Find Your Style
Women
Men
Accessories
Search for clothing, brands, styles...
×
Women
Men
Accessories
Acidic Buffer Solution
Search
Loading...
No suggestions found
Acidic Buffer Solution: Definition, Calculation & Applications ...
aakash.ac.in
Biopharm pH Buffer Calibration Solution Kit 3-Pack | 500 ml Bottle Each ...
amazon.in
Labnox® pH Buffer Solution ph 7.00 | pH Liquid Calibration at 25°C as ...
amazon.in
Labnox® Orp Buffer Solution 256 mv and 478 mv | Orp Calibration ...
amazon.in
Buy PH Calibration Buffer Solution Powder Set, for Precise pH Meter ...
ubuy.co.in
Buffer Solution - PH Buffer Solution Manufacturer from Bhopal
envirnotech.co.in
Statement 1: On mixing equal volumes of 1 M HCl and 2 M CH 3 COONa, an ...
tardigrade.in
Electrochemistry Instruments - Eutech Ph Calibration Buffer Solutions ...
rautscientific.in
Buffer solution pH 1.68 475 ml (no dan. goods) | LabFriend India
labfriend.co.in
NEET Previous Year Questions (2014-2025): Equilibrium - Chemistry Class ...
edurev.in
Give examples of Acidic and Basic Buffers? - CBSE Class 11 Chemistry ...
ask.learncbse.in
Solubility of Salts and Acid Base Indicators - Physical Chemistry PDF ...
edurev.in
Buffer solutions- Definition, Properties, Types of Buffer
allen.in
What is buffer solution and explain buffer action of acidic buffer ...
brainly.in
pH meter SevenDirect SD20 Kit - Overview - METTLER TOLEDO
mt.com
Buffer Equation: Derivation & Applications of Acidic & Basic Buffers
firsthope.co.in
Mettler-Toledo technical buffer Sigma-Aldrich
sigmaaldrich.com
Column I Column II A 0.1 M CH 3 COOH ( p Ka=4.74)+0.1 M CH 3 COONa p ...
tardigrade.in
Buffer Solutions - LMCM-20 Buffer Solution Service Provider from Mumbai
utechlabs.in
Thermo Scientific Orion pH Buffer Solutions - Cole-Parmer India
coleparmer.in
PH, Buffer Solutions, Solubility and Solubility Product - Physical ...
edurev.in
Buffers in pharmaceutical systems: Preparation & Stability
firsthope.co.in
Fixed volume of 0.1 M benzoic acid solution is added into 0.2 M sodium ...
edurev.in
buffer solution with equation - Brainly.in
brainly.in
Buy online Laboratory Buffer Solution in India | Biomall
biomall.in
NIST pH Buffer Solution Kit - HORIBA
horiba.com
How does a buffer resist change in pH upon addition of a strong acid ...
ask.learncbse.in
Buffer Equation: Derivation & Applications of Acidic & Basic Buffers
firsthope.co.in
An acidic buffer is obtained on mixing : - Tardigrade
tardigrade.in
A 1.00 L buffer solution is 0.250 M in Ascorbic acid (HAsc) and 0.250 M ...
brainly.in
In an acidic buffer solution ph is equal to 4.4 the concentration ratio ...
brainly.in
pH 7.00 Buffer Solution - HORIBA
horiba.com
What is the "Carbonic acid-bicarbonate" buffer system? - Brainly.in
brainly.in
The pH of the solution containing 50 mL each of 0.10 M sodium acetate ...
edurev.in
How does a buffer resist change in pH upon addition of a strong acid ...
ask.learncbse.in
Amino Acids: Structure, Types & Isomers of Amino Acids | AESL
aakash.ac.in
Acidic Buffer Solution: Definition, Calculation & Applications ...
aakash.ac.in
How does a buffer resist change in pH upon addition of a strong acid ...
ask.learncbse.in
In a buffer solution the ratio of concentration of nh4cl and nh4oh is 1 ...
brainly.in
Sodium phosphate 96 7601-54-9
sigmaaldrich.com
Buffers Standards Electrolytes and Cleaning Solutions - METTLER TOLEDO
mt.com
Ammonia Buffer Solution 500ML RANKEM : Amazon.in: Beauty
amazon.in
Materials Based on Graphene Transition Metal Compound Hybrids for ...
rgipt.ac.in
What is the henderson hasselbalch formula for the ph of acidic buffer ...
