Find Your Style
Women
Men
Accessories
Search for clothing, brands, styles...
×
Women
Men
Accessories
Androgenesis Method Images
Search
Loading...
No suggestions found
Get .com domain for just 1$ or 67 INR - New Method 2016 Latest - Yeah Hub
yeahhub.com
Get .com domain for just 1$ or 67 INR - New Method 2016 Latest - Yeah Hub
yeahhub.com
Get .com domain for just 1$ or 67 INR - New Method 2016 Latest - Yeah Hub
yeahhub.com
Betindi Online Casino - Official site in India | Get Bonus 10000 INR ...
betindi-india.in
Odds96 Online Betting & Casino Website | Get 10000 INR | Login
odds96india.in
96in Referral Code - Get Welcome Bonus up to 1000 INR
96in.in
Olympiabet Online Betting & Casino & Slots | Get INR 8,000 Bonus
olympiabet1.in
1Win Online Casino – Get Casino Bonus Up to 80,000 INR
bhajanlyrics.online
Get .com domain for just 1$ or 67 INR - New Method 2016 Latest - Yeah Hub
yeahhub.com
Androgenesis - Important topic for essay qstions please study well ...
studocu.com
Doubled Haploid (DH) Technique in Plant Breeding
agrobotany.in
Different between androgenesis and gynogenesis - Brainly.in
brainly.in
Induction of Androgenesis in Pearl Millet - OAR@ICRISAT
oar.icrisat.org
Immunohistochemistry
sigmaaldrich.com
Haploid production - It's an easy note - PRODUCTION OF HAPLOID PLANTS ...
studocu.com
Look at the diagram given below: Answer the following: i) Name the ...
philoid.in
Book Prothrombin Time & International Normalized Ratio (PT-INR ...
pharmeasy.in
Recombinant Virus Quantification Using Single-Cell Droplet Digital PCR ...
mdpi.com
ICAR-indian agricultural research institute
pusa.iari.res.in
Induction of Androgenesis as a Consequence of Wide crossing in chickpea ...
oar.icrisat.org
Fig. 9: Co-precipitation method
innovareacademics.in
Method and Apparatus for Fabricating High Aspect Ratio Structures ...
rnd.iitb.ac.in
MsKrishno.in
mskrishno.in
96in Sportsbook Official Website in India | Login | Get Bonus up to ...
96ins.in
PhD Students | Department of Applied Mechanics
am.iitd.ac.in
Official Methods of Analysis of AOAC INTERNATIONAL
bookswagon.com
Buy Hutchison's Clinical Methods International Edition & Biochemistry ...
amazon.in
Scientific Books - Standard Methods For The Examination Of Water And ...
medicalbook.co.in
A Complete Guide on Payment Methods in International Trade
credlix.com
Research methodology : methods and techniques [Paperback] C R Kothari ...
amazon.in
M35 Concrete Ratio - Meaning, Benefits, Uses | JK Cement
jkcement.com
Inquiry Cycle: The Scientific Method – Prompts Display (PYP)
twinkl.co.in
Kothari - Research Methodology Methods and Techniques - 2004 - Research ...
studocu.com
Parallax Method - Triangulation Method, Measurement of length, Distance ...
aakash.ac.in
MsKrishno.in
mskrishno.in
Flexible Pavement Design | California Bearing Ratio Method with IRC ...
apsed.in
A Complete Guide on Payment Methods in International Trade
credlix.com
96in Sportsbook Official Website in India | Login | Get Bonus up to ...
96ins.in
Buy Hutchison's Clinical Methods, International Edition: An Integrated ...
amazon.in
EkBet Online Casino & Sports Betting Official Site | Get ₹5000 Bonus ...
ekbet1.in
The Canterville Ghost - Funny Story to Learn German & Expand Your ...
amazon.in
👉 Proportion and the Unitary Method Worksheet - Twinkl
twinkl.co.in
Bain Divalent Shampoo (250 ml) – Kapils Salon
shop.kapilssalon.com
Mostplay Banking Options for Indian Players | How to Deposit and ...
mostplay.pro.in
Buy The Rietveld Method: 5 (International Union of Crystallography ...
amazon.in
RD Sharma Class 6 Maths Chapter 9 Ratio, Proportion and Unitary Method ...
rdsharmasolutions.com
Buy Official Methods of Analysis of Aoac International (2 Binders/2 ...
amazon.in
SOCIAL RESEARCH METHODS 5E XE : Alan Bryman : Amazon.in: Books
amazon.in
Fingerprint Analysis in Forensic Science – An Overview
lifs.co.in
Payment Methods at 1Win for Indian Players
drinkomg.in
Buy and Sell Tether (USDT) with Your Preferred Payment Methods ...
p2p.binance.com
Calculation of Tender or Quotation - Overheads, Cost Accounting - Cost ...
edurev.in
PALLAV MONGIA LAW CHAMBERS | Wisdom in Strategy; Method in Advocacy.
pmlc.in
Buy Research Methods: A Process of Inquiry: International Edition Book ...
amazon.in
5. Determination of chloride content of water sample by argentometric ...
eee.poriyaan.in
Buy Official Methods of Analysis of AOAC INTERNATIONAL, Three-volume ...
amazon.in
Parallax Method - Triangulation Method, Measurement of length, Distance ...
aakash.ac.in
Buy Phytochemical Methods: A Guide to Modern Techniques of Plant ...
amazon.in
Research Methods in Social Sciences
fsm.ac.in
Ponchon-Savarit Method - Mass Transfer Solved Problems - msubbu
msubbu.in
Flexible Pavement Design | California Bearing Ratio Method with IRC ...
apsed.in
Payment Methods at 1Win for Indian Players
drinkomg.in
RD Sharma Class 6 Maths Chapter 9 Ratio, Proportion and Unitary Method ...
rdsharmasolutions.com
3.1 (b) newton's method [or Newton-Raphson method] - Solved Example ...
eee.poriyaan.in
Research Methodology Methods And Techniques (Fourth Edition) By C. R ...
flipkart.com
Masque Extentioniste (200 ml) – Kapils Salon
shop.kapilssalon.com
Valuation of shares under Net Asset Method
taxguru.in
Research Method v. Research Methodology
legalbites.in
Buy BIOCHEMICAL METHODS Book Online at Low Prices in India ...
amazon.in
How to Control Diabetes: Lifestyle Modification and Diet Tips to Keep ...
fitterfly.com
Different between androgenesis and gynogenesis - Brainly.in
brainly.in
Stacks | Learn Everything about Stacks in DSA
talentbattle.in
GET vs POST - comparison between get and post method used in php ...
studocu.com
Cost-Plus Method : A Better Way To Assess Transfer Price?
taxguru.in
💸 How to use PayPal in India: Step by Step [2021] - Wise
wise.com
CS - 28 – Ohbyozy
ohbyozy.com
Here's the right application method for retinol and the best products ...
vogue.in
International Payment Methods
taxguru.in
Slope Stability Analysis | Encyclopedia MDPI
encyclopedia.pub
How to Build a Website: 2 Methods, 9 Easy Steps, & 35 Amazing Tips - Blog
appsmanager.in
Overview of Comparable Uncontrolled Price (CUP) Method in Transfer Pricing
taxguru.in
Bit stream 1101011011 is transmitted using the standard crc method. the ...
brainly.in
Major Areas :: Dryland Agriculture
agritech.tnau.ac.in
The Gauss seidal load flow method has following disadvantages. Select ...
edurev.in
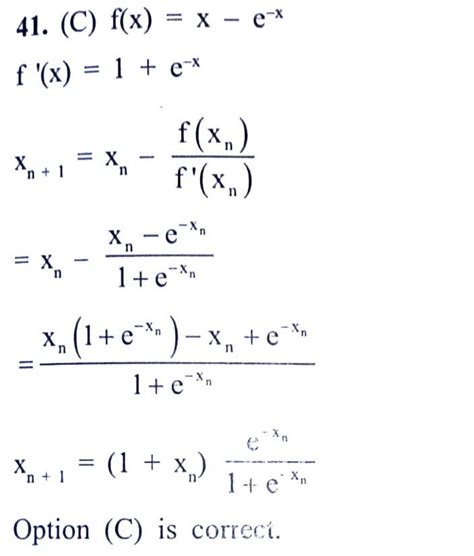
41. the recursion relation to solve x= e using newton-raphson's method ...
scoop.eduncle.com
SFI03H | TeachingNest | Use PASS to fail the fire | Hindi | 33x48 cm ...
amazon.in
Buy Scientific Method Poster - Laminated, 12x18 inches - Kids Science ...
