Find Your Style
Women
Men
Accessories
Search for clothing, brands, styles...
×
Women
Men
Accessories
Bohr Atomic Model Animation
Search
Loading...
No suggestions found
Chemistry Class 12 Structure of Atom - Check Definition, Formulas ...
collegedekho.com
Niels Bohr Atomic Model Theory, Formula, Postulates for Class 11, 12
adda247.com
Bohr’s Model of a Hydrogen Atom – Postulates, Mathematical Forms ...
aakash.ac.in
Bohr’s Atomic Model: What is Bohr’s model of an atom? chemistry Notes ...
chemistrypage.in
Atomic Model- Thomson's Model, Rutherford's Nuclear Model, Bohr's ...
careerpower.in
Bohr’s Atomic Model: What is Bohr’s model of an atom? chemistry Notes ...
chemistrypage.in
Buy Niels Bohr Atom Model Mobile by Flensted - 9-Inches - Steel ...
amazon.in
describe niels bohr atomic model - Brainly.in
brainly.in
Structure Of The Atom Class 9 CBSE Notes | Chapter 4
reliableeducationgroups.in
Iron Man Actor Death O Que Você Sabe Sobre O Ferro?
gotango.iservice.co.in
draw a diagram of bohrs model of an atom showing four energy shells ...
brainly.in
Bohr atom model of aluminium - Brainly.in
brainly.in
Models of the Hydrogen Atom - Quantum Mechanics | Hydrogen Atom | Bohr ...
elearn.psgcas.ac.in
Niels Bohr Atomic Model Theory, Formula, Postulates for Class 11, 12
adda247.com
Bohr's Model and Electron distribution or Electronic configuration ...
yaclass.in
What were the drawbacks of Bohr's atomic model? Explain. - Brainly.in
brainly.in
help me with this question please. thank you. - Brainly.in
brainly.in
Buy BOHR MODEL PRACTICE WORKSHEET: LEARN ATOMIC STRUCTURE: BOHR ATOMIC ...
desertcart.in
Draw a sketch of Bohr's model of an atom with three shells. - Brainly.in
brainly.in
Bohr atom model - Rutherford Atom model ####### Rutherford considered ...
studocu.com
Cu Electron Configuration, Copper Electron Configuration Formula ...
adda247.com
what is the bohrs atomic theory explain and give some examples - Brainly.in
brainly.in
A) Describe the main features of Bohr's model of an atom. Draw a neat ...
ask.learncbse.in
what is the bohrs atomic theory explain and give some examples - Brainly.in
brainly.in
Class 12 Physics Project: Bohr's Atomic Model Explained - Studocu
studocu.com
Observations and drawbacks for Bohr's Atomic model - Brainly.in
brainly.in
Bohr atom model - Definition and explanation - Quantum Mechanics - I ...
studocu.com
Atomic Models Information Posters (teacher made) - Twinkl
twinkl.co.in
Class 12 Project: Bohr's Atomic Model Overview and Analysis - Studocu
studocu.com
Bohr Atomic Model - Modern Physics PDF Download
edurev.in
Two main differences between rutherford model and bohr modrl of atom ...
brainly.in
Bohr Atomic Model Project - Class 12 Overview and Analysis - Studocu
studocu.com
compare Thomson's model and Bohr's model - Brainly.in
brainly.in
Atomic Structure: Subatomic Particles and Different Atomic Models
allen.in
Niels Bohr Atomic Model Theory, Formula, Postulates for Class 11, 12
adda247.com
Write postulates of Bohr atomic theory - Brainly.in
brainly.in
The radius of first Bohr orbit of hydrogen atom is 0.529 A - CBSE Class ...
ask.learncbse.in
Quantum model of an atom - Brainly.in
brainly.in
போர் அணு மாதிரி | Bohr atom model | in Tamil
brainkart.in
Bohrs theory of the atom 1913 1923 A cas - 1355-2198(95)00018- Bohr’s ...
studocu.com
Bohrs Atom Model - lecture note - Bohrs Atom Model The Bohr model shows ...
