Find Your Style
Women
Men
Accessories
Search for clothing, brands, styles...
×
Women
Men
Accessories
Wuchang Wuhan
Search
Loading...
No suggestions found
INR Full Form: What is full form of INR?
bankersadda.com
Anand Kamalnayan Pandit — INR 8,660 Cr (Sri Lotus Developers & Realty ...
economictimes.indiatimes.com
RBI Allows Overseas Banks to Open INR Accounts
currentaffairs.adda247.com
Decision to Withdraw 2,000 INR Note Won't Have Any Impact: Economist
sputniknews.in
Facts about Indian businessman who is buying Lavasa city for INR 1814 ...
timesofindia.indiatimes.com
Best whiskey under INR 1500 for a pocket-friendly drinking experience
lifestyleasia.com
Indian Rupee (₹) - Buy INR Currency Online at Best Rates
makemytrip.com
Karthik Sarma — INR 26,700 Cr (SRS Investment Management) - Hurun India ...
economictimes.indiatimes.com
Bitcoin price today, BTC to INR live price, marketcap and chart | Suncrypto
suncrypto.in
BTC to INR Converter, Convert Bitcoin to INR Exchange 2022 ...
cryptocurrency-exchange.us.com
crore to million inr conversion: Latest News & Videos, Photos about ...
economictimes.indiatimes.com
Your Partner for Home INR Monitoring Services and Supplies | mdINR®
mdinr.com
India Saves INR 35,000 Crore By Buying Discounted Oil from Russia » Car ...
carblogindia.com
0.1 ETH to INR Converter, How much Convert Ethereum to Indian Rupee ...
cryptocurrency-exchange.us.com
KWD to INR conversionDownload it from KWD to INR conversion for free 7.99
durslt.du.ac.in
Wuchang Uprising Memorial, Wuhan - Tripadvisor
tripadvisor.in
China's Amazing Inverted Train Experience | Wuhan Optics Valley Light Rail
msn.com
WUCHANG: Fallen Feathers Deluxe Edition
store.playstation.com
WUHAN MARRIOTT HOTEL WUCHANG - Hotel Reviews, Photos, Rate Comparison ...
tripadvisor.in
武漢Vienna International Hotel Wuhan Wuchang Riverside Jiyuqiao Metro ...
klook.com
Photos Chine : levée du confinement à Wuhan — Chine Informations
chine.in
The Wuhan Yangtze Great Bridge, wuchang, China - Top Attractions ...
hellotravel.com
Photos Chine : levée du confinement à Wuhan — Chine Informations
chine.in
Photos Chine : levée du confinement à Wuhan — Chine Informations
chine.in
Yellow Crane Tower & Xinhai Revolution Museum & Gude Temple & Wuchang ...
klook.com
Longtai Business Hotel, Wuhan, China - www.trivago.in
trivago.in
FAIRFIELD BY MARRIOTT WUHAN WUCHANG - Hotel Reviews, Photos, Rate ...
tripadvisor.in
WUCHANG: Fallen Feathers
store.playstation.com
GREENTREE INN WUCHANG RAILWAY STATION WEST SQUARE (Wuhan) - Specialty ...
tripadvisor.in
The biggest mall in China is now Open! | Trip.com Wuhan
trip.com
XIHOTEL BY NEW BEACON HOTEL GROUP (WUCHANG RAILWAY STATION) (Wuhan ...
tripadvisor.in
HUBEI PROVINCIAL MUSEUM (2026) All You Need to Know BEFORE You Go (with ...
tripadvisor.in
Ramada Plaza Wuhan Optics Valley in Wuhan City | 2024 Updated prices ...
klook.com
Que visiter à Wuhan — Chine Informations
chine.in
Wuchang: Fallen Feathers - Official Trailer
in.ign.com
Hubei Provincial Museum (Wuhan) - What to Know Before You Go (with ...
tripadvisor.in
10 BEST Places to Visit in Wuhan - UPDATED 2020 (with Photos & Reviews ...
tripadvisor.in
Wuchang: Fallen Feathers - Official Deluxe Edition Pre-Order Trailer
in.ign.com
Latest | Official PlayStation™Store India
store.playstation.com
Wuchang: Fallen Feathers Guide : Wuchang: Fallen Feathers
in.ign.com
Wuchang: Fallen Feathers - PS5 Games | PlayStation (India)
playstation.com
Hubei Provincial Museum (Wuhan) - 2021 What to Know Before You Go (with ...
