Find Your Style
Women
Men
Accessories
Search for clothing, brands, styles...
×
Women
Men
Accessories
Waypoint Definition In Robotics
Search
Loading...
No suggestions found
Ekansh Gupta | Robotics & AI Engineer | Columbia University
ekanshgupta.co.in
IoT & AI / ML Development Company | BMV System Integration
systemintegration.in
Leveraging Graphical User Interface Automation for Generic Robot ...
mdpi.com
Choosing the Right Robot Chassis for Your Project: A Beginner's Guide ...
thinkrobotics.com
The growing scope of Mechatronics Engineering
chitkara.edu.in
5 Breakthrough Technologies That Will Define 2026
coderstar.in
Development of an End-Effector Type Therapeutic Robot with Sliding Mode ...
mdpi.com
Components of Robot - . Definition of Robot: The Robot is defined as A ...
studocu.com
QB114735 - question paper - UNIT-V INDUSTRIAL ROBOTICS Define – Robot ...
studocu.com
5 Breakthrough Technologies That Will Define 2026
coderstar.in
Introduction to Robotics - Introduction to Robotics 1. Definition: The ...
studocu.com
Development of an End-Effector Type Therapeutic Robot with Sliding Mode ...
mdpi.com
Robotics 101: Definition, History, Anatomy, Systems & Types - Studocu
studocu.com
Вторая эра машин: синтез робототехники и искусственного интеллекта ...
teletype.in
UNIT I Fundamentals OF Robot - UNIT I FUNDAMENTALS OF ROBOT Robot ...
studocu.com
5 Breakthrough Technologies That Will Define 2026
coderstar.in
What is Remote Learning? | Definition and Benefits - 21K School India
21kschool.com
5 Breakthrough Technologies That Will Define 2026
coderstar.in
Humanoid robot acts out prompts like it's playing charades - ScienceX ...
news.sciencex.in
Robotics and Automation
digitalcbse.in
ME Robotics WITH QB - BY Civildatas.com 12 - ME 2028- ROBOTICS IV /VII ...
studocu.com
Artificial Intelligence (AI) Definition, Examples, Types,, 50% OFF
iiitl.ac.in
What are Robotics Sensors and their functions
electronicsisfun08.in
Robotics in Auto Industry: Revolutionizing Production Lines
oxyzo.in
Robotics notesvserdvgfsde - Definition A control system is a system in ...
studocu.com
XiaoR Geek 4WD Smart Robot Car Chassis DIY Learning Kit - India | Ubuy
ubuy.co.in
Research
iit-techambit.in
Robotics and Coding - Pulley Poster
twinkl.co.in
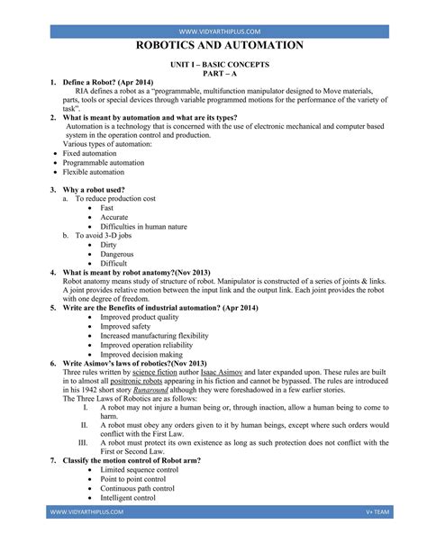
Roboticsqb - AAAA - ROBOTICS AND AUTOMATION UNIT I BASIC CONCEPTS PART ...
studocu.com
UNIT 5 Question bank - Unit 1 - UNIT 5 Fundamental Concepts in Robotics ...
studocu.com
Robotics Notes - AI - Robotics (ID: 5908f80839-b234-4f57-8abf ...
studocu.com
Robotics - ME 8099 — ROBOTICS UNIT – I PART A What are the applications ...
studocu.com
5 Breakthrough Technologies That Will Define 2026
coderstar.in
M - Notes - UNIT I Fundamentals of Robots Part-A Questions Define a ...
studocu.com
Robots Informational Poster
twinkl.co.in
The Three Laws of Robotics Rules Science Fiction SciFi Geeky Inventor ...
amazon.in
5 Breakthrough Technologies That Will Define 2026
coderstar.in
ME 2028 Robotics - Comprehensive Question Bank for Exam Preparation ...