brainly.in
NEET Previous Year Questions (2014-2025): Equilibrium - Chemistry Class ...
edurev.in
Klassroom Learn - The Education OTT
klassroom.in
Challenges and Strategies for a Thorough Characterization of Antibody ...
mdpi.com
Virtual Labs
mas-iiith.vlabs.ac.in
DBD-F 98358-90-8 | Tokyo Chemical Industry (India) Pvt. Ltd.
tcichemicals.com
Klassroom Learn - The Education OTT
klassroom.in
Fig. 2: Absorption spectrum of ion-pair complexes of ENP and (1.0 x 10 ...
innovareacademics.in
Imdikrom Qualigens Universal indicator, Universal indicator solution p ...
aanij.com
Buy Ammonium Buffer Solution R061-1L in India | Biomall
biomall.in
離子交換層析故障排除
sigmaaldrich.com
Acetic acid (ethanoic acid) and hydrochloric acid react with KOH ...
ask.learncbse.in
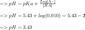
A buffer solution is made using a weak acid, ha, with a pka of 5.43. if ...
brainly.in
Overview of Acids and Bases Class 10 Notes | EduRev
edurev.in
Which salts will be more soluble in an acidic solution than in pure ...
ask.learncbse.in
finding the pH of the following sample by using ph paper/universal ...
brainly.in
Henderson equation: Calculation of pH of a Buffer Mixture - Chemistry ...
edurev.in
Solution A gives pink colour when a drop of phenolphthalein indicator ...
brainly.in
NEET Previous Year Questions (2014-2024): Equilibrium - Chemistry Class ...
edurev.in
DIETURY Litmus Paper Red & Blue For Testing Acid And Base Solution ...
amazon.in
Acidity and Basicity- Concepts, Acidic and Basic Strength of organic ...
allen.in
The pH of buffer solution prepared by adding 10ml of 0.1M Acetic acid ...
brainly.in
Choose the correct statement(s)(A) pH of an acidic buffer increases if ...
brainly.in
4 in acidic solution, permanganate ion is 9 the compou of is reduced by ...
scoop.eduncle.com
Rianpesn Ph Solution Buffer Ph Meter Buffer Solution Ph Buffer ...
desertcart.in
Acidification of Water Bodies | IAS GYAN
iasgyan.in
NEET Previous Year Questions (2014-2024): Equilibrium - Chemistry Class ...
edurev.in
Balance in acidic medium - CBSE Class 11 Chemistry - Learn CBSE Forum
ask.learncbse.in
You are provided with three test tubes A, B and C as shown in figure ...
ask.learncbse.in
NEET Previous Year Questions (2014-2025): Equilibrium - Chemistry Class ...
edurev.in
Bicarbonate buffer - So , here I choose acidic buffer that helps in our ...
studocu.com
50+ acid base reactions worksheets for 12th Class on Quizizz | Free ...
quizizz.com
How to find acidic strength order and basic strength order? - EduRev ...
edurev.in
The colour obtained on pH paper for highly acid basic and neutral ...
brainly.in
What is Red Data Book? What is its Significance and Advantages? - SSSi
sssi.in
Henderson equation: Calculation of pH of a Buffer Mixture - Chemistry ...
edurev.in
the salt which will give an acidic solution and dissolved water is ...
brainly.in
NEET Previous Year Questions (2014-2025): Equilibrium - Chemistry Class ...
edurev.in
The solubility of AgCN in a buffer solution of pH}=3 is X.
esaral.com
The electrolytic reduction of nitrobenzene in strongly acidic medium ...
tardigrade.in
NEET Previous Year Questions (2014-23): Equilibrium - Chemistry Class ...
edurev.in
Indicators: Natural indicators — lesson. Science State Board, Class 8.
yaclass.in
Table of vegetables on test of pH values - Brainly.in
brainly.in
What are aldol condensation? Definition, Types and Importance ...
aakash.ac.in
[Expert Answer] classify the following salts as neutral , acidic or ...
brainly.in
Amino Acids: Structure, Types & Isomers of Amino Acids | AESL
aakash.ac.in
Assertion : The aqueous solutions of glucose and alcohol do not show ...
edurev.in
What is buffer capacity? Give the Henderson-Hasselbalch equation for ...
brainly.in
Oxalic acid, H2C2O4*2H2O (molar mass = 126.07 g/mol) is oftenused as a ...