tripadvisor.in
Wuchang: Fallen Feathers Guide : How to Unlock all Temperance Needles
in.ign.com
Wuhan University campus, photos, videos and location: Photos, Life ...
shiksha.com
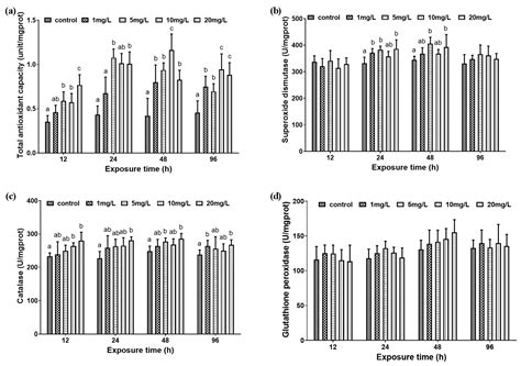
Nitrite Stress Induces Oxidative Stress and Leads to Muscle Quality ...
mdpi.com
Wuchang: Fallen Feathers
fr.ign.com
Nitrite Stress Induces Oxidative Stress and Leads to Muscle Quality ...
mdpi.com
Wuchang: Fallen Feathers - Official Announcement Trailer| Xbox Partner ...
in.ign.com
Wuchang: Fallen Feathers - Official Developer Preview Video
in.ign.com
Nitrite Stress Induces Oxidative Stress and Leads to Muscle Quality ...
mdpi.com
Wuchang: Fallen Feathers - 20 Things It Doesn’t Tell You
in.ign.com
Wuchang: Fallen Feathers Guide : Wuchang: Fallen Feathers
in.ign.com
Wuchang: Fallen Feathers - PS5 Games | PlayStation (India)
playstation.com
Aryna Sabalenka battles back from brink of defeat against Coco Gauff to ...
skysports.com
Vienna International Hotel Wuhan Wuchang Riverside Jiyuqiao Metro ...
klook.com
Reconstruction of Gap-Free Land Surface Temperature at a 100 m Spatial ...
mdpi.com
Photos Chine : levée du confinement à Wuhan — Chine Informations
chine.in
Wuchang: Fallen Feathers Game Director Shares Details About Boss Fights ...
in.ign.com
International Trade Settlement in Indian Rupee (INR)
taxguru.in
Gold Necklace Set for Women | Buy Gold Necklace Set Online India ...
manubhai.in
Gold Necklace Set for Women | Buy Gold Necklace Set Online India ...
manubhai.in
Gold Necklace Set for Women | Buy Gold Necklace Set Online India ...
manubhai.in
USD/INR Breaking Imp. Trendline; Is Nifty 50 Topping Out? | Investing ...
in.investing.com
Jasmine Paolini vs Iga Swiatek | Wuhan Open highlights | Tennis News ...
skysports.com
Wuhan Open: Qinwen Zheng wins UNBELIEVABLE rally against Aryna ...
skysports.com
Diamond Necklace Designs | Buy Diamond Necklace Set Online at Best ...
manubhai.in
Next tranche of Bharat Bond ETF opens tomorrow: 10 things on NFO | Mint
livemint.com
Buy Antique Set Online | Antique Set by Manubhai.
manubhai.in
Buy Antique Set Online | Antique Set by Manubhai.
manubhai.in
Wang Xinyu vs Ekaterina Alexandrova | Wuhan Open highlights | Tennis ...
skysports.com
Gold Necklace Set with Price | Buy Gold Necklace Set Online
manubhai.in
How to Choose Wall Art for Your Living Room - featuring Claude Monet ...
artrise.in
International Trade Settlement in Indian Rupee (INR)
taxguru.in
Diamond Necklace Designs | Buy Diamond Necklace Set Online at Best ...
manubhai.in
India and Malaysia can now trade in Indian rupee
currentaffairs.adda247.com
Sri Lanka and Russia in talks to use the rupee in foreign trade
currentaffairs.adda247.com
Contact – valientecaps
valientecaps.com
Buy Gold Set Online | Gold Set by Manubhai.
manubhai.in
Toggle navigation
episteme10.hbcse.tifr.res.in
The Revival of Banarasi Weaving: How Gen Z is Embracing India's Rich T ...
rifab.co.in
Buy Antique Set Online | Antique Set by Manubhai.
manubhai.in
single malts Archives | Travel and Leisure Asia | India
travelandleisureasia.com
Contact – valientecaps
valientecaps.com
**Page Title:** "Top 10 Saree Trends Every Woman Must Know in 2024 ...
sanjarcreation.com
International Trade Settlement in Indian Rupee (INR)
taxguru.in
Cameras under 10000: Buy top digital cameras online in India (2024)
lifestyleasia.com
Heibai Wuchang — Teletype
teletype.in
Gold Necklace Set for Women | Buy Gold Necklace Set Online India ...