studocu.com
what is the bohrs atomic theory explain and give some examples - Brainly.in
brainly.in
போர் அணு மாதிரி | Bohr atom model | in Tamil
brainkart.in
posulates of bohrs theory of hydrogen atom - Brainly.in
brainly.in
Quantum Theory (Concise Edition) eBook by Niels Bohr, Max Planck, James ...
simonandschuster.co.in
bohr's model of hydrogen atom and its limitations - Brainly.in
brainly.in
in Bohr atom model when principal quantum number n increases velocity ...
brainly.in
போர் அணுமாதிரி | Bohr atom model | in Tamil
brainkart.in
Write the postulates of bohr' model of atomic - Brainly.in
brainly.in
போர் அணு மாதிரி | Bohr atom model | in Tamil
brainkart.in
jan 1, 1990 - Max Planck (Timeline)
time.graphics
write the postulate of Bohr theory - Brainly.in
brainly.in
The radius of first bohr orbit of hydrogen atom is 0.529 a0. Calculate ...
brainly.in
போர் அணுமாதிரி | Bohr atom model | in Tamil
brainkart.in
போர் அணு மாதிரி | Bohr atom model | in Tamil
brainkart.in
Buy Atomic Theory and the Description of Nature: 1 (Philosophical ...
amazon.in
postulate of bohr atomic model - Brainly.in
brainly.in
Niels Bohr Atomic Model Theory, Formula, Postulates for Class 11, 12
adda247.com
describe bohrs model of atom - Brainly.in
brainly.in
போர் அணு மாதிரி | Bohr atom model | in Tamil
brainkart.in
Make a static atomic model displaying electronic configuration of the ...
brainly.in
Atomic structure - Chemistry for Grade 10 PDF Download
edurev.in
Physics project class 12 bohrs atomic model - Postulates of Bohr Model ...
studocu.com
Draw Bohr Atom Model for the first 20 elements of the modern periodic ...
brainly.in
Physics project class 12 bohrs atomic model - Postulates of Bohr Model ...
studocu.com
போர் அணு மாதிரி | Bohr atom model | in Tamil
brainkart.in
Physics project class 12 bohrs atomic model - Postulates of Bohr Model ...
studocu.com
Bohrs Atom Model - lecture note - Bohrs Atom Model The Bohr model shows ...
studocu.com
போர் அணு மாதிரி | Bohr atom model | in Tamil
brainkart.in
Application of bohr atomic theory - Brainly.in
brainly.in
போர் அணு மாதிரி | Bohr atom model | in Tamil
brainkart.in
போர் அணு மாதிரி | Bohr atom model | in Tamil
brainkart.in
In bohrs model, the atomic radius of the first orbit is r0; then the ...
brainly.in
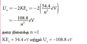
The electric potential between a proton and an electron is given as U ...
edurev.in
according to bohr atomic theory which of the following is true - Brainly.in
brainly.in
போர் அணு மாதிரி | Bohr atom model | in Tamil
brainkart.in
Rutherford Atomic Model- Experiment, Diagram, Limitations
adda247.com
The Atom And The Bohr Theory of Its Structure eBook : Holst, Helge ...
amazon.in
Defect of bohr atomic model - Brainly.in
brainly.in
Atomic Theory Timeline Worksheet Answers - Beyond Secondary
twinkl.co.in
postulate of bohr atomic model - Brainly.in
brainly.in
Niels Bohr Atomic Model Theory, Formula, Postulates for Class 11, 12
adda247.com
Write 2 postulates of bohrs atomic model - Brainly.in
brainly.in
write short notes on the following: (1) thomson's atomic model (2 ...
brainly.in
28 g [tex]N_{2}[/tex] mixed with 12g [tex]H_{2}[/tex] to form [tex]NH ...
brainly.in
Kendriya Vidyalaya Naya Raipur - Raipur Study Materials - Studocu
studocu.com
Niels Bohr: Atomic Theorist (Makers of Modern Science) eBook ...
