Find Your Style
Women
Men
Accessories
Search for clothing, brands, styles...
×
Women
Men
Accessories
3274 Leetcode Solution
Search
Loading...
No suggestions found
Facilitated the Grounding of INR 200+ Crore Investment for Indian ...
primuspartners.in
Primus Partners Facilitated the Grounding of INR 200+ crore Investment ...
primuspartners.in
Bala Aatral Solutions Receives INR 3 Crore Grant from Ministry of ...
mmindia.co.in
Amazon.in: Leetcode
amazon.in
🔺 Leetcode🔺SQL Questions WITH Solutions ️ - computer science - Studocu
studocu.com
Leetcode SQL 50 interview questions with solution: A Guide for Coders
codelearner.in
Leetcode DSA Sheet BY FRAZ Solutions - LEETCODE DSA SHEET BY FRAZ ...
studocu.com
Memoize | #2634 | LeetCode Solution
neptuneworld.in
SDET Java Interview Questions for QA — Part 2 | by Rahul R | Jan, 2025 ...
blogs.rahulrpandya.in
Jobs in Geek Web Solution
codersdaily.in
Essential LeetCode for Interview Success: Python Solutions to 200 Must ...
amazon.in
Function Composition | #2629 | LeetCode Solution
neptuneworld.in
Roman to Integer | Leetcode | Golang Solution with Explaination
noobgeek.in
Mastering LeetCode : Advanced Python Solutions for Technical Interviews ...
amazon.in
1482. Minimum Number of Days to Make m Bouquets Solution | Leetcode ...
codingkaro.in
Rotate List - LeetCode Solution in Java and C++
blog.fixxgroup.in
Increasing Order Search Tree - Problem, Companies, Leetcode, Solution ...
talentd.in
Check if Matrix Is X-Matrix - Problem, Companies, Leetcode, Solution ...
talentd.in
Rotate List - LeetCode Solution in Java and C++
blog.fixxgroup.in
Amazon
sellercentral.amazon.in
Increasing Order Search Tree - Problem, Companies, Leetcode, Solution ...
talentd.in
Detect Cycles in 2D Grid - Problem, Companies, Leetcode, Solution - Talentd
talentd.in
Minimum Moves to Spread Stones Over Grid - Problem, Companies, Leetcode ...
talentd.in
Magic Squares In Grid - Problem, Companies, Leetcode, Solution - Talentd
talentd.in
Amazon
sellercentral.amazon.in
Code and Debug Logo
codeanddebug.in
Maximum Width of Binary Tree - Problem, Companies, Leetcode, Solution ...
talentd.in
Amazon
sellercentral.amazon.in
CyberSploit - Learn Cloud Computing and Java Programming
cybersploit.in
Amazon
sellercentral.amazon.in
VIT - Research Facility
crf.vit.ac.in
Amazon
sellercentral.amazon.in
Amazon
sellercentral.amazon.in
leetcode 101z 2024 Android IOS V- 1.73
tax.lsgkerala.gov.in
89. Gray Code - LeetCode Solution | C++ | Go | Kotlin | Java | JS | TS ...
codingkaro.in
Amazon
sellercentral.amazon.in
Amazon
sellercentral.amazon.in
Akash R Chandran | Portfolio
akashrchandran.in
Morris Mano Solution - SOLUTIONS MANUAL M. MORRIS MANO COMPUTER SYSTEM ...
studocu.com
Medicines :: Povidonee IODINE solution 100ml - VetPlus | Everything for ...
vetplus.co.in
Amazon
sellercentral.amazon.in
Amazon
sellercentral.amazon.in
Ishwaryam Goodness Red Wine Soap | Nourishing Skincare Solution
ishwaryamgoodness.com
DIETURY Litmus Paper Red & Blue For Testing Acid And Base Solution ...
amazon.in
Solution ]2019 Spring End - Electromagnetic Waves and Antennas - KIIT ...
studocu.com
Amazon
sellercentral.amazon.in
Cut Off Trees for Golf Event - Problem, Companies, Leetcode, Solution ...
talentd.in
Tamanna Solutions Private Limited - Home
tamannasolutions.net
Day 1 | Conquer Challenges: Leetcode Java Problems with Solutions - B2 Tech
bushansirgur.in
Updates | Quality Roofing Contractors in Chennai in Chennai,QUALITY ...
qualityroofs.in
leetcode 101z jeans mens | Receive ₹600 Bonus on New Signup! Android ...
kpepf.lsgkerala.gov.in
leetcode 101z agent price | Grab Your ₹300 Spin Crush Bonus Today ...
meeting.lsgkerala.gov.in
Filter Elements from Array | #2634 | LeetCode Solution
neptuneworld.in
Trends that will shape Indian eCommerce in 2019 – tenovia-solutions
tenovia.com
Amazon
sellercentral.amazon.in
leetcode 101z sizing mens Android IOS V- 1.82
meeting.lsgkerala.gov.in
TRICIN: A Phase II Trial on the Efficacy of Topical TRIchloroacetic ...
mdpi.com
leetcode 101z all review mens - Receive a Free ₹400 Bonus Here! Android ...
tax.lsgkerala.gov.in
Amazon
sellercentral.amazon.in
Chapter 4 reproductive health - NCERT Solutions for Class 12 Biology ...
studocu.com
Tineco Official Site
tinecoindia.in
Amazon
sellercentral.amazon.in
Amazon
sellercentral.amazon.in
Amazon
sellercentral.amazon.in
Amazon
sellercentral.amazon.in
Pollution Solution Display Posters (teacher made) - Twinkl
twinkl.co.in
Amazon
sellercentral.amazon.in
leetcode 101z brown sizing - Grab Your Special Bonus: ₹400 Awaits ...
