Find Your Style
Women
Men
Accessories
Search for clothing, brands, styles...
×
Women
Men
Accessories
Applejack Stand Vector
Search
Loading...
No suggestions found
Buy My Little Pony Princess Apple Jack Doll Online at desertcartINDIA
desertcart.in
Pro Stand - Apple (IN)
apple.com
My Little Pony Wall Decor Set Of 6 8 Inches | Desertcart INDIA
desertcart.in
AppleJack Debuts at Buntsys, Buntsy's Band Stand, Webster, 28 March ...
allevents.in
AppleJack Debuts at Buntsys, Buntsy's Band Stand, Webster, 28 March ...
allevents.in
Buy USB-C to 3.5mm Headphone Jack Adapter - Apple (IN)
apple.com
Buy CNC Cut Laptop Stand Template: DXF SVG Vector Files (digital ...
etsy.com
VEVOR Jack Stands, 6 Ton (13,000 lbs) Capacity Car Jack Stands Double ...
amazon.in
Introducing iPhone Air, a powerful new iPhone with a breakthrough ...
apple.com
Buy The Best Pre-Built & Custom Built Gaming PCs in India | SMC ...
smcinternational.in
Set of realistic trade exhibition stand or white blank exhibition kiosk ...
freepik.com
IRON LANDS SOLID High Step Indoor Outdoor Plant Pot Stand with ...
amazon.in
EarPods (3.5mm Headphone Plug) - Apple (IN)
apple.com
Buy BREUAILY 4x4 inch Lab Jack Stand Aluminum Lab Lift Jack Lab Jack ...
desertcart.in
Buy Bestand Keyboard Stand for Apple Magic Trackpad (MJ2R2LL/A) and ...
desertcart.in
Vector Diseño: Stands, Opiniones de clientes y Servicios
nstand.com
Trolleys Display Stand Queue Manager - Wooden Tray Jack Trader ...
aggarwaldistributors.in
Dinesa Laboratory Lift Stand Lab Jack Scissor Stand Platform Table ...
desertcart.in
Vector Diseño: Customer Reviews, Stands and Services
nstands.com
Acrylic Products - QR Code Stand Manufacturer from Mumbai
nivaragraphics.in
V-Groove Jack Stand Universal Rubber Jack Pads India | Ubuy
ubuy.co.in
Buy Jack Boss Car Jack Stands 3 Ton 6,600 Lbs Capacity Steel Car ...
desertcart.in
Vector Diseño: Stands, Opiniones de clientes y Servicios
nstand.com
Introducing iPhone Air, a powerful new iPhone with a breakthrough ...
apple.com
Buy Schaum's Outline of Vector Analysis, 2ed (Schaums' Outline Series ...
amazon.in
LOCOMOTO Wooden Coat Hanger Stand Suitable for Home, Office & Coat ...
amazon.in
Torque: Meaning, Formula, Directions & Applications | AESL
aakash.ac.in
Convert the vector r vector = 3 i cap +2 j cap into a unit vector ...
brainly.in
Locomoto Premium Solid Metal Coat Hanger Stand for Display Stand Uses ...
amazon.in
Plantex Stainless Steel Dual Tier Foldable Cloth Drying Stand/Cloth ...
amazon.in
Moko Case For Ipad A16 11th Generation 11 Inch 2025 | Desertcart INDIA
desertcart.in
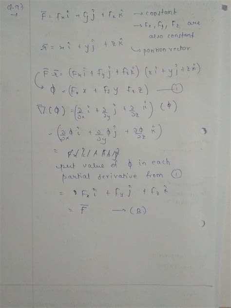
Q.9. if f is a constant vector and r is the position vector then v(f.7 ...
scoop.eduncle.com
GAAP: Definition, Principles, Benefits and Limitations
navi.com
Units and Dimensions
physicsadvisor.in
Man Standing Up - Free people icons
flaticon.com
5. The resultant of the three coplanar vectors a, band c is a Zero ...
brainly.in
Buy Jack Rubber Pad Adapter,Jack Stand Universal Heavy Duty Rubber ...
desertcart.in
TAPARIA JS3 Vehicle Jack Stand Price in India - Buy TAPARIA JS3 Vehicle ...
flipkart.com
Triangle Law of Vector Addition: Definitions, Formula, Derivations ...
collegesearch.in
Trihelper Car Jack Hydraulic Jack – 5 Ton Electric Car Jack Stand Three ...
desertcart.in
Buy BALLSHOP 20 Ton Air Hydraulic Bottle Jack Heavy Duty Bottle Jack ...
desertcart.in
Oesslift Table Lab Stand Lifter Scientific Scissor Lifting Jack ...
desertcart.in
Apple introduces iPhone XR - Apple (IN)
apple.com
Vector Diseño: Customer Reviews, Stands and Services
nstands.com
ESR 3 in 1 Wireless Charging Station for Apple[Certified] Portable ...
