learns that the sound travels in a waveform. The image shows ...
brainly.in
Buy Cardiovascular Haemodynamics and Doppler Waveforms Explained Online ...
desertcart.in
Activity: Optocouplers. [Analog Devices Wiki]
wiki.analog.com
Activity: The Hartley Oscillator [Analog Devices Wiki]
wiki.analog.com
Calculations
evalidate.in
Virtual Labs
cse14-iiith.vlabs.ac.in
Ring Counters - Principle of operation, Logic Diagram, Truth Table ...
eee.poriyaan.in
Ring Counters - Principle of operation, Logic Diagram, Truth Table ...
eee.poriyaan.in
Line Coding (Characteristics, Basics, Importance and Waveforms ...
edurev.in
Astable Multivibrator using 555 timer IC (Basics, Circuit, Working and ...
edurev.in
What is RMS value? Easiest Explanation - TheElectricalGuy
theelectricalguy.in
With the help of neat circuit diagram explain the working of half and ...
brainly.in
Draw a waveform for musical sound. - Brainly.in
brainly.in
Getting Started with STM32 - How to Use SPI
digikey.in
Why Impedance Matching is Important | ThinkRobotics.in – ThinkRobotics.com
thinkrobotics.com
Full form of GBP and INR: Explained and Compared
shallbd.com
Full form of GBP and INR: Explained and Compared
shallbd.com
Full form of GBP and INR: Explained and Compared
shallbd.com
Convert Euro to INR: How to Get the Best Exchange Rate in India
infinityapp.in
USD vs INR: Rupee hits historic low against dollar. Rising costs ...
msn.com
Active, Reactive & Apparent Power | Easiest Explanation - TheElectricalGuy
theelectricalguy.in
Full form of GBP and INR: Explained and Compared
shallbd.com
FM Detectors [Analog Devices Wiki]
wiki.analog.com
Setup time, Hold time
asic.co.in
Full form of GBP and INR: Explained and Compared
shallbd.com
Full form of GBP and INR: Explained and Compared
shallbd.com
draw two different forms of wave showing its characteristics which ...
brainly.in
Explained: What Is ICRA Assessment On Banking Industry
indiatimes.com
Full form of GBP and INR: Explained and Compared
shallbd.com
Full form of GBP and INR: Explained and Compared
shallbd.com
USD vs INR: Why is rupee nosediving? Explained with 4 reasons
msn.com
which of the following is correct for the normalized wave function ...
brainly.in
Lucky Baskhar ending explained: How Baskhar Kumar escapes to the US
lifestyleasia.com
Full form of GBP and INR: Explained and Compared
shallbd.com
Activity: The Colpitts Oscillator [Analog Devices Wiki]
wiki.analog.com
What is RS485? Understand RS485 in 5 Minutes - Lorric
lorric.com
IPLT20.com - Indian Premier League Official Website
iplt20-dev.epicon.in
Full form of GBP and INR: Explained and Compared
shallbd.com
Advances in Intracranial Pressure Monitoring and Its Significance in ...
mdpi.com
What is TDS Section 194C?
taxguru.in
Virtual Labs
pe1-iitd.vlabs.ac.in
inverting amplifier waveform - Join Today: Claim Your ₹300 Bonus ...
tax.lsgkerala.gov.in
'Crazxy' ending explained: Will Abhimanyu get out of the ethical trap?
lifestyleasia.com
Salicylic Acid Face Wash Explained: Is It Your Secret Weapon Against A ...
indulgeoessentials.com
Fossa 4"x4" Alpha Wave Shower Head | High Pressure Chrome – Fossa Home
fossahome.com
Fossa 4"x4" Alpha Wave Shower Head | High Pressure Chrome – Fossa Home
fossahome.com
Fossa 4"x4" Alpha Wave Shower Head | High Pressure Chrome – Fossa Home
fossahome.com
RTB-B6 Rohde & Schwarz | Rohde & Schwarz Arbitrary Waveform Generator ...
in.rsdelivers.com
MADE SAFE USA Certification Explained: Step by Step
littlerituals.in
Computer Vision Roadmap 🦝
pclub.in
Photonic microwave waveform generator: Buy Photonic microwave waveform ...
flipkart.com
Trends in Power Quality, Harmonic Mitigation and Standards for Light ...
mdpi.com
Fossa 4"x4" Alpha Wave Shower Head | High Pressure Chrome – Fossa Home
fossahome.com
Alpha GPC Explained: What It Is, Why It’s Used & How It’s Commonly Des ...
purenutrition.in
CTTW vs Carat: Meaning Explained for Diamond Buyers – Ivana Jewels
ivanajewels.com
Why BCCI May Remove the A+ Category from Central Contract System ...
msn.com
Rectifier : Definition, Types, Application, Uses and Working Principle ...
collegesearch.in
RS PRO | RS PRO Arbitrary Waveform Generator, 80MHz Max, 1 μHz Min ...
in.rsdelivers.com
Ecg Ekg Waveform Parts Explained In Less Than 1 Minute Pqrst Complex ...
