Find Your Style
Women
Men
Accessories
Search for clothing, brands, styles...
×
Women
Men
Accessories
Bplus H2
Search
Loading...
No suggestions found
LIVE From Kawasaki Ninja H2 India Launch; Price – INR 29 Lacs » Car ...
carblogindia.com
LIVE From Kawasaki Ninja H2 India Launch; Price – INR 29 Lacs » Car ...
carblogindia.com
ROX Hi-Tech Reports H2 FY25 Consolidated Revenue of INR 190.14 Cr ...
logicalindia.in
Kawasaki Z H2 Specs & Features, Configurations, Dimensions
dhirkawasaki.in
2024 In Recap: 15 Best International Premium Bike Launches In India ...
timesnownews.com
3D model Racing Truck Gaussin H2 Simple Interior Rigged for Maya | 3D ...
3dmolier.com
Krafton India unveils BGMI Showdown and BGMI International Cup
insidesport.in
Care Edge Ratings’ Credit Ratio Strengthens in H2 FY25
constructionworld.in
Buy Nrpfell Motorcycle Winglet Aerodynamic Wing Kit Spoiler Fairing for ...
ubuy.co.in
3D model Racing Truck Gaussin H2 Simple Interior Rigged for Maya | 3D ...
3dmolier.com
Buy Nutrolin B Plus, 15 Capsules Online : ClickOnCare.com
clickoncare.com
Nagaland State Lottery Result: July 16, 2025, 7 PM Live - Watch ...
freepressjournal.in
Reduction of Nitriles – Nitriles, Isonitriles, Their Properties ...
aakash.ac.in
3D model Racing Truck Gaussin H2 Simple Interior Rigged for Maya | 3D ...
3dmolier.com
BNSF H2 Dash 8-40CW - Train Sim Community
trainsimcommunity.com
Materac EMBRO sprężynowo-lateksowy Silver Plus H2 90x200 | home&you
home-you.com
Buy Keyless Entry Remote Key Fob Replacement Fits for 2003-2007 Chevy ...
ubuy.co.in
MS Dhoni Buys Ninja H2: Captain Cool Dhoni gifts himself a spanking new ...
india.com
Change in Electrical/Mechanical Properties of Plasma Polymerized Low ...
mdpi.com
Shower Systems - Buy Shower Systems Online at Best Prices In India ...
flipkart.com
H2 INTERNATIONAL BAR 2025 NEW YEARS EVE COUNT DOWN PARTY, H2 ...
allevents.in
Tpu Key Case Suitable For Haval H6/M6, Haval H2/Great Wall Haval F7 ...
sg.shein.com
akasa air: Akasa Air to fly on International routes by H2 2023, says ...
economictimes.indiatimes.com
Change in Electrical/Mechanical Properties of Plasma Polymerized Low ...
mdpi.com
how to balance it N2+H2=NH3 - Brainly.in
brainly.in
Doxinate Plus Tablet: Relief from Morning Sickness and Nausea
truemeds.in
Vitab-Plus - Strip of 10 Tablets : Amazon.in: Health & Personal Care
amazon.in
Wanderlust Wanderer
gowanderlust.in
BNSF H2 Dash 8-40CW - Train Sim Community
trainsimcommunity.com
Hydrogen | A Linde Company
linde-engineering.com
22. the enthalpy of atomization of h2(g) [1/2h2(g) +h(g) ]is 218 kj/mol ...
brainly.in
H2, P2, B2 Full Form - What is the full form of h2, p2, b2?
careers360.com
How will you convert benzene into (a) p-nitrobromobenzene (b) m ...
allen.in
3D model Racing Truck Gaussin H2 Simple Interior Rigged for Maya | 3D ...
3dmolier.com
3D Racing Truck Gaussin H2 Simple Interior Rigged | 3D Molier International
3dmolier.com
Issues with Green Hydrogen
currentaffairs.adda247.com
zn2+h2so4 - znso4 +H2 - Brainly.in
brainly.in
Solved: Pregunta 2 La siguiente ecuación representa la reacción química ...
gauthmath.com
虹科新闻 | 虹科与b-plus正式建立合作伙伴关系,共同致力于用于ADAS/AD系统开发的V&V测量解决方案-电子工程专辑
eet-china.com
KRAFTON India Unveils Two Flagship Esports IPs: "BGMI Showdown" and ...
aninews.in
B850 GAMING PLUS WIFI | Gaming Motherboards|Best Motherboard for AI PC|MSI
es.msi.com
A ball takes t second to fall from the height h1 and 2t second to fall ...
brainly.in
A ball takes t second to fall from the height h1 and 2t second to fall ...
brainly.in
The Best Deodorants For Men Under Rs 300 That Will Make You The Best ...
mensxp.com
Which of these is the incorrect heading order? * 1 point h1, h1, h2, h3 ...
brainly.in
Question 7.34 The reaction, CO(g) + 3H2(g)CH4(g) + H2O(g) is at ...
brainly.in
Apple ला रहा iPhone 15 Pro, Dark Red एडिशन हो सकता है लॉन्च-Apple Could ...
techlusive.in
Buy Nutrolin B Plus, 15 Capsules Online : ClickOnCare.com
clickoncare.com
Achetez OM | OM-D En ligne | OM SYSTEM France
explore.omsystem.com
the velocity v of a particle depends upon time 'T' According to the ...
brainly.in
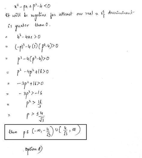
Find the set of values of p, for which x² - px + p²-4
brainly.in
Bourse Chevening au Royaume-Uni 2023/2024 ☆ ANAPEC Jobs
anapecjobs.com
Exotic Car Collection of Dr Dre – Ferrari, Rolls Royce & More! » Car ...
carblogindia.com
Related Searches
โปรแกรม Bplus
Disoplan Bplus
Bplus Logo
Server Bplus
Bplus Loan
Bplus บัญชี
Bplus Scale
Bplus Photography
Bplus Payroll Logo
Bplus Account
Bplus HRM
Bplus H2
Bplus Podcast
B Pluse
Whas a B-plus
Bplus Art
Cdmed Bplus
Ascard Bplus
Bplus Supermarket
Bplus T2M
Bplus Contact Number
Bplus Payslip
Bplus GmbH PNG
Cetrivax Bplus
Bplus Co. Location Logo
Bplus Fixatie
Bplus Tree Database
Bplus MDI
โปรแกรม Bplus คือ
Bplus Accounting Software
Bplus Sheeyer
Reenovara Bplus
Bplus High Back Range
Bplus Asset Mobile Checking
Bplus Additive Vape
Bplus ERP
Bplus Lever Funnel
Card That Says Bplus A
Copylynx by Bplus
Bplus Balance France
Bplus Maldives Pvt.Ltd
J Plus B
Ascroll Bplus Serup
Buiness Plus
B Plus Coffee
Be Online Plus
Ел Везна Mettler-Toledo Bplus Ленти
Beplus Consultancy
My B Plus
Bplus Bench
Search
×
Search
Loading...
No suggestions found