Find Your Style
Women
Men
Accessories
Search for clothing, brands, styles...
×
Women
Men
Accessories
Acidic Buffer Formula
Search
Loading...
No suggestions found
Buffer Solution | Harvard Natural Sciences Lecture Demonstrations
sciencedemonstrations.fas.harvard.edu
Sodium acetate trihydrate 6131-90-4 Sigma-Aldrich
sigmaaldrich.com
Buffer solutions- Definition, Properties, Types of Buffer
allen.in
Buffer Equation: Derivation & Applications of Acidic & Basic Buffers
firsthope.co.in
Give examples of Acidic and Basic Buffers? - CBSE Class 11 Chemistry ...
ask.learncbse.in
Henderson equation: Calculation of pH of a Buffer Mixture - Chemistry ...
edurev.in
What is the henderson hasselbalch formula for the ph of acidic buffer ...
brainly.in
Tris-EDTA缓冲溶液 - pH 8.0, BioUltra,用于分子生物学
sigmaaldrich.com
Buffer solutions- Definition, Properties, Types of Buffer
allen.in
Statement 1: On mixing equal volumes of 1 M HCl and 2 M CH 3 COONa, an ...
tardigrade.in
Calculate the ph of a buffer prepared by mixing 300cc of 0.3 m nh3 and ...
brainly.in
buffer solution with equation - Brainly.in
brainly.in
An acidic buffer is obtained on mixing : - Tardigrade
tardigrade.in
pH-titration of amino acids and small peptides, and estimation of ...
vlabs.iitkgp.ac.in
What is buffer solution and explain buffer action of acidic buffer ...
brainly.in
Acid and Base Chart — Table of Acids & Bases
sigmaaldrich.com
Pharmaceutical Inorganic Chemistry Unit 2 Notes - 1st Semester B ...
carewellpharma.in
How does a buffer resist change in pH upon addition of a strong acid ...
ask.learncbse.in
Buffer Equation: Derivation & Applications of Acidic & Basic Buffers
firsthope.co.in
Pharmaceutical Inorganic Chemistry Unit 2 Notes - 1st Semester B ...
carewellpharma.in
Henderson equation Calculation of pH of a Buffer Mixture - Chemistry
edurev.in
SRL Tris Buffer AR, ACS for molecular biology, 99.9% 100GM, CAS 77-86-1 ...
amazon.in
Hydrolysis of Salt of Weak Acid and Strong Base Formula | AESL
aakash.ac.in
Buffer -- Acidic Buffer and its mechanism -- IONIC EQUILLIBRIUM Video ...
edurev.in
Write the names and formulae of two each of the acid and basic radicals ...
brainly.in
How does a buffer resist change in pH upon addition of a strong acid ...
ask.learncbse.in
4 in acidic solution, permanganate ion is 9 the compou of is reduced by ...
scoop.eduncle.com
Balance the following Redox reaction :Cr2O72-(aq) + SO32-(aq) Cr3+(aq ...
brainly.in
Acidic Buffer Solution: Definition, Calculation & Applications ...
aakash.ac.in
Balance in acidic medium - CBSE Class 11 Chemistry - Learn CBSE Forum
ask.learncbse.in
Seachem Acid Buffer – indianaquarium.com
indianaquarium.com
Pharmaceutical Inorganic Chemistry Unit 2 Notes - 1st Semester B ...
carewellpharma.in
In an acidic buffer solution ph is equal to 4.4 the concentration ratio ...
brainly.in
Calculate the pH of buffersolution containing 0.05 mol NaF per litreand ...
brainly.in
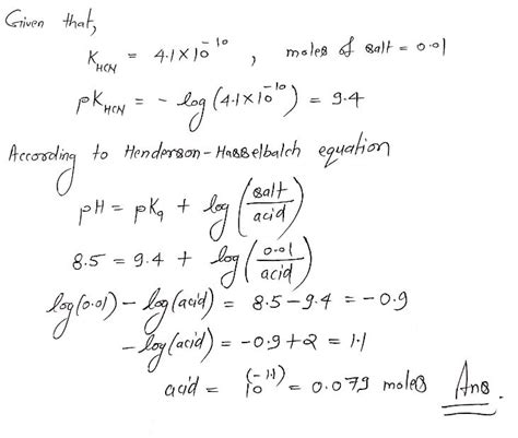
How many mole of HCN are required to prepare one litre of buffer ...
toppr.com
Acidic Buffer Solution: Definition, Calculation & Applications ...
aakash.ac.in
What is buffer capacity? Give the Henderson-Hasselbalch equation for ...