musiek.africa.com
Landscaping vs Gardening: Key Differences, Benefits, Types Explained 2 ...
bagwaninursery.in
BGIS 2026 Format Explained - Here Is Everything About Format
insidesport.in
Cooling Mattresses Explained: A Buyer’s Guide to Breathability – Duroflex
duroflexworld.com
വിരമിച്ച ശേഷം പ്രതിമാസം ഒരു ലക്ഷം രൂപ പെൻഷൻ എങ്ങനെ നേടാം? | How to Earn ...
malayalam.goodreturns.in
Buy T-king Update OLED ECG Simulator ECG Signal Generator Waveform ...
desertcart.in
Siglenttechnologies Sdg1032x Arbitrary Waveform Function Generator ...
desertcart.in
Bonding Curves Explained: How Token Prices Are Set in AMMs and Launches
mychores.in
Sharjah Parking Grace Period Explained | Rules, Fines & Costs ...
shunyatax.in
Quick Vibe, Third Wave Coffee, Juhu: Mumbai, 25 January 2026 | AllEvents
allevents.in
I4C SOP on Freezing Bank Accounts Explained to 500+ Officials ...
shunyatax.in
RS PRO | RS PRO SDG1062X Arbitrary Waveform Generator, 60MHz Max - With ...
export.rsdelivers.com
School Holiday on 23 January 2026 (Friday): Schools Closed in THESE ...
jagranjosh.com
Connect Over Coffee, Third Wave Coffee | Andheri Lokhandwala, Andheri ...
allevents.in
VPS Hosting India Explained for Startups - HostMyCode
hostmycode.in
IPL vs PSL: How brutal financial gap makes Indian Premier League 100x ...
msn.com
BK4054B BK Precision | BK Precision 4054 Arbitrary Waveform Generator ...
in.rsdelivers.com
Fossa 4"x4" Alpha Wave Shower Head | High Pressure Chrome – Fossa Home
fossahome.com
Womens Circle, Third Wave Coffee, Ashok Nagar: Chennai, 24 January to ...
allevents.in
Luxury Bridal Couture Explained | Hand Embroidered Bridal Lehenga Guid ...
panachehautecouture.com
Resin Lotus Pond, Third Wave Coffee, Ashok Nagar: Chennai, 25 January ...
allevents.in
ganesha explained
bwsmartcities.businessworld.in
BK4055B BK Precision | BK Precision 4055 Arbitrary Waveform Generator ...
in.rsdelivers.com
Finger Painting, Third Wave Coffee, Kilpauk: Chennai, 25 January 2026 ...
allevents.in
'What happened to global warming?': Trump amid record US cold wave
msn.com
Dumb Charades Party, Third Wave Coffee, Ashok Nagar: Chennai, 25 ...
allevents.in
Buy 555 Multi-Channel Waveform Generator Module Online in India | Robocraze
robocraze.com
Clay Mirror Art, Third Wave Coffee, Ashok Nagar: Chennai, 25 January ...
allevents.in
Make Your Own Perfume, Third Wave Coffee, Kilpauk: Chennai, 24 January ...
allevents.in
Hand Built Pottery, Third Wave Coffee, Kilpauk: Chennai, 25 January ...
allevents.in
Japanese Kintsugi, Third Wave Coffee, Kilpauk: Chennai, 25 January 2026 ...
allevents.in
Clay Labubu Doll, Third Wave Coffee, Greater Kailash II: Delhi, New ...
allevents.in
I4C SOP on Freezing Bank Accounts Explained to 500+ Officials ...
shunyatax.in
Understanding Bridge Rectifiers: Applications and Benefits Explained
shaktielectronics.in
Cold wave grips Delhi as fog blankets the city
msn.com
Astronomers discover mysterious shock wave around dead star
msn.com
Nameplate Details of Current Transformer | Explained - TheElectricalGuy
theelectricalguy.in
Chenille Art Workshop, Third Wave Coffee, Kilpauk: Chennai, 24 January ...
allevents.in
Related Searches
INR Blood
Elevated INR
INR Blood Test Machine
INR Range
PT/INR Test
Low INR
Normal INR
Abnormal INR
Normal INR Value
INR Draw
Normal INR Levels
INR Diagram
INR Pathway
INR Lab Value
What Is INR Blood Test
INR Levels Explained
Normal INR Levels Chart
INR vs Isi
High PT/INR
INR Calculation Formula
High INR Treatment
INR Meaning
INR On Warfarin
INR Values
INR Therapeutic Range
INR 图像
Warfarin Therapy
INR Ratio
Warfarin INR. Check
Warfarin Inr Goals
INR Warfarin Dosing
Prothrombin Time and INR
Critical INR
INR Interpretation
aPTT Normal Range
INR Scale
INR Numbers Explained
INR Equation
INR Monitoring Warfarin
INR Tube
How to Check INR
Coumadin INR Levels Chart
PT/PTT INR Labs
INR Meand
INR Medical
Mixing Study
INR Test
INR Readings Explained
INR Stago
INR Medical Abbreviation
Search
×
Search
Loading...
No suggestions found