Find Your Style
Women
Men
Accessories
Search for clothing, brands, styles...
×
Women
Men
Accessories
15pq Torx Key
Search
Loading...
No suggestions found
Allen Key Set Tacklife 22pcs Hex Key 13pcs Long Arm | Desertcart INDIA
desertcart.in
T25 Torx Star Driver Bit Color Coded 2 Torx Star | Desertcart INDIA
desertcart.in
AASONS Torx/Star Allen Key Set of 9pcs with Hole from T10 to T50 ...
amazon.in
Buy HORUSDY Tamper Proof Star Key Set (Folding) Security Torx Key Set ...
ubuy.co.in
Generic 9pcs Torx Star Tamper Proof L Hex Key Wrench Set Repair Tools ...
amazon.in
SCODAK Torque control torx key T15 pack of 1 – Jaibros
jaibros.com
RS PRO | RS PRO 7-Piece Torx Key Set, L Shape, Short Arm | 157-1519 | RS
export.rsdelivers.com
DUMDAAR Heavy duty 18pcs Multi size Long Torx and Hex Ball Allen key ...
flipkart.com
Stanley STMT92625-8 Long Torx Hex Key Set - 9pcs – buysupplies.in
buysupplies.in
TOTAL
totalpowertools.in
Qualigen 9-Pieces Torx/Star Allen Key Set with Hole (T10 - T50) Allen ...
flipkart.com
STANLEY STMT92625-8 9-Piece Torx Key Set : Amazon.in: Home Improvement
amazon.in
Digital Craft Mega 9-Piece Torx/Star Key Set | T10-T50 Star Allen Key ...
amazon.in
YATO YT-05609 indispensable Professional Torx key Allen Key Set Price ...
flipkart.com
Taparia: KTH7S Torx Key Set (Pack of 7)
makerbazar.in
PagKis Rder 608 Mini Torx Screwdriver Allen Key Set with T5, T6, T7, T8 ...
amazon.in
Torx (star) Hex Keys & Torx Keys at Lowes.com
lowes.com
Torx keys for BMW F900R | Motorcycle Accessory Hornig
modernvespa.motorcycleparts-hornig.com
Hand Tools
totalpowertools.in
Carbide Cutting Tools | Carbide Inserts | Boring Bars | Dealers In Pune ...
sntrading.in
Malfah Allen Key Mirror Ball Point S2 Hex Torx Key Set Long Arm Allen ...
amazon.in
Allen Key Products
toolworld.in
Buy PERFECT TECH long Torx/Star Allen Key Set 9 pcs from T10 to T50 ...
desertcart.in
Allen Keys & Sets
totalpowertools.in
Digital Craft 9pcs Security Torx Hex Key Wrench Set – T10 to T50 Long ...
amazon.in
SCODAK Torque control torx key T6 pack of 1 – Jaibros
jaibros.com
SCODAK Torque control torx key T8 pack of 1 – Jaibros
jaibros.com
T Handle Allen Key Set TAKM9
toolworld.in
Total Torx Key 9PCS Set, T10-T50, Chrome Vanadium (Cr-V) High ...
amazon.in
T Handle Allen Key Set TAKM9
toolworld.in
Torx Keys Set, KTH 8S
toolworld.in
Hex Keys Set 9 IN 1 Standard Torx T10-T50 Hex Key Hole End Set Allen ...
amazon.in
Taparia KTH9S Torx Key Set Price in India, Specs, Reviews, Offers ...
topprice.in
Inditrust LONG Torx/Star Allen Key Set of 9pcs with Hole from T10 to ...
amazon.in
PagKis Rder 608 Mini Torx Screwdriver Allen Key Set with T5, T6, T7, T8 ...
amazon.in
Inditrust 9 Pcs LONG Silver Tone Metal Torx/Star Allen Key Set with ...
flipkart.com
15pq+15+9q+25p is factorisation group - Brainly.in
brainly.in
Buy Stanley 92-624 8Pc Long L-Type Tamper Proof Torx Hex Key Online ...
technocart.com
Taparia Tools | Torx Keys Set Short Series
tapariatools.tapariatools.com
Torx (star) Hex Keys & Torx Keys at Lowes.com
lowes.com
Buy Allen key sliding set TX online
eshop.wuerth.in
torx Key T15 type holex brand high quality pack of 1 – Jaibros
jaibros.com
Buy Ingco Torx Key HHK13091 Online at Bestomart
bestomart.com
Tools Centre 9-Pieces Torx/Star Allen Key Set with Hole (T10 - T50 ...
flipkart.com
Torx keys for BMW F750GS, F850GS & F850GS Adventure | Motorcycle ...