brainly.in
Ph-Ch15: Key Concepts and Principles in SCM | Knowledge Base
ntep.in
List of all acid name and formula ? - Brainly.in
brainly.in
Acetic acid (ethanoic acid) and hydrochloric acid react with KOH ...
ask.learncbse.in
On the Importance of Acidity in Cancer Cells and Therapy
mdpi.com
Column I Column II A 0.1 M CH 3 COOH ( p Ka=4.74)+0.1 M CH 3 COONa p ...
tardigrade.in
Ammonium Chloride: Formula, Uses, Preparation & Properties | AESL
aakash.ac.in
Balance the following chemical equation in an acidic medium Cr³+ BIO3¹ ...
brainly.in
Oxalic Acid Formula, Structure And Equivalent Weight
pw.live
Write the names of Common acid with thier chemical formula - Brainly.in
brainly.in
Formula of methanioc acid - EduRev Class 10 Question
edurev.in
In the reaction of oxalate with permanganate in acidic medium, the ...
tardigrade.in
Airqon Floor Cleaner 200 ml. Pack Of 4 (800 ML.) New non acidic ...
amazon.in
Balance the equation in acidic medium by oxidation number method: Cu+ ...
brainly.in
Boric Acid: Formula, Structure, Uses, Safety, Conclusion
medicoverhospitals.in
Sodium hydrogen carbonate - Sodium bicarbonate
sigmaaldrich.com
Balance the redox equation in acidic medium. - Brainly.in
brainly.in
Virtual Labs
mas-iiith.vlabs.ac.in
Co-Crystallization Kinetics of 2:1 Benzoic Acid–Sodium Benzoate Co ...
mdpi.com
Can anyone tell me the trick to learn acid radicals and basic radicals ...
brainly.in
Amino Acids: Structure, Types & Isomers of Amino Acids | AESL
aakash.ac.in
A 1.00 L buffer solution is 0.250 M in Ascorbic acid (HAsc) and 0.250 M ...
brainly.in
in acidic medium dicrhomate ions oxidise ferrous sulphate to ferric ...
brainly.in
Calculate the dissociation constant of acetic acid - CBSE Class 12 ...
ask.learncbse.in
What do you call the metal oxide having both acidic and basic ...
brainly.in
Choose the correct statement(s)(A) pH of an acidic buffer increases if ...
brainly.in
Calculate the concentration of H+ ions in a 0.010 M aqueous solution of ...
ask.learncbse.in
Microwave Digestion :: Anton Paar Wiki
wiki.anton-paar.com
Potassium phosphate monobasic for analysis EMPARTA® ACS | Sigma-Aldrich
sigmaaldrich.com
Acetic Acid: What is acetic acid made of? | Properties | Uses|Chemistry ...
chemistrypage.in
10 chemical formulas of acids with their common.Names - Brainly.in
brainly.in
Acid Base Buffer
gyaanpedia.in
Unveiling the Ascorbic Acid Formula and Its Role in Health
medicoverhospitals.in
Oxalic Acid: What is the formula of oxalic acid? | Properties | Uses ...
chemistrypage.in
Which pair of compounds will form a buffer in aqueous solution? NaCN ...
ask.learncbse.in
Ethanoic Acid: Formula, Structure, Uses & Preparation | AESL
aakash.ac.in
Physical pharmaceutics - I Video Lectures | Bachelor of Pharmacy 3rd ...
pharmalite.in
Oxalic Acid: What is the formula of oxalic acid? | Properties | Uses ...
chemistrypage.in
balance the following equation in acidic medium cr2o72- + so32 ...
brainly.in
Bicarbonate buffer - So , here I choose acidic buffer that helps in our ...
studocu.com
Half the formic acid solution is neutralised by addition of a KOH ...
brainly.in
Ethanoic acid — lesson. Science CBSE, Class 10.
yaclass.in
pH Scale, Hydrogen Ion Concentration & Buffer Solutions | AESL
aakash.ac.in
What are dehydration of alcohol? Definition, Types and Importance ...
aakash.ac.in
the salt which will give an acidic solution and dissolved water is ...
brainly.in
ELEMENTAL CHEMISTRY: ACID RAIN
elementalchemistry.in
The products obtained from a reaction of hydrogen peroxide and ...
edurev.in
The Ultimate Guide to pH and Your Skin
paulaschoice.in
Difference Between Acid and Base for Class 7
adda247.com
Klenzmo by Kleenest 5L Tile, Marble & Granite Cleaner – Stain Remover ...
amazon.in
Materials Based on Graphene Transition Metal Compound Hybrids for ...
rgipt.ac.in
Anaerobic Respiration: Definition, Equation and Examples
careerpower.in
SRL Tris Buffer AR, ACS for molecular biology, 99.9% 100Gm, Molecular ...
amazon.in
Hydrolysis of sucrose with dilute aqueous sulphuric acid yields
tardigrade.in
Kinetic Energy: Definition, Formula, Derivation, Types and Examples
jagranjosh.com
Vanderbilt University Admission 2023: Application Fees, Deadlines ...
shiksha.com
write balanced chemical equation 1.ethanoic acid reacts with ethanol in ...
brainly.in
The number of moles of kmno4 that will be needed to react with one mole ...
brainly.in
PH, Buffer Solutions, Solubility and Solubility Product - Physical ...
edurev.in
Airqon Floor Cleaner 200 ml. Pack Of 4 (800 ML.) New non acidic ...
amazon.in
Acidity and Basicity- Concepts, Acidic and Basic Strength of organic ...
allen.in
Solution A gives pink colour when a drop of phenolphthalein indicator ...
brainly.in
criss cross method of following compounds: Hydrochloric Acid, Sulphuric ...
brainly.in
What are benzoic acid? Definition, Types and Importance - chemistry | AESL
aakash.ac.in
A Low-Power, Fast-Transient FVF-Based Output-Capacitorless LDO with ...
mdpi.com
Which pair of compounds will form a buffer in aqueous solution? NaCN ...
ask.learncbse.in
Textile Dyeing Chemicals - Liquid Optical Brightener Manufacturer from ...
dharnendra.in
draw structure of methanoic acid - Brainly.in
brainly.in
Xxtra Armor Rust Remover Spray (500mL) | Premium Non-Acidic Formula ...
amazon.in
Q30. An organic compound 'X' has molecular formula C2H4O2 and is acidic ...
brainly.in
Which pair of compounds will form a buffer in aqueous solution? NaCN ...
ask.learncbse.in
how to convert propanol to propanoic acid - Brainly.in
brainly.in
Oxidation of alkenes by cleavage with the acidic or alkaline `KmNO_(4 ...
allen.in
Describe the oxidising action of potassium dichromate - CBSE Class 12 ...
ask.learncbse.in
Acidification of Water Bodies | IAS GYAN
iasgyan.in
Why maleic acid is more acidic than fumaric acid? - Brainly.in
brainly.in
Nitric acid, HNO2 is a weak acid with Ka = 4.5 x 10-4. It dissociates ...
ask.learncbse.in
Bot Verification
geneticeducation.co.in
Graphene-Coated PVDF Membranes: Effects of Multi-Scale Rough Structure ...
mdpi.com
Write the balanced equation for acidic medium mno4-+c2o4-2[H+]=mn+2+co2 ...
brainly.in
Solid Acid–Base Catalysts Based on Layered Double Hydroxides Applied ...
mdpi.com
Volume of Hemisphere Formula, Definition, Examples
adda247.com
write basic and acidic radicals and their formula of potassium zincate ...
brainly.in
Related Searches
Acidic Buffer
Acidic Buffer Solution
Buffer pH Formula
Acid Buffer Equation
Equarion for Acidic Buffer
Acidic and Basic Buffer
Scidic Buffer
Acid-Base Buffer System
Henderson Equation for Acidic Buffer
Acidic Buffer Medicinal Chemistry
Buffer Chart for Acidic Buffer
Acidic Buffer Acetic Acid and Salt Example
Protein Buffer System
Acetate Buffer
Bicarbonate Buffer System Equation
Acidic and Basic Buffer Reaction
Acidic Magic
Derive Henderson-Hasselbalch Equation for an Acidic and Basic Buffer
Basic Buffer Eqatikon
Equation for Working Out pH of Acidic Buffer Solution
Carbonic Acid Bicarbonate Buffer Equation
Lection of Alkaline Buffer Dosage
Flowchart of Acidic and Basic Buffers
Acid-Base Equilibrium
Acidic Buffer Equation
Acidic Buffer Sonlution
Buffer Equation Chemistry
Weak Acid Buffer Equation
Acids Bases and Buffers Equations
Acetic Acid Buffer Equation
Net Ionic Equation of Strong Base and Weak Acid Buffer
Acetate Buffer Formula
Acidic Buffer Range
Acidic Buffer Diagram
Strong Acid with Buffer Formula
Acid Buffer Reaction
Buffer Equation for Acid and Base
Formula for Buffers
Buffer Formula Acid-Base
Buffers in the Body for Acddic
Buffer Ereaction
Salt Buffer Formula
Acidic Buffer in Water Drawing
Acetic Acid and Sodium Acetate Buffer Formula
Gatorade Buffer Equation
Buffer Solution
Formula for Forming a Buffer
Electro Chemistry and Buffer Formula
Combined Acid Buffer
Ka Buffer Formulas
Search
×
Search
Loading...
No suggestions found