amazon.in
Brydge Space-Saving Laptop Stand | Vertical Docking Station Compatible ...
amazon.in
Apple introduces the powerful next-generation Apple TV 4K - Apple (IN)
apple.com
Apple introduces iPhone XR - Apple (IN)
apple.com
NYRA® Stainless Steel Round Hot Pot Stand, matka stand steel round ...
amazon.in
MagSafe Charger Compatible, Anker MagGo 3-in-1 Charging Station, Qi2 ...
amazon.in
Invzimagfree Pro Magnetic Ipad Stand Adjustable Rotatable Floating ...
desertcart.in
Apple introduces iPhone XR - Apple (IN)
apple.com
SQUARO Glass TV Setup Box Stand/Set Top Box Stand/WiFi Router Stand ...
amazon.in
CESS-260 Balanced 4.4mm to RCA Female Jack Headphone Audio Adapter ...
amazon.in
Raja Rubbers Blue Point 3 Ton Jack Stand Pair Heavy Duty Jack Stand ...
amazon.in
Given p=q=r,if vector p+vector q= vector r then the angle between ...
brainly.in
Buy Iwillink UL Listed Cat6 Keystone Jack RJ45 Keystone Jack 25-Pack ...
desertcart.in
Buy ekon4-Pack RV Jack Stabilizer Pads 12x12x0.75 | Slip-Resistant RV ...
desertcart.in
fdealz® [ 1 Pieces ] 3.5mm To 6.35mm Jack Audio Adapter Gold Plated 6.5 ...
amazon.in
Ilustração em vetor gato fofo | vetor Premium gerado com IA
br.freepik.com
Buy Donext Motorcycle Lift Scissor Jack, 1200 LB Capacity Wide Deck ...
desertcart.in
Anker MagSafe Wireless Charging Stand Compatible with MagGo, 3 in 1 ...
amazon.in
Spurtar Tesla Jack Pad Car Jack Stand Pads Lift Point Pad Adapter Tool ...
desertcart.in
Softline Pro Heavy Duty Tripod Studio Monitor Stand Adjustable Height ...
amazon.in
1. The correct relation between vectors P, Q and R is (1) P+Q=R (3) Q=R ...
brainly.in
Buy R FOR RABBIT APPLE PACIFIER-M GREEN Online & Get Upto 60% OFF at ...
pharmeasy.in
find the angle between two vectors P vector and Q vector if resultant ...
brainly.in
Motion in a plane - I hope - 2 NCERT Based MCQs The correct relation ...
studocu.com
Buy JFG RACING Motorcycle Dirt Bike Lift Jack Hoist Stand Table Height ...
desertcart.in
Apple Pro Stand: Here’s what Twitter had to say about Apple’s ₹70,000 ...
gqindia.com
Apple introduces iPhone XR - Apple (IN)
apple.com
Apple to open its first official retail store in India | Tech News
tech.hindustantimes.com
Buy R FOR RABBIT APPLE PACIFIER-L PINK Online & Get Upto 60% OFF at ...
pharmeasy.in
Apple’s $999 PC monitor stand creates stir on social media
newsd.in
Pyramid Mobile Stand with 3 Different Inclined Angles (Pack of 10 ...
amazon.in
MOTOOS 1500LB Motorcycle Bike Lift ATV Hoist Jack Stand Foot-Operated ...
desertcart.in
A and B are two inclined vectors and R is their sum. Choose the correct ...
tardigrade.in
Buy Apple Pencil Pro - Education - Apple (IN)
apple.com
INGCO Hydraulic floor 2 Ton jack HFJ302
urbanfox.in
Zerodis Lab Jack Laboratory Jiffy Jack Lab Jack Scissor Stand ...
desertcart.in
How To Make A Minecraft Armor Stand? What To Use It For?
gurugamer.com
Buy GLOBAL INDUSTRIAL 100,000 Lb. Static Capacity Standard Duty Trailer ...
ubuy.co.in
The position vector ⃗r of a particle P located in an x-y plane is shown ...
brainly.in
Buy Motorbike Stand Lift Jack, 1100Lbs(500kg) Heavy Duty Motorcycle ...
desertcart.in
Buy psler Jack Pad for Tesla 3/Y/X/S - Lifting Jack Pucks for Tesla ...
desertcart.in
APPLE iPhone 12 ( 64 GB GB Storage, 0 GB RAM ) Online at Best Price On ...
flipkart.com
Buy Teflon 3.5 mm Stereo Audio Male to 2 RCA Male Cable 1.5 Meter for ...
amazon.in
Labzhangaluminium Oxide Lab Jack Scissor Stand Platform Lab Lift Stand ...
desertcart.in
Fillable Online JACK INSPECTION REPORT - Cumberland Maine Fax Email ...
pdffiller.com
VPFET HDMI Audio Extractor Splitter 4K 3.5mm Adapter Converter with AUX ...