meeting.lsgkerala.gov.in
Amazon
sellercentral.amazon.in
Amazon
sellercentral.amazon.in
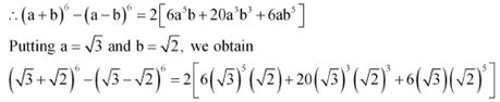
NCERT Solutions Class 11 Maths Chapter 7 - Binomial Theorem
edurev.in
Amazon
sellercentral.amazon.in
Amazon
sellercentral.amazon.in
Avi Solutions
avisolutions.in
Amazon
sellercentral.amazon.in
Amazon
sellercentral.amazon.in
Amazon
sellercentral.amazon.in
Amazon
sellercentral.amazon.in
MapMyGenome launches pharmacogenomics solution MedicaMap
learn.mapmygenome.in
leetcode 101z review mens | Receive ₹100 Bonus When You Spin Lucky ...
dbt.lsgkerala.gov.in
Amazon
sellercentral.amazon.in
Amazon
sellercentral.amazon.in
Day 1 | Conquer Challenges: Leetcode Java Problems with Solutions - B2 Tech
bushansirgur.in
How to Become an AWS Solution Architect – Step-by-Step Guide – Eduyush
eduyush.com
Amazon
sellercentral.amazon.in
Amazon
sellercentral.amazon.in
Java Dequeue HackerRank Solution
blog.fixxgroup.in
Amazon
sellercentral.amazon.in
Amazon
sellercentral.amazon.in
Cisco | OA Coding and Solutions | Set - 23 | 2022 - Desi QnA
desiqna.in
SPECTRUM Sodium Thiosulphate Solution N/10 (500ML) : Amazon.in ...
amazon.in
Process Costing - Methods of Costing, Cost Accounting B Com Notes | EduRev
edurev.in
Amazon
sellercentral.amazon.in
Amazon
sellercentral.amazon.in
Amazon
sellercentral.amazon.in
Amazon
sellercentral.amazon.in
Rheologist gaze & solutions
rgees.in
Best dark spot corrector: A guide to keeping your skin radiant
lifestyleasia.com
Amazon
sellercentral.amazon.in
Amazon
sellercentral.amazon.in
Amazon
sellercentral.amazon.in
Atlassian | OA | SDE1 | Coding Questions and Solutions | 2022 | Set-9 ...
desiqna.in
R Tech Solution | R Tech Solution - Best IT Training Institute ...
rtechsolution.in
Achievements | Rajgopal Hota - Full Stack Developer & Cybersecurity Expert
rajgopal.in
Rotimatic Plus Accessories | Official Store
in.rotimatic.com
Apple unveils new ways to share and communicate in iOS 16 - Apple (IN)
apple.com
Formula Sheet By Bharat Panchal - IDEAL SOLUTION CLASS-12 BOARDS ...
studocu.com
Amazon
sellercentral.amazon.in
Benedict's Test - Reagent, Composition, Principal and Uses
careerpower.in
Help A Child Reach 5 | Lifebuoy
lifebuoy.in
Eusol Solution | Uses, Side Effects, Price | Apollo Pharmacy
apollopharmacy.in
Different ways to handle state in React applications
neptuneworld.in
Home::R-Tech Solutions
rtech-hp.com
Search amiodarone | Bound Tree
boundtree.com
MCA: Full Form, Admission 2024, Eligibility, Duration, Fees, Syllabus ...
collegesearch.in
When a 20 mL of 0.08 M weak base BOH is titrated with 0.08 HCl, the pH ...
tardigrade.in
Indicators: Natural indicators — lesson. Science State Board, Class 8.
yaclass.in
Buy Mintop Forte Topical 5% Solution 60ml Online - Ayush Care
ayushcare.in
India shining: Rupee inches closer to becoming international currency ...
timesnownews.com
Amazon
sellercentral.amazon.in
Related Searches
LeetCode Problems
LeetCode Interview Questions
LeetCode Problems and Solutions
Path Sum LeetCode
Two Sum LeetCode
LeetCode Merge Sort
LeetCode Problems and Solutions PDF
Roman to Integer LeetCode
LeetCode Solutions in JavaScript
Palindrome LeetCode
LeetCode Programming
LeetCode Solutions Symbols
LeetCode Solutions in C
Linked List LeetCode
LeetCode Problems and Solutions PDF Python
367 LeetCode Solution
LeetCode Solutions Explained in Python
Array LeetCode
Regular Expression Matching LeetCode
Coin Change LeetCode
LeetCode 75 Solutions Cheat Sheet Python
Plus One LeetCode
LeetCode Problems and Solutions Java
LeetCode SQL 50 Solutions
LeetCode Problems and Solutions PDF Download
Valid Parentheses LeetCode
326 LeetCode Solutions in C
LeetCode Problems and Solutions PDF Do
Merge Two Sorted Lists LeetCode
LeetCode Office
28 LeetCode Solution
How I S Our Solutions Being Viwed by People in LeetCode
181 LeetCode Solution
LeetCode 1 Solution
Word Ladder LeetCode 127
3274 LeetCode Solution
LeetCode 35 Solution
LeetCode Problems and Solutions YouTube
LeetCode Combinationsum Solution
LeetCode Graph Has Cycle
LeetCode Solution CPP
LeetCode Solution Memes
LeetCode 2364 Solution
LeetCode Studying Template
LeetCode 3306 Solution
LeetCode Algorithms PDF
LeetCode Questions
What Is LeetCode
LeetCode Linked List
Two Sum LeetCode Solution
Search
×
Search
Loading...
No suggestions found