Find Your Style
Women
Men
Accessories
Search for clothing, brands, styles...
×
Women
Men
Accessories
Allylic And Benzylic Halides
Search
Loading...
No suggestions found
Classify the following organohalogen compounds as alkyl, allylic ...
allen.in
Explain why allylic and benzylic halides are more reactive towards `S ...
allen.in
Haloarenes: Classification, Nomenclature, Preparation
allen.in
Klassroom Learn - The Education OTT
klassroom.in
[Expert Verified] examples for allylic halides - Brainly.in
brainly.in
Haloalkanes and Haloarenes Class 12 Notes Chemistry Chapter 10 CBSE
oswalpublishers.com
Simply what is benzylic and what is allylic ...pls explain ...?
scoop.eduncle.com
Classification & Nomenclature of Haloalkanes & Haloarenes - Notes ...
edurev.in
Name the following halides according to the IUPAC system - CBSE Class ...
ask.learncbse.in
Classify the following organohalogen compounds as alkyl, allylic ...
allen.in
Alkyl halides- Classification, Properties and Methods of Preparation
allen.in
Name the following halides according to IUPAC system - CBSE Class 12 ...
ask.learncbse.in
Simply what is benzylic and what is allylic ...pls explain ...?
scoop.eduncle.com
Explain primary benzylic halide shows higher reactivity by SN1 ...
brainly.in
Haloalkanes and Haloarenes Class 12 Notes Chemistry Chapter 10 CBSE
oswalpublishers.com
NCERT Solutions for Class 12 Chemistry Chapter 10 Haloalkanes and ...
esaral.com
.1 2 Name the following halides according alkyl, allyl, benzyl (primary ...
brainly.in
Out of Which is an example of allylic halide?
allen.in
Alkyl halides- Classification, Properties and Methods of Preparation
allen.in
Out of Which is an example of allylic halide?
allen.in
How many of the following alkyl halides will readily undergo SN 1 ...
tardigrade.in
, Out of which is an example of a benzylic halide?
allen.in
Classification & Nomenclature of Haloalkanes & Haloarenes | Chemistry ...
edurev.in
How do alkyl, allyl and vinyl halides differ in structure
allen.in
Classification and Nomenclature of Haloalkanes and Haloarenes ...
edurev.in
Classification and Nomenclature of Haloalkanes and Haloarenes ...
edurev.in
Simply what is benzylic and what is allylic ...pls explain ...?
scoop.eduncle.com
Haloalkanes and Haloarenes Class 12 Notes Chemistry Chapter 10 CBSE
oswalpublishers.com
ELEMENTAL CHEMISTRY: BUNA - S or Styrene-Butadiene Rubber
elementalchemistry.in
How many of the following compounds can be categorized as allylic ...
tardigrade.in
SATHEE: UNIT - 10 Organic compounds containing Halogens
sathee.iitk.ac.in
What do you mean by benzyl hallide and allyl halides ?Gn ! - Brainly.in
brainly.in
Oxidation and Reduction of Aromatic Compounds - Chemistry Optional ...
edurev.in
Haloalkanes and Haloarenes Class 12 Notes Chemistry Chapter 10 CBSE
oswalpublishers.com
SATHEE: UNIT - 10 Organic compounds containing Halogens
sathee.iitk.ac.in
Distinguish between 1\u00b0,2\u00b0,3\u00b0 alkyl halides in terms of ...
scoop.eduncle.com
How do alkyl, allyl and vinyl halides differ in structure
allen.in
Alkyl halides- Classification, Properties and Methods of Preparation
allen.in
NEET Previous Year Questions (2014-2025): Organic Chemistry - Some ...
edurev.in
Distinguish between 1\u00b0,2\u00b0,3\u00b0 alkyl halides in terms of ...
scoop.eduncle.com
SATHEE: UNIT - 10 Organic compounds containing Halogens
sathee.iitk.ac.in
Classification and Nomenclature of Haloalkanes and Haloarenes ...
edurev.in
Which one of the following is an allylic halide
tardigrade.in
ELEMENTAL CHEMISTRY: Carbocation
elementalchemistry.in
Why vinyl halide and aryl halide does not give SN1 & SN2 reaction ...
brainly.in
Factors Affecting SN1 and SN2: Nature of the Substrate, Nucleophile ...
aakash.ac.in
Out of two which is an example of benzylic halide? - Brainly.in
brainly.in
SATHEE: UNIT - 10 Organic compounds containing Halogens
sathee.iitk.ac.in
Nucleophilic Substitution Reaction- SN1: What is SN1 Reaction ...