amazon.in
Buy Apple Watch Series 10 GPS + Cellular, 46mm Rose Gold Aluminium Case ...
apple.com
Buy NBJINGYI Adjustable Trailer Jack Base feet Jack Stand Drop Leg with ...
desertcart.in
Spurtar Tesla Jack Pad Car Jack Stand Pads Lift Point Pad Adapter Tool ...
desertcart.in
Buy Apextreme Jack Stand 3 Ton Capacity Steel, 1 Pair Red Jack Stands ...
ubuy.co.in
Buy NBJINGYI Adjustable Trailer Jack Base feet Jack Stand Drop Leg with ...
desertcart.in
How to Set Up Standby Mode on Your iPhone
techlusive.in
Recipes | Jack Daniel's
jackdaniels.com
Buy Rustark 4 Pack Jack Pad Universal Slotted Frame Rail Protector ...
desertcart.in
Spurtar Tesla Jack Pad Car Jack Stand Pads Lift Point Pad Adapter Tool ...
desertcart.in
Buy AnkerMagSafe Charger Stand, Wireless Charger, 3-in-1 Cube, 15W ...
desertcart.in
Buy Huini 3 Ton Trolley Jack Stand + 2 Tonne Hydraulic Floor Jack Lift ...
desertcart.in
Buy Motorcycle Lift Stand Moto Removable Panel Stand for Maintenance ...
desertcart.in
Buy Stainless Steel Lab Jack Scissor Stand Platform 8" x 8" Online at ...
ubuy.co.in
Apple introduces iPhone XR - Apple (IN)
apple.com
Apple iPhone 17 Might Ditch The 'Plus' Model For Sleeker 'Air' Variant ...
in.mashable.com
Buy 3-Ton Low Profile Floor Jack with Quick Lift and Jack Stand Pair ...
ubuy.co.in
Spurtar Tesla Jack Pad Car Jack Stand Pads Lift Point Pad Adapter Tool ...
desertcart.in
Portable Floor Lectern Podium Stand Height Adjustable Steady Standing ...
desertcart.in
Big Red 1 Pair Torin Steel Jack Stands 3 Ton | Desertcart INDIA
desertcart.in
Buy Lab Jack Stand Table Lift, Lifting Stand 100x100mm / 4''X4'' Lift ...
desertcart.in
Lift Table Lab Scissors Jack Lab Jack Scissor Lift Jack | Desertcart INDIA
desertcart.in
Buy Lift Tables Lab Jack, Aluminium Oxide Lab Jack Stand Table Lift ...
desertcart.in
APPLE iPhone 5s ( 16 GB Storage, 0 GB RAM ) Online at Best Price On ...
flipkart.com
Stream Mr. Lopart Sails Away / Pepe's Agua Fresca Stand Season 3 ...
hotstar.com
Buy CONPEX Electric Car Jack Hydraulic 5Ton Portable Floor Lift Kit ...
desertcart.in
Buy Mytee Products (2 Pack) Semi Trailer Stabilizing Jack Stand 50,000 ...
desertcart.in
Buy VEVOR Motorcycle Jack 1100lbs, Motorcycle Scissor Lift Jack with ...
desertcart.in
Vector differentiation IIM - Innovative Institute of Mathematics ...
studocu.com
Torque: Meaning, Formula, Directions & Applications | AESL
aakash.ac.in
Buy YUUHJUN 2 PCS 6 x 6" Laboratory Lift Stand, 10 KG Stainless Steel ...
desertcart.in
Related Searches
Pinkie Pie Vector
Applejack Front View
MLP Applejack without Hat
Fat Applejack
Applejack Base
Applejack Love
Applejack Sad
Applejack Laugh
Fluttershy Vector
Applejack Fan Art
My Little Pony Applejack Fan Art
Applejack Confused
Eqg Applejack Vector
Applejack Drawing
Equestria Girls Applejack Vector
Applejack Scream
Applejack Screaming
Applejack PNG
Applejack Vector Running
Applejack Human
E-Stories Applejack Vector
Applejack Vector deviantART
Evil Applejack
Applejack Vector Happy
Applejack Sitting
MLP Applejack Filly
Applejack Nervous
MLP Movie Applejack Vector
MLP Applejack Icon
MLP Applejack Cutie Mark
MLP Applejack Cute
MLP Crazy Applejack
Applejack Vector Back
Applejack Character
Applejack Angry Vector
Applejack Shocked
Applejack Smile Vector
MLP:FiM Applejack
Applejack Honesty
Applejack Vector Walking
Applejack Selling Vector
Crystal Applejack
MLP Applejack Agnry Vector
Applejack Scared
Applejack Vector Bipedal
Applejack Cowboy
Applejack Vector Excited Bipedal
Applejack Mad
Applejack Logo
Applejack Stand Vector
Search
×
Search
Loading...
No suggestions found