Find Your Style
Women
Men
Accessories
Search for clothing, brands, styles...
×
Women
Men
Accessories
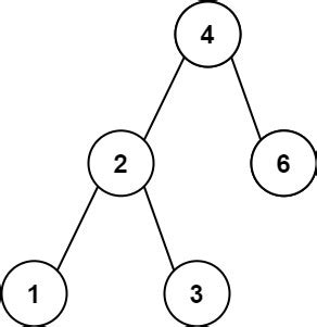
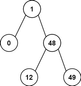
Xml As Node Tree
Search
Loading...
No suggestions found
Did you know that country’s first-ever VVIP tree in MP gets INR 12 ...
timesofindia.indiatimes.com
Did you know that country’s first-ever VVIP tree in MP gets INR 12 ...
timesofindia.indiatimes.com
Buy VEDAS Alexa Metal Set of 3 Tree Wall Accents from Vedas at just INR ...
homecentre.in
Buy Gardenia Artificial Oak Tree in Pot from Home Centre at just INR 2499.0
homecentre.in
Buy VEDAS Metal Colour of Life Tree Wall Art from Vedas at just INR 11999.0
homecentre.in
Buy VEDAS Metal Lara Bird Tree Wall Art from Vedas at just INR 6499.0
homecentre.in
Buy Elixir Tea Tree Shower Gel - 250ml from Home Centre at just INR 249.0
homecentre.in
Buy VEDAS Metal Palm Tree Framed Wall Art from Vedas at just INR 4999.0
homecentre.in
Buy Chef Special Iron and Bamboo Mug Tree from Home Centre at just INR ...
homecentre.in
Buy VEDAS Sol Metal Tree on Board Wall Accent from Vedas at just INR 8999.0
homecentre.in
Buy Brighton Ceramic Tree Figurine from Home Centre at just INR 1599.0
homecentre.in
Buy VEDAS Karma Metal Tree Buddha Wall Accent from Vedas at just INR 7199.0
homecentre.in
Buy Chefs Pride Allure Metal Mug Tree from Home Centre at just INR 699.0
homecentre.in
Buy Serena Slice Christmas Tree with Light from Home Centre at just INR ...
homecentre.in
Buy VEDAS Metal Palm Tree Framed Wall Art from Vedas at just INR 4999.0
homecentre.in
Buy VEDAS Mystical India Metal Tree Wall Accent from Vedas at just INR ...
homecentre.in
Buy Elixir Tea Tree Shower Gel - 250ml from Home Centre at just INR 249.0
homecentre.in
Buy Gardenia Artificial Oak Tree in Pot from Home Centre at just INR 2499.0
homecentre.in
Buy Serena Slice Christmas Tree with Light from Home Centre at just INR ...
homecentre.in
15.4.2. CGNS File Structure
ansyshelp.ansys.com
XML-schema - XML DATABASE - XML Hierarchical (Tree) Data ModelXML ...
studocu.com
XML | vvvv gamma documentation
thegraybook.vvvv.org
Write XML physical structure in form of tree and tips to remember that ...
brainly.in
Virtual Labs
ds2-iiith.vlabs.ac.in
Virtual Labs
ds1-iiith.vlabs.ac.in
Data center computer scientist using node tree software to analyze ...
freepik.com
Faculty Blogs
marwaricollegeranchi.ac.in
Beta-Labs: JavaScript HTML DOM
beta-labs.in
Explain Threaded binary trees with suitable examples. | Summer-2019
gtu-paper-solution.com
XML | vvvv gamma documentation
thegraybook.vvvv.org
XML | vvvv gamma documentation
thegraybook.vvvv.org
VL: XML and JSON nodes
vvvv.org
Ask Analytics: Decision Tree in R with {tree} Package
askanalytics.in
4.5.1 Search, Insert, Delete in Bottom-up Splaying
gtl.csa.iisc.ac.in
SAX Parser - XML Tutorial | Study Glance
studyglance.in
B trees insertion and deletion program - class Node { public int data ...
studocu.com
Explain insert and delete operations in AVL trees with suitable ...
gtu-paper-solution.com
7
cse.iitkgp.ac.in
How to Read Files Using async/await in Node.js (Beginner's Guide)
encodedna.com
Delete Node In Binary Search Tree -C#
codeguru.co.in
Binary Tree Node in SQL : Online Learning Center
onlinelearningcenter.in
5.2 Red-Black Trees
gtl.csa.iisc.ac.in
Large File Handling Techniques in webMethods | Post Details - Visitors ...