ubuy.co.in
Serum Anti-Chute Fortifiant Treatment (90 ml) – Kapils Salon
shop.kapilssalon.com
draw the flow chart showing the stages of scientific method - Brainly.in
brainly.in
Difference Between Method Overloading and Method Overriding in Java ...
studocu.com
Method in the Madness : Insights from My Career as an Insider-Outsider ...
harpercollins.co.in
Talk on ' Moving from Pandemic Adaptation to a Mainstream Method ...
sirp.mgu.ac.in
Fractional Fokker-Planck Equation
mdpi.com
Payment Methods at 1Win for Indian Players
drinkomg.in
Raising of Funds through External Commercial Borrowings (ECB)
taxguru.in
Cure Densifique Femme Treatment (30 x 6 ml) – Kapils Salon
shop.kapilssalon.com
SATHEE: Maths Unitary Method
satheejee.iitk.ac.in
Alhadin Construction - Leading Infrastructure and Telecom Service Provider
alhadinconstructions.in
Observations on the Computation of Eigenvalue and Eigenvector Jacobians
mdpi.com
👉 Blank Column Method Worksheet
twinkl.co.in
Modified Regular Falsi method:
archive.nptel.ac.in
Distinction Between Technique, Method and Methodology - Anthropology ...
edurev.in
3.1 (b) newton's method [or Newton-Raphson method] - Solved Example ...
eee.poriyaan.in
Principles of measurement pomi english - Principles of Measurement ...
studocu.com
What is the Column Method of Addition and Subtraction? | Twinkl ...
twinkl.co.in
Methods of Increasing String Efficiency - Reducing Ratio of Shunt ...
eee.poriyaan.in
ONE WEEK INTERNATIONAL VIRTUAL WORKSHOP ON Computational Genomics for ...
helpbiotech.co.in
TNMM is Suitable Method for Determining ALP for International ...
taxscan.in
How to use Array reduce() Method in JavaScript with Example
encodedna.com
Best Private University In Rajasthan, India- Study In Bikaner
rnbglobal.edu.in
Numerical Modeling in Micromechanics via Particle Methods ...
amazon.in
Buy Social Research Methods Book Online at Low Prices in India | Social ...
amazon.in
Darpan Meen Shubh Laabh
amama.in
Research Methodology Methods And Techniques, 2/E. : Amazon.in: Books
amazon.in
International Journal of Qualitative Methods | SAGE India
in.sagepub.com
3.1 (b) newton's method [or Newton-Raphson method] - Solved Example ...
eee.poriyaan.in
CS - 20 (Double Sided) – Ohbyozy
ohbyozy.com
PTE Exam Registration 2024: Everything You Need to Know About PTE Exam ...
yocket.com
Payment Method KongHosting
konghosting.in
Related Searches
Androgenesis Gel
Androgenesis Pathway
Indirect Androgenesis
Androgenesis in Plants
Androgenesis Diagram
Process of Androgenesis
Androgenesis Fish
Microspores Androgenesis
Androgenesis Tritement
Artificial Androgenesis
Androgenesis in Tissue Culture
Androgenesis in Fish Figure
Androgenesis and Gynogenesis in Fishes
Androgenesis in Black Gram
Androgenesis Male Ninja
Androgenesis Plants in Telugu
Androgenesis Gel Black Bottle
Androgenesis Adrenal Gland
Androgenesis Style
Cellular and Molecular Aspect of Androgenesis
Direct Embryogenesis in Plants Androgenesis
Cellular and Molecular Aspect of Androgenesis Star Stage
Double Haploids Pathways Androgenesis Gynogenesis
Androgensis Pathway
Androgenesis Based Doubled Haploid Production in Rice Crop
Splitting Angiogenesis
Endoreduplication Mitosis
Pathways to Androgenesis
Androgenesis in Human
Androgenesis in Fishes
Tomato Androgenesis
Androgenesis in Plants Byjus
Androgenesis Process
Direct Androgenesis
Spinach Androgenesis
Types of Androgenesis
Androgenesis and Gynogenesis
Androgenesis Xevious
Androgenesis in Vegetables
Diagram of Androgenesis
Androgenesis to Kill Cancer
Androgenesis in Cucurbits
Androgenesis in Tilapia
Androgenesis in Fish Images
Androgenesis H Mole
Androgenesis in Plant Tissue Culture
Androgenesis Gynogenesis
Embryogenesis Androgenesis Microspore
Androgenesis Method Images
Androgenetic Fish Image
Search
×
Search
Loading...
No suggestions found