aakash.ac.in
Introduction to Reaction Intermediates and Carbocations - Organic ...
edurev.in
Factors Affecting SN1 and SN2: Nature of the Substrate, Nucleophile ...
aakash.ac.in
Nucleophilic Substitution Reaction- SN1: What is SN1 Reaction ...
aakash.ac.in
Benzaldehyde can be prepared by the hydrolysis of
tardigrade.in
SATHEE: Alkyl Halide and Aryl Halide
satheejee.iitk.ac.in
Allylic carbon: Structure, Properties and Reactions
allen.in
Allyl chloride shows sn1 reaction and n propyl shows sn2 reaction ...
brainly.in
NCERT Solutions Class 12 Chemistry Chapter 6 - Haloalkanes and Haloarenes
edurev.in
The conversion of benzaldehyde into benzyl alcohol takes place by:
tardigrade.in
SATHEE: UNIT - 10 Organic compounds containing Halogens
sathee.iitk.ac.in
Nucleophilic Substitution Reaction- SN1: What is SN1 Reaction ...
aakash.ac.in
Nucleophilic Substitution Reaction- SN1: What is SN1 Reaction ...
aakash.ac.in
Arrange the following free radicals in the order of decreasing ...
allen.in
Non-Metal Based Reagents - Organic Chemistry PDF Download
edurev.in
NCERT Solutions Class 12 Chemistry Chapter 6 - Haloalkanes and Haloarenes
edurev.in
Give examples of 1°, 2°, 3° benzyl halide. - Brainly.in
brainly.in
SeO2 - Chemistry Optional Notes for UPSC PDF Download
edurev.in
NCERT Solutions Class 12 Chemistry Chapter 6 - Haloalkanes and Haloarenes
edurev.in
Oxidation and Reduction of Aromatic Compounds - Chemistry Optional ...
edurev.in
SATHEE: Unit 10 Haloalkanes And Haloarenes (Exercises)
satheejee.iitk.ac.in
NEET Previous Year Questions (2014-2025): Organic Chemistry - Some ...
edurev.in
Synthesis of 2-(2-R1-Hydrazino)-5-(R2-benzyl)-2-thiazolines on the ...
mdpi.com
NCERT Solutions Class 12 Chemistry Chapter 6 - Haloalkanes and Haloarenes
edurev.in
Factors Affecting SN1 and SN2: Nature of the Substrate, Nucleophile ...
aakash.ac.in
Carbanions: Stability and Reactions - Organic Chemistry PDF Download
edurev.in
reaction of benzyl chloride with AgNO3 and NaOH.plz ans it fast ...
brainly.in
Why allyl halides are more reactive than alkyl halides - Brainly.in
brainly.in
Klassroom Learn - The Education OTT
klassroom.in
Classification and Nomenclature of Haloalkanes and Haloarenes - Class ...
edurev.in
In the following benzyl/allyl system underset text(R is alkyl group)R ...
tardigrade.in
Benzyl Chloride 100-44-7 | Tokyo Chemical Industry (India) Pvt. Ltd.
tcichemicals.com
which is an example of allylic halide? - Brainly.in
brainly.in
Nucleophilic Substitution Reaction- SN1: What is SN1 Reaction ...
aakash.ac.in
Free redical halogenation takes place in presence of light or at high ...
allen.in
NEET Previous Year Questions (2014-2025): Organic Chemistry - Some ...
edurev.in
NCERT Solutions for Class 12 Chemistry Chapter 10 Haloalkanes and ...
esaral.com
g-C3N4-Stabilised Organic–Inorganic Halide Perovskites for Efficient ...
mdpi.com
NCERT Solutions Class 12 Chemistry Chapter 6 - Haloalkanes and Haloarenes
edurev.in
NEET Previous Year Questions (2014-2025): Organic Chemistry - Some ...
edurev.in
NCERT Solutions for Class 12 Chemistry Chapter 10 Haloalkanes and ...
esaral.com
Factors Affecting SN1 and SN2: Nature of the Substrate, Nucleophile ...
aakash.ac.in
Name the following halides according to IUPAC system - CBSE Class 12 ...
ask.learncbse.in
The product of the reaction between ethyl benzene and N-bromosuccinamide is
tardigrade.in
Factors Affecting SN1 and SN2: Nature of the Substrate, Nucleophile ...