visitorsprofits.biognosys.in
Large File Handling Techniques in webMethods | Post Details - Visitors ...
visitorsprofits.biognosys.in
Дерево Меркла — Teletype
teletype.in
How to Read xml file & bind data to gridview in asp.net using c#, vb ...
trickcode.in
Graph Theory Terminologies Explained: Node, Branch, Degree of Node ...
edurev.in
Using TreeSize > Options Dialog > Export > XML
manuals.jam-software.com
Xpath/xml nodes not playing well with svg document - bug - Forum
forum.vvvv.org
Find a Corresponding Node of a Binary Tree in a Clone of That Tree ...
talentd.in
Count Complete Tree Nodes - DSA Problem | Talentd
talentd.in
Reusing Scene Graphs
docs.oracle.com
How to Make a Decision Tree Diagram | Lucidchart
lucidchart.com
Topic 5- Tree - trees ds notes - TREES 5 TREES TERMINOLOGY, TYPES AND ...
studocu.com
Ask Analytics: Decision Tree in R with {tree} Package
askanalytics.in
Explain Threaded binary trees with suitable examples. | summer-2019
gtu-paper-solution.com
Large File Handling Techniques in webMethods | Post Details - Visitors ...
visitorsprofits.biognosys.in
IDOM_Node class Reference
docs.oracle.com
Hadoop Single Node Installation Guide
prwatech.in
How to Insert the Data and Write the XML File | MY.NET Tutorials
msdotnet.co.in
Beyond the Blocks: Different Types of Nodes in Blockchain Networks ...
community.nasscom.in
Minimum Distance Between BST Nodes - DSA Problem | Talentd
talentd.in
Explain Threaded binary trees with suitable examples. | summer-2019
gtu-paper-solution.com
RunDeck Series 2 - Add Nodes to the Rundeck
thedataguy.in
Faculty Blogs
marwaricollegeranchi.ac.in
RunDeck Series 2 - Add Nodes to the Rundeck
thedataguy.in
TAKE A MAIZE PLANT AND TRY TO FIND THE NODE AND INTERNODE IN IT. NOTE ...
brainly.in
Ask Analytics: Decision Tree in R with {tree} Package
askanalytics.in
How to convert Table data into XML in SQL Server
encodedna.com
Minimum Distance Between BST Nodes - DSA Problem | Talentd
talentd.in
Ask Analytics: Decision Tree in R with {tree} Package
askanalytics.in
Truva - Buy & Sell Flats in Mumbai | Buy Fully Renovated, Handpicked Homes
truva.in
XML File Format
docs.oracle.com
Concept of phylogenetic tree
scoop.eduncle.com
Evil Eye Beads Tree – Healing Aura Crystals
healingauracrystals.com
Label node internode apical bud and axillary bud with diagram - Brainly.in
brainly.in
XML in the Cloud
altova.com
Ask Analytics: Decision Tree in R with {tree} Package
askanalytics.in
Find a Corresponding Node of a Binary Tree in a Clone of That Tree ...
talentd.in
The Shopping Tree - Your Jewellery BFF
theshoppingtree.in
Durganihantri Combo 1 – BUTTERFLY TREE
butterflytree.in
Resolving the Collatz Conjecture: A Rigorous Proof through Inverse ...
preprints.org
"Rozina" Hand-painted Earring – BUTTERFLY TREE
butterflytree.in
Buy Gardenia Artificial Bamboo Tree in Polypropylene Pot from Home ...
homecentre.in
Ask Analytics: Decision Tree in R - A Telecom Case Study
askanalytics.in
Office 365 Portal Landing Page - Microsoft Q&A
learn.microsoft.com
Ask Analytics: Decision Tree in R with {tree} Package
askanalytics.in
Support for Dell EMC vSAN R760 Ready Node | Articles | Dell India
dell.com
Truva - Buy & Sell Flats in Mumbai | Buy Fully Renovated, Handpicked Homes
truva.in
RunDeck Series 2 - Add Nodes to the Rundeck
thedataguy.in
Tally Data Import Tool | Free Excel to Tally Utility 2025
acconova.in
Ask Analytics: Decision Tree in R with {tree} Package
askanalytics.in
DS: ISRO2014-73
gateoverflow.in
Hackberry Tree: The Ultimate Guide to Its Benefits, Care, and Unique F ...