motorcycleparts-hornig.com
Allen Key Torx 9pcs Hex Key | Bosch Professional
bosch-pt.co.in
Buy External Torx Plus Socket Set 6 Point EP Socket EP4, EP5, EP6, EP7 ...
ubuy.co.in
Wera Torx Key, Torx(R), L Shape, TX40 Tip Size 05024168001 | Zoro
zoro.com
Inditrust LONG Torx/Star Allen Key Set of 9pcs with Hole from T10 to ...
amazon.in
Inditrust Torx/Star Allen Key Set of 9pcs with Hole from T10 to T50 ...
amazon.in
Taparia Tools | Torx Keys Set Short Series
tapariatools.tapariatools.com
05024480001 Wera | Wera 9-Piece Torx Key Set, L Shape, Long Arm | 175 ...
in.rsdelivers.com
King Tony Chennai Authorized Dealer – Hadeed Tools & Hardware
hadeedtools.com
Wiha Torx(R) Flag Handle Torx(R) Key Torx Key, T20 Tip Size, 7 55/64 in ...
zoro.com
Torx® Key ProStar Case Set (13 pcs) | WIHA | MISUMI India
in.misumi-ec.com
Hand Tools
totalpowertools.in
Buy Facom 89 - Short Torx Keys Online at Lowest Price in Ubuy India ...
ubuy.co.in
Z Axis Scale Zero Setter – Hindmechanisch
hindmechanisch.com
STANLEY STMT92625-8 Allen Long Torx Key Set 9 Pcs Allen Key Set Price ...
flipkart.com
Torx Keys - Torx Allen Key T20 For Torx Screw Trader - Wholesaler ...
hakimimart.in
ELORA TORX®-Key Set, long in plastic holder, 13-pcs. 5-50 mm, ELORA ...
tools-giant.com
Inditrust Combo 10 Pieces Hex Allen Key & 9 Pieces Torx Allen key set ...
amazon.in
TAPARIA
tapariatools.com
TAPARIA
tapariatools.com
SZONE Metric Torx Star Allen Keys Hand Wrench Set, Size: T10-T50, 9Pcs ...
amazon.in
Metric Hex Keys & Torx Keys at Lowes.com
lowes.com
Torx Wrenches - Hand Tools various hand tools for general works ...
in.misumi-ec.com
RS PRO | RS PRO 18-Piece Star Key Set, L Shape | 499-2521 | RS
in.rsdelivers.com
T-handle Hex Keys & Torx Keys at Lowes.com
lowes.com
Buy KROST 9-Pieces Torx/Star Allen Key Set with Hole (T10 - T50) Online ...
desertcart.in
05024242001 Wera | Wera 9-Piece Torx Key Set, 139 x 72 x 25 mm Size, L ...
in.rsdelivers.com
Bondhus 8-key Torx Key Set at Lowes.com
lowes.com
Flag Handle Torx® Key | WIHA | MISUMI India
in.misumi-ec.com
Inditrust Torx/Star Allen Key Set of 9pcs with Hole from T10 to T50 ...
amazon.in
Gedore Torx(R) Flag Handle Star Key Torx Key, T40 Tip Size, 6 57/64 in ...
zoro.com
Inditrust Torx/Star Allen Key Set of 9pcs with Hole from T10 to T50 ...
amazon.in
Beta 951TX Sliding T-Handle Torx Key, Fast Spinning Action, T6 : Amazon ...
amazon.in
15pq + 15 + 9q + 25p what is the answer - Brainly.in
brainly.in
Wiha Torx(R) L-Shape Torx(R) Key, T20 Tip Size 36332 | Zoro
zoro.com
Beta 000970220 97RTX 20 Allen keys with Tamper Resistant Torx® profile
toolnation.com
RS PRO | RS PRO 18-Piece Star Key Set, L Shape | 499-2521 | RS
in.rsdelivers.com
STANLEY STMT92625-8 9-Piece Torx Key Set : Amazon.in: Home Improvement
amazon.in
Torx keys for BMW R nine T | Motorcycle Accessory Hornig
motorcycleparts-hornig.com
Midwest Fastener #8-40 x 1/2 in Torx Fillister Machine Screw, Black ...
zoro.com
TORX free delivery, no minimum order | MISUMI India
in.misumi-ec.com
Hand Tools at Lowes.com
lowes.com
Buy 10-Piece Security Torx Wrench Set, Long Arm Tamper Proof S2 Steel ...
desertcart.in
Torx (star) Hex Keys & Torx Keys at Lowes.com
lowes.com
PagKis 8 in 1 Portable Folding Torx Star Key Bit/Screwdriver Tool Kit ...