aakash.ac.in
Finkelstein Reaction | Organic Chemistry Reactions
mygurukulacademy.in
NCERT Solutions Class 12 Chemistry Chapter 6 - Haloalkanes and Haloarenes
edurev.in
Synthesis of 2-(2-R1-Hydrazino)-5-(R2-benzyl)-2-thiazolines on the ...
mdpi.com
SATHEE: Unit 10 Haloalkanes And Haloarenes (Exercises)
satheejee.iitk.ac.in
The correct order of increasing stabilities for the following ...
tardigrade.in
Free radical halogenation takes place in the presence of light or at ...
allen.in
Alkyl Halides: Classifications, Preparations, Physical and Chemical ...
aakash.ac.in
What is allylic halide ? how to better explain with example? - EduRev ...
edurev.in
NCERT Solutions Class 12 Chemistry Chapter 6 - Haloalkanes and Haloarenes
edurev.in
Factors Affecting SN1 and SN2: Nature of the Substrate, Nucleophile ...
aakash.ac.in
Finkelstein Reaction | Organic Chemistry Reactions
mygurukulacademy.in
Nucleophilic Substitution Reaction- SN1: What is SN1 Reaction ...
aakash.ac.in
NCERT Solutions for Class 12 Chemistry Chapter 10 Haloalkanes and ...
esaral.com
2. In case of allylic halides,halogen atom is bonded to -OSP2 ...
brainly.in
NEET Previous Year Questions (2014-2025): Organic Chemistry - Some ...
edurev.in
Allylic halide among the following compounds is - Brainly.in
brainly.in
SATHEE: UNIT - 11 Organic Compounds Containing Oxygen (Alcohols ...
sathee.iitk.ac.in
General Organic Chemistry – Reaction Intermediates, Electronic Effects ...
aakash.ac.in
NCERT Solutions Class 12 Chemistry Chapter 6 - Haloalkanes and Haloarenes
edurev.in
NCERT Solutions Class 12 Chemistry Chapter 6 - Haloalkanes and Haloarenes
edurev.in
NCERT Solutions for Class 12 Chemistry Chapter 13 Amines
oswalpublishers.com
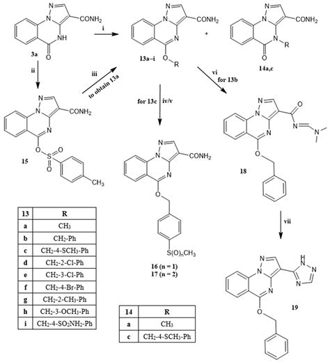
Anti-Inflammatory Activity of Pyrazolo[1,5-a]quinazolines
mdpi.com
What is allylic halide ? how to better explain with example? - EduRev ...
edurev.in
Alcohol and Phenols: Chemical Reactions - Class 12 PDF Download
edurev.in
Free radical halogenation takes place in the presence of light or at ...
allen.in
NEET Previous Year Questions (2014-23): Haloalkanes & Haloarenes ...
edurev.in
ELEMENTAL CHEMISTRY: Friedel crafts Reaction
elementalchemistry.in
Related Searches
Benzylic
Allylic vs Benzylic
Allylic Alkyl Halide
Allylic Halogenation
Benzylic Oxidation
Allylic Vinylic Benzylic
Benzylic Carbon
Benzylic Cation
Aryl vs Benzylic
Allylic Chlorination
Benzylic Hydrogen
Allylic Resonance
Allylic Bromination
Vinyl and Allyl Group
Benzylic C-H Bond
Allylic Radical
Benzylic Oxidation Mechanism
Benzylic Carbocation
Allylic Position
Benzylic H
Allylic Compounds
Benzylic Amination
Allylic Reaction
Benzyl Ether
Allylic Halide Examples
Benzylic Alkene
Secondary Benzylic Halide
Benzylic C-H
Benzylic Carbanion
Benzylic Free Radical
Primary Benzylic Cation
Benzylic vs Allyic
Allylic Bromination Mechanism NBS
Allylic and Benzylic Carbocations
Phenylic Halide
Allylic Methyl Groups
Allylic Proton
Allylic and Benzylic Radicals
Allylic and Benzylic Halides
Allylic Substitution Reaction
Benzylic Halide SN1
Allylic Substrate
Allyl Benzene
What Are Allylic Halides
Phenyl vs Benzyl
Benzylic C-H Activation
Ally Halide
Benzyl Alkoxide
Benzylic Deprotonation
Vinylic Alcohol
Search
×
Search
Loading...
No suggestions found