ask.learncbse.in
pH 9.18 Buffer Solution - HORIBA
horiba.com
Ethyl isocyanide on hydrolysis in acidic medium generates
tardigrade.in
How to convert ethylene to glyoxal - Brainly.in
brainly.in
Five solutions A, B, C, D and E when tested with universal indicator ...
philoid.in
Describe the oxidising action of potassium dichromate - CBSE Class 12 ...
ask.learncbse.in
Trizma base, 77-86-1, ACS reagent, 252859, Sigma-Aldrich
sigmaaldrich.com
93. pH of an acidic buffer is 5.04 and pka (CH2COOH)= 4.74. Then which ...
brainly.in
Redken Acidic Bonding Concentrate Conditioner
redken.in
[Video] A vessel contained a certain amount of a solution of acid and ...
cracku.in
What happens when (i) Manganate ions ( MnO₄²⁻ ) undergoes ...
brainly.in
How to convert ethylene to glyoxal - Brainly.in
brainly.in
Balance the following chemical equation in an acidic medium Cr³+ BIO3¹ ...
brainly.in
SPECTRUM Sodium Thiosulphate Solution N/10 (500ML) : Amazon.in ...
amazon.in
Buffer Solution - Buffer Solution Eutech Wholesale Trader from Mumbai
sagarscientific.in
OR(1) Draw a labelled diagram to show the preparation of ...
brainly.in
When BrO3 ^- ion reacts with Br– in acid medium, Br2 is liberated. The ...
brainly.in
fill the unknown categories indicator, original colour, acid, base in ...
brainly.in
Calculate the volume of 0.05 KMn${{O}_{4}}$ solution re-quired to ...
ask.learncbse.in
How to Calibrate the Oakton EcoTestr pH 2+ Pocket pH Meter from Cole ...
coleparmer.in
Define buffer solutions. Classify the following buffers into different ...
brainly.in
Klassroom Learn - The Education OTT
klassroom.in
pH Values List for Common Substances
careerpower.in
Can anyone tell me the trick to learn basic radicals and acid radicals ...
brainly.in
Calculate the pH of buffersolution containing 0.05 mol NaF per litreand ...
brainly.in
10 Acne-clearing Face Washes for Blemish-free Skin | Grazia India
grazia.co.in
SPECTRUM METHYL RED SOLUTION 125ML : Amazon.in: Industrial & Scientific
amazon.in
Which of the following is the buffer solution of strong acidic nature ...
brainly.in
Scienceware H37801-0000 Acid/Caustic Solution Sampler, 16 oz capacity ...
coleparmer.in
Related Searches
Ph Buffer Solution
Acidic Buffer
Buffer Solution Graph
Acetate Buffer
Acidic Buffer Examples
Alkaline Buffer Solution
Citric Acid Buffer
What Is a Buffer Solution
Acidic and Basic Buffer
Buffer Titration Curve
Example of Buffer Solution
Types of Buffer Solution
Buffer Solution Diagram
Strong Acid Weak Base Buffer
Buffer Equation
Ph Buffer Solution Kit
Buffer Acids and Bases
Acetate Buffer Preparation
Buffer Examples Chemistry
Buffered Solution Preparation
Buffers for Acids
Sodium Bicarbonate Buffer System
Boric Acid Buffer Preparation
Buffer Solution for Ethanoic Acid
Resuspension Buffer
Buffered Acidic Cleaner
Organic Acidic Buffer Solutions
pH Scale Strong Acid
How to Make Acid Buffer
Acidic Buffer Acetic Acid and Salt Example
Weak Acid and Conjugate Base
Buffer Biology Example
Salt Hydrolysis
Lactic Acid Titration Curve
Acid Buffer for Animals
SS Injectable Buffer Solution Preparation Tank
Buffer Solution Diagram When Acid and Base Is Added
Henderson-Hasselbalch équation
Drawing of When an Acid Is Added to a Buffer Solution
pH Scale Hydrogen Ions
Sulfuric Acid Ph Curve
Oxalic Acid vs KMnO4 Titration
Animation of Buffer Solution
Acetate Buffer Mixed with Strong Acid
Weak Acids and Bases Chart
Acid-Base Buffer
Acid Buffer
Basic Buffer Examples
Example of Acidic Buffer Solution
Buffer Salts
Search
×
Search
Loading...
No suggestions found