amazon.in
05024480001 Wera | Wera 9-Piece Torx Key Set, L Shape, Long Arm | 175 ...
in.rsdelivers.com
05028059001 Wera | Wera Kraftform Plus 300 Torx Screwdriver Set, 6 ...
in.rsdelivers.com
Buy RASe 11Pc Female E Torx Star Socket Set Rail E4 - E20 External Star ...
ubuy.co.in
RS PRO | RS PRO 18-Piece Star Key Set, L Shape | 499-2521 | RS
in.rsdelivers.com
TAPARIA T-Handle Hex Allen Keys Set (TAKM9, 9 Pcs) : Amazon.in: Home ...
amazon.in
05073599001 Wera | Wera 9-Piece Torx Key Set, 150 x 80 x 30 mm Size, L ...
in.rsdelivers.com
TORX free delivery, no minimum order | MISUMI India
in.misumi-ec.com
INDEXA T7 FLAG TYPE TORX KEY : Amazon.in: Home Improvement
amazon.in
Klein Tools Metric T-Handle Hex Key Hex Key, 5 mm Tip Size JTH6M5BE | Zoro
zoro.com
7 Piece Security Torx Bit Set (T7 - T25) : Amazon.in: Industrial ...
amazon.in
Beta T10 Torx (Star) (1-Piece) Torx Key 009510810 at Lowes.com
lowes.com
Casoman 11pcs Female Torx Socket Set E Torx And Star | Desertcart INDIA
desertcart.in
OX-2003 Onex Inbus Torx key set professional 9-piece - 1.5-10MM ...
merkandi.in
TORX free delivery, no minimum order | MISUMI India
in.misumi-ec.com
Hex Keys & Torx Keys at Lowes.com
lowes.com
Buy Torx Screws & Star Drive Tools in Best Prices in India – Jaibros
jaibros.com
T8 T9 T10 Torx Screwdriver with Hole Security Bit Magnetic Precision ...
amazon.in
Jaibros - CNC Machine Tools & Accessories
jaibros.com
Inditrust 40pc Torx Star Spline Hex Allen Key bit Set 3/8 & 1/2 Drive ...
flipkart.com
Buy Generic 9 in 1 Torx Key Star Wrenches High Hardness Steel Torx Keys ...
amazon.in
TEKTON T15 Torx L-Key with Flat End - High Leverage, Tight Fit - 1 Key ...
lowes.com
CSXBTH-ST-M4-8 | Button Head Screw with TORX Hole | NISSAN SCREW ...
in.misumi-ec.com
STANLEY STMT92625-8 9-Piece Torx Key Set : Amazon.in: Home Improvement
amazon.in
Buy Klein Tools JTH67T Hex Key Set, TORX T-Handle Hex Key Allen Wrench ...
desertcart.in
Fastenere Torx Security Sheet Metal Screws - #8 x 1/2" (25-Pack) Button ...
amazon.in
L-Shaped T7 Hex Keys & Torx Keys Near Me at Lowes.com
lowes.com
T-handle Hex Keys & Torx Keys at Lowes.com
lowes.com
TEKTON T15 Torx L-Key with Flat End - High Leverage, Tight Fit - 1 Key ...
lowes.com
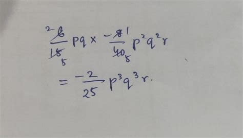
Find: (6\15pq) x (-8\40 p²q²r) - Brainly.in
brainly.in
ELORA TORX®-Key with T-Handle, ELORA-762TX-25 mm | 30,000 Tools at ...
tools-giant.com
Buy WORKPRO 13-Piece Torx Bit Socket Set T8-T60, 1/4", 3/8" and 1/2 ...
desertcart.in
Related Searches
Torx Tool Set
Torx Key Set
Torx Set Screw
Torx Screwdriver Set
Torx Key Wrench
Torx Allen Set
Tamper Proof Torx
T25 Torx Key
Torx vs Hex
Right Angle Torx Key
Female Torx
Torx Star Key
Torx L-Key
Torx Key T8
Torx 25
Safety Torx Key
E Torx Wrench
T55 Torx Bit
T35 Torx Bit
Security Torx Screwdriver Set
Folding Torx Key
Torx 20
Torx 8
Laser Torx Key
Torx Key T40
15Pq Torx Key
T Handle Torx Set
Torx T20
Mini Torx Set
Torx Shape
Torx Key Vector
T10 Torx Key
Long Arm Torx Key Set
Torx Key Impa
T5 Torx Key
Torx Key Face
M8 Torx Key
Torx Pin
Torx Key Tone
M12 Torx Key
Torx Key Cistern
Torx Key Holes
Torx Key 2Mm
T7 Torx
External Torx
Ball Torx
9-Point Torx
Torx Allen Key Socket Set
Torx Angled Key
I0566 Torx Key
Search
×
Search
Loading...
No suggestions found