amazon.in
describe bohrs model of atom - Brainly.in
brainly.in
Label Parts of the Atom Worksheet (teacher made) - Twinkl
twinkl.co.in
State Bohr's postulate to overcome the drawbacks of Rutherford's model ...
brainly.in
Show that the circumference of bohrs model for h - atom is an integral ...
brainly.in
Spectroscopy Notes - Spectroscopy Spectroscopy is the study of the ...
studocu.com
What is Dalton Atomic Theory, डाल्टन का परमाणु सिद्धांत क्या है?
rvseducation.in
Atomic Number and Mass Number, Isotopes and Isobars - Chemistry Class ...
edurev.in
Application of bohr atomic theory - Brainly.in
brainly.in
Write any 3 postulates of Bohr's Model and Also write Limitation of ...
brainly.in
Defect of bohr atomic model - Brainly.in
brainly.in
Moseley's Law: Statement, Analysis, Derivation, Application and ...
collegesearch.in
Niels bohr atomic theory - Brainly.in
brainly.in
Rotational spectroscopy - Atomic and molecular spectroscopy - Studocu
studocu.com
write short notes on the following: (1) thomson's atomic model (2 ...
brainly.in
Atomic structure: Thomson's Model — lesson. Science CBSE, Class 9.
yaclass.in
Planck's Constant Value, Unit, Formula, Symbol
adda247.com
bohr's model of hydrogen atom and its limitations - Brainly.in
brainly.in
[Answered] merits and demerits of bohr atom model - Brainly.in
brainly.in
Xii physics-project refractive index of water and oil using equiconvex ...
studocu.com
what are the postulates of bohr' s atomic model - Brainly.in
brainly.in
Types of Atomic Models
worldscienceassociation.in
postulates of bohrs atomic theory? - Brainly.in
brainly.in
Physicsplus: Questions on Bohr Atom Model
physicsplus.in
Buy ESSAYS 1933-1957 ON ATOMIC PHYSICS AND HUMAN KNOWLEDGE ...
amazon.in
1. An element Y has its first 2 shells completely filled and the 3rd ...
brainly.in
Werner Heisenberg made his quantum mechanical model (1 ene 1925 año ...
time.graphics
using bohrs atomic model derive expression fr calculating radius of ...
brainly.in
Evolution of atomic theory — lesson. Science State Board, Class 7.
yaclass.in
JUSTICE BASHEER AHMED SAYEED COLLEGE FOR WOMEN
jbascollege.edu.in
[Answered] merits and demerits of bohr atom model - Brainly.in
brainly.in
Mouth animation talking Images - Free Download on Freepik
freepik.com
Work energy power - F FSinθ F θ FCosθ WORK ENERGY AND POWER WORK ...
studocu.com
What do mean by Pure in chemistry - Brainly.in
brainly.in
Related Searches
Bohr's Model of Atom
Chemistry Bohr Model
Carbon Atom Bohr Model
Oxygen Atom Bohr Model
Bohr Atomic Structure
Animated Atom Models
Bohr Model Hydrogen Atom
Bohr Model Orbitals
Bohr Model Project
Atom Animation
Diagram of Bohr Atom Model
Bohr Model of Lithium Atom
Nitrogen Atom Bohr Model
Bohr Model Energy Levels
Sodium Atom Bohr Model
Be Bohr Model
Bohr Atomic Theory Model
Niels Bohr Model of Atom
Bohr Model Labeled
Bohr Model of Chlorine Atom
Bohr Model Nucleus
Aluminum Atom Model
Bohr Radius
Bohr Model Cartoon
Neil Bohr's Model
Fluorine Atom Bohr Model
Solar System Atomic Model
Bohr Model Examples
Bohr Atomic Model Postulates
Rutherford vs Bohr Model
Silicon Atom Model
Bohr Electron Model
Neutral Atom Bohr Model
Bohr Planetary Model
Calcium Atom Model
Bohr Model Helium Atom
Boron Bohr Model Diagram
Bohr Atomic Experiment
Search
×
Search
Loading...
No suggestions found