studocu.com
Angle of Deviation: Definition, Diagram, Formula, Examples
adda247.com
Robotics module 1 - it include the introduction section like definition ...
studocu.com
Robotics Question BANK - QUESTION BANK UNIT I Fundamentals of Robots ...
studocu.com
OpenMV Cam RT1062 Genuine SingTown -5MP High Definition Image ...
amazon.in
OpenMV Cam RT1062 Genuine SingTown -5MP High Definition Image ...
amazon.in
OpenMV Cam RT1062 Genuine SingTown -5MP High Definition Image ...
amazon.in
write a short note on 5th generation of computer y - Brainly.in
brainly.in
Dual-Screen Portable Monitor - Dual-1080p High Definition Foldable Scr ...
thinkrobotics.com
Marvie Robot Controller Leftlet - Googol Technology (HK) Limited - PDF ...
pdf.directindustry.com
ایگرد | قیمت و خرید Ruko 1088 Smart Robots for Kids, Large Programmable ...
egerd.com
Dual-Screen Portable Monitor - Dual-1080p High Definition Foldable Scr ...
thinkrobotics.com
Myth or substance: Rethinking impact of automation on Indian IT ...
businesstoday.in
RAID IIT Jodhpur
raid.iitj.ac.in
Computer Aided Manufacturing C6-L2 Robot Definition
teracourses.com
Line Follower And Obstacle Avoiding Robot - #define enA 10//Enable1 ...
studocu.com
Dual-Screen Portable Monitor - Dual-1080p High Definition Foldable Scr ...
thinkrobotics.com
Dual-Screen Portable Monitor - Dual-1080p High Definition Foldable Scr ...
thinkrobotics.com
Dual-Screen Portable Monitor - Dual-1080p High Definition Foldable Scr ...
thinkrobotics.com
Dual-Screen Portable Monitor - Dual-1080p High Definition Foldable Scr ...
thinkrobotics.com
Dual-Screen Portable Monitor - Dual-1080p High Definition Foldable Scr ...
thinkrobotics.com
Dual-Screen Portable Monitor - Dual-1080p High Definition Foldable Scr ...
thinkrobotics.com
DEEBOT X1 OMNI - ECOVACS Website
ecovacsindia.in
Dual-Screen Portable Monitor - Dual-1080p High Definition Foldable Scr ...
thinkrobotics.com
Total immersion at the Hemisfèric de València: Astronomy and High ...
eu.connect.panasonic.com
ATLENT #3.0
atlent.co.in
Bengaluru International Airport Robot Is Coming Soon
traveltriangle.com
Robotics (ME-7005) - B.E RGPV CBCS & CBGS Scheme Notes
rgpvnotes.in
Deep Learning Details
saitm.ac.in
Are Robots Taking Over The World? | Times Knowledge India
timesknowledge.in
Honkai: Star Rail – All Hidden Quests In Herta Space Station
gurugamer.com
Robotics and Automation
digitalcbse.in
Buy Miko 3: AI-Powered Smart Robot for Kids | STEM Learning ...
ubuy.co.in
International Date Line - Definition and Its Untold Facts
sscadda.com
NIT Trichy JRF Application Opening, INR: Rs. 35,960/- + HRA [Apply Now]
edubard.in
Honkai: Star Rail – All Hidden Quests In Herta Space Station
gurugamer.com
Define software .Define compiler .What is decimal number system? What ...
brainly.in
Me SIMP tie - very easy - 21ME14/24 BEMEM103-SIMP Questions Module 1-5 ...
studocu.com
National Artificial Intelligence Mission
investindia.gov.in
What is STEAM education? Here’s how it has started to transform the ...
indiatoday.in
Easy Electronics 2 Pcs IR Proximity Sensor for line follower and ...
amazon.in
Leverage Cricket Bowling Machine Price at Rs.15,000/-
bowlingmachine.co.in
Related Searches
Robotics India
New Robotics Technology
Ultrasonic Robotics
Robotic Arm
Automech Robotics
Aila Robotic
Robotics Arm Auto
Arm Holder of of Robotic Arm
Robotic Arm Unit
Robotic Arm Thnkrbotics
Orai Robotics
Arm Support of Robotic Arm
Search
×
Search
Loading...
No suggestions found