manubhai.in
Buy Antique Set Online | Antique Set by Manubhai.
manubhai.in
Six Brothers Mahura: India’s Very Own Luxury Heritage Spirit
lifestyleasia.com
Tibet Rights Collective - Taiwan celebrates National Day in the midst ...
tibetrightscollective.in
MGT-6 Form Filing Process and Key Requirements
taxguru.in
How Indian Rupee Stands Against Other Major Currencies
indiatimes.com
Wuchang: Fallen Feathers PC Optimization Guide for Smooth Gameplay
gurugamer.com
Wuhan Three Towns Scores, Stats and Highlights - ESPN (IN)
espn.in
Wedding Gold & Diamond Jewellery set with Price | Buy Bridal Gold ...
manubhai.in
Hurun India 2025: 10 billionaire Indians who entered the rich list this ...
economictimes.indiatimes.com
Explained: Where And How The Covid-19 Pandemic Began
boomlive.in
Zen Publications
zenpublications.com
Did You Know About India's Rs 10,000 Rupee Note
indiatimes.com
Collections
svbventures.in
Buy Gold Ring Online | Gold Ring by Manubhai.
manubhai.in
Buy Gold Earrings Online | Gold Earrings by Manubhai.
manubhai.in
Buy Real Diamond Set Online | Real Diamond Set by Manubhai.
manubhai.in
Fed’s 75 bps Hike: Rupee Falls to Record Low, Sets Eye for ‘82 ...
in.investing.com
Coagulation Analyzer - Micropoint Q3 Pro Electrometer PT-INR Trader ...
r2healthcare.in
Trump Owes Us an Apology, Says Bat Virologist at Wuhan | NewsClick
newsclick.in
Buy Gold Set Online | Gold Set by Manubhai.
manubhai.in
Over 3,000 People In China Infected, After Deadly Bacteria Leaks From ...
indiatimes.com
Coronavirus outbreak a result of Chinese biological espionage?- The Week
theweek.in
Stand out navy blue corset top – Kostume County
kostumecounty.com
Light Weight Diamond Jewellery with price | Daily Wear Diamond ...
manubhai.in
Solo Leveling: ReAwakening ending - Will Jinwoo survive the Red Gate?
lifestyleasia.com
Buy Gold Earrings Online | Gold Earrings by Manubhai.
manubhai.in
Torque and Angle sensing – Permanent Magnets Ltd
pmlindia.com
Track Orders – Tailor Kadai
tailorkadai.in
USD/INR forecast: Indian rupee analysis ahead of RBI decision By Invezz
in.investing.com
Buy Gold Bangle Online | Gold Bangle by Manubhai.
manubhai.in
Wedding Gold & Diamond Jewellery set with Price | Buy Bridal Gold ...
manubhai.in
Manubhai Jewellers | Gold & Diamond Jewellers in Borivali, Mumbai
manubhai.in
Related Searches
Wuchang
Wuhan Metro
Guanggu Wuhan
Wuchang China
Wuchang City
Wuchang Uprising
Wuhan Hubei China Map
Wuchang Station
Wuchang Shipyard
Westin Wuhan Wuchang
Wuhan Nightlife
Yangtze River Wuhan
Wuhan University China
Wuchang District
Battle of Wuhan
East Lake Wuhan
Wuhan Museum
Wuhan Port
Wuhan Skyline
Wuhan Breakfast
Wuchang Hotel
Wuhan Food
Wuchang Bream
Wuhan China Hotels
Wuhan China Flag
Qiaokou
Marriott Wuhan Wuchang
Hankow
Wuhan Wuchang Han Street
Poly Plaza Wuhan
Wuhan Tourist Attractions
Wuhan Mountain
Chinese Food Wuhan
Wuchang Wuhan Hospital
Wuhan Temple
Wuhan and Nanchang
Hankou District Wuhan
Write Wuhan Wuchang in Chinese
Wuhan Night Clubs
Wuhan Restaurant
Wuhan Living
Wuhan Wanda Plaza
Where Is Wuchang
Wuchang Railway Station
Wuhan Districts
Wuchang Uprising Memorial
Dongbei Restaurant Wuchang Wuhan
Wuchang Shipyard in Wuhan Shi
Wuhan Hanyang Wuchang Hankou
Wuchange Uprising
Search
×
Search
Loading...
No suggestions found