growbilliontrees.com
Buy Mesoga6-9.5 Foot Tree Pruner 2 Sections Extendable 4 Nodes ...
desertcart.in
Buy Splendid Aluminium Palm Tree Candle Holder from Home Centre at just ...
homecentre.in
Buy YITAHOME Coat Rack, 3-in-1 Vertical Hall Tree Standing with Storage ...
ubuy.co.in
Buy Tropical Explorer Polyresin Palm Tree Book End from Home Centre at ...
homecentre.in
Truva - Buy & Sell Flats in Mumbai | Buy Fully Renovated, Handpicked Homes
truva.in
Truva - Buy & Sell Flats in Mumbai | Buy Fully Renovated, Handpicked Homes
truva.in
Buy Gloria Artificial Lemon Tree in Ceramic Pot from Home Centre at ...
homecentre.in
Research on the Wood Density Measurement in Standing Trees though the ...
preprints.org
It infrastructure Images - Free Download on Freepik
freepik.com
Truva - Buy & Sell Flats in Mumbai | Buy Fully Renovated, Handpicked Homes
truva.in
Buy Splendid Ceramic Abstract Tree Table Accent from Home Centre at ...
homecentre.in
Find a Corresponding Node of a Binary Tree in a Clone of That Tree ...
talentd.in
Buy Gloria Artificial Apple Tree in Ceramic Pot from Home Centre at ...
homecentre.in
Buy Corsica Birds Polyresin Tree Branch Figurine from Corsica by Home ...
homecentre.in
Bamboo Species | Bamboo Info
bambooinfo.in
Buy Gloria Artificial Apple Tree in Ceramic Pot from Home Centre at ...
homecentre.in
About Policies Map Add-on Services Reviews
booking.hotelgoldentree.in
SONU ACADEMY: TEXT: GETTING TO KNOW PLANTS CBSE CLASS-VII BIOLOGY
sonuacademy.in
Buy Oro Aluminium Tree of Life T-Light Holder from Home Centre at just ...
homecentre.in
Truva - Buy & Sell Flats in Mumbai | Buy Fully Renovated, Handpicked Homes
truva.in
Buy Alpana Ojas Polyresin Buddha Under Tree Figurine from Home Centre ...
homecentre.in
Lymphoma Symptoms: Recognizing Them Early Aids Prompt Diagnosis
everydayhealth.com
any three difference between html and xml - Brainly.in
brainly.in
Buy Artistry Quanto Canvas Palm Tree Picture Frame - 40x60cm from Home ...
homecentre.in
Buy HOMESAKE Glass Christmas Tree Table Top Light from Homesake at just ...
homecentre.in
Related Searches
XML Tree
XML Tree Example
XmlNode
XML Tree Structure
XML Tree Viewer
Python XML Tree
XmlNode Google
Godot TreeNode
What Is a Node XML
XML Tree Editor
XML Node of the XML Tree Example Output
Convert Source Code into XML Tree
Labelled XML Tree
Tree Grapgh for XML
XML Tree Drawing
Parts of a XML Node
What Is a Parent Node XML
XML Tree Generator
Table Tree in XML Maximo
XML Tree for Bank
XmlNode Diagram
WebFX Tree XML
Query Tree XML
Tree XML Download
Root Node XML
R Tree XML File
Leaves of a XML Tree
XML Tree and UI Tree Android
XML Tree of Same 5 Lelemnet
XML Choice Tree
XML Choose Tree
XML TreeView Notepad++
What Is the Tree Edge in XML
Edges On an XML Tree
XML Source Tree and XML Result Tree Example
HTML Node Tree
Tree Based in XML
XML Document Tree
XML Tree 1 to 5
Node XML Expand Collapse
What Is a Attribute and Node in XML Messages
XML to Trees Format
Nodes in Binary Tree
XML Tree Example Guidhub
XML Tree Object Java
What Is Indice in a Tree XML
XML Tree Example Tags
Write XML Code for Following Tree Structure
XML Tree for Food Menu
Text Nodes XML Tre
Search
×
Search
Loading...
No suggestions found