Find Your Style
Women
Men
Accessories
Search for clothing, brands, styles...
×
Women
Men
Accessories
Brothership The Conductor
Search
Loading...
No suggestions found
BFI announces INR 75K per month for top 20 hoopsters in the country
thebridge.in
Your Partner for Home INR Monitoring Services and Supplies | mdINR®
mdinr.com
Ugro Capital Crosses Inr 10000 crore aum milestone launches 10k ...
psuconnect.in
Slideshow: Mario & Luigi: Brothership – 34 New Screenshots From June ...
in.ign.com
'Mario & Luigi: Brothership' Review: Good Combat And Great Visuals Aren ...
in.mashable.com
Mario & Luigi: Brothership - Official Launch Trailer
in.ign.com
Mario & Luigi: Brothership - Official Overview Trailer
in.ign.com
Mario & Luigi: Brothership – The Final Preview
in.ign.com
The Brothership with Jeremy Falk and Nick Johnson, The Center SF, San ...
allevents.in
Mario & Luigi: Brothership - Official 'Enjoying the Action in Concordia ...
nl.ign.com
Mario & Luigi: Brothership – The Final Preview
in.ign.com
Mario & Luigi: Brothership - Official Overview Trailer
in.ign.com
Mario & Luigi: Brothership – The Final Preview
in.ign.com
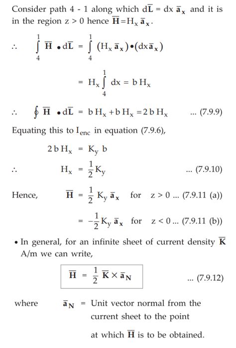
Applications of Ampere's Circuital Law - to obtain magnetic field intensity
eee.poriyaan.in
Mario & Luigi: Brothership - Official Announcement Trailer | Nintendo ...
in.ign.com
Mario & Luigi: Brothership – The Final Preview
in.ign.com
Applications of Ampere's Circuital Law - to obtain magnetic field intensity
eee.poriyaan.in
Applications of Ampere's Circuital Law - to obtain magnetic field intensity
eee.poriyaan.in
Mario & Luigi: Brothership - Official Overview Trailer
in.ign.com
Mario & Luigi: Brothership - Official Overview Trailer
in.ign.com
Man Claims He Was 'Slapped' By Bus Conductor In Bengaluru Over Ticket ...
freepressjournal.in
Top 10 Strongest Currencies in the World in 2025 (Highest Valued in INR)
currentaffairs.adda247.com
Buy Cables Direct Online RG6 Coaxial Cable Dual Shield Bulk, 18 Gauge ...
desertcart.in
Electrical Corona Effect | Explained - TheElectricalGuy
theelectricalguy.in
Ola Electric announces ‘Electric Rush’ offers with benefits of up to ...
businessminutes.in
Numerical Simulation Analysis on the Lateral Dynamic Characteristics of ...
mdpi.com
Methods of Arrangement of Conductors
eee.poriyaan.in
jmv.co.in
jmv.co.in
EchoSounder and Log
thenauticalsite.in
Variation of current and voltage in a conductor is shown in the ...
allen.in
Methods of Arrangement of Conductors
eee.poriyaan.in
Investigating and Improving Student Understanding of Conductors and ...
mdpi.com
Relation between current in a conductor and time is shown in fig. If ...
allen.in
Electrical Conductor Or Insulator Sorting Activity
twinkl.co.in
Live Music with Dan Jeslis at Brothership Brewing, 18781 S 90th Ave ...
allevents.in
Star and Delta Connection - Explained - TheElectricalGuy
theelectricalguy.in
Electrical Conductors and Insulators Display Poster
twinkl.co.in
Concept Explanation
abhyasonline.in
Vibrations of Conductors and Damper - Aeoline Vibrations - Galloping of ...
eee.poriyaan.in
The Conductor : Kennealy, Jerry: Amazon.in: Books
amazon.in
The resistance of a conductor of diameter 'd' and length 'l' is R Ω. If ...
prepp.in
`E` denotes electric field in a uniform conductor, `I` corresponding ...
allen.in
In the figure shown below, a conductor consists of seven identical ...
edurev.in
Administration of Warfarin Inhibits the Development of Cerulein-Induced ...
mdpi.com
Applications of Ampere's Circuital Law - to obtain magnetic field intensity
eee.poriyaan.in
SAMSUNG QN50LS03BA 50 The Frame QLED 4K UHD Quantum India | Ubuy
ubuy.co.in
Star and Delta Connection - Explained - TheElectricalGuy
theelectricalguy.in
Bus conductor slaps passenger for requesting ticket in Ajmer: Driver ...
bhaskarenglish.in
Anticoagulant Drug - ENOXAPARIN 60MG / 0.6ML NJECTION Manufacturer from ...
centurionhealth.in
State the rule to determine the direction of a (i) magnetic field ...
ask.learncbse.in
How to identify materials - Year 5 Science PDF Download
edurev.in
Women to the fore at Proms as 15 take the conductor's baton for 2025 ...
magzter.com
Three very long straight current carrying conductors are placed ...
allen.in
CAN Bus Basics | DigiKey
digikey.in
Buy Zarivy 50 Feet 14 Gauge 2 Conductors Red Black Wire with Fire ...
ubuy.co.in
T/TEE-Clamp/Connector (ACSR Conductor to ACSR Conductor)-Single-Twin,
voltampz.com
Obtain an expression for the force between two straight parallel ...
allen.in
Bus conductor slaps passenger for requesting ticket in Ajmer: Driver ...
bhaskarenglish.in
Free BCS-041 Fundamentals of Computer Networks Revision Notes || IV ...
knowledgeknot.desync.in
Applications of Ampere's Circuital Law - to obtain magnetic field intensity
eee.poriyaan.in
TheMastHead
themasthead.in
India and Malaysia can now trade in Indian rupee
currentaffairs.adda247.com
(a) A conductor A with a cavity as shown in Fig, is given a charge Q ...
allen.in
The sketch below show cross section so equipotential surfaces between ...
allen.in
Numerical Simulation of Galloping Characteristics of Multi-Span Iced ...
mdpi.com
conclusion
olabs.edu.in
Two parallel long straight conductors lie on a smooth plane surface ...
allen.in
Bus conductor slaps passenger for requesting ticket in Ajmer: Driver ...
bhaskarenglish.in
Conductors and Insulators Animation | Twinkl Go!
twinkl.co.in
Magnetic field due to a current through a straight conductor — lesson ...
yaclass.in
Four concentric hollow spheres of radii R, 2R, 3R, and 4R are given the ...
allen.in
Radius of a conductor increases uniformly from left end to right end as ...
allen.in
Semiconductor
iasgyan.in
Rajinikanth arrives at the depot where he himself was once the conductor
divyabhaskar.co.in
Fig. 9.26 below shows two conductors A and B. Their charges and ...
allen.in
Charge on an originally uncharged conductor is separated by holding a ...
allen.in
Aluminium Conductor Steel Reinforced Manufacturer, Supplier from Kolkata
nirmalwires.in
Two long straight parallel conductors carrying currents I1 and I2 are ...
brainly.in
Comparison of Material: Conductors, Semiconductor and Insulators
cse.poriyaan.in
Applications of Ampere's Circuital Law - to obtain magnetic field intensity
eee.poriyaan.in
Mastering Design Balance: Unveiling Visual Harmony, Principles, and ...
animationcoursesahmedabad.com
draw a graph voltage ¤t and exaplain what is ohmic conductors. - Brainly.in
brainly.in
A cylinderical conductor of radius R is carrying constant current. The ...
allen.in
A coaxial cable consists of a thin inner current carrying conductor ...
toppr.com
Electrodes made from bread could replace metal conductors - ScienceX ...
news.sciencex.in
Two semi infinitely long straight current carrying conductors are held ...
allen.in
A wire of length l has a resistance R. If half of the length is ...
allen.in
Drift Velocity Formula: Characterization, Net Velocity of Electron, How ...
collegesearch.in
Street Triple 765 R Model | For the Ride
triumphmotorcycles.in
Tata Power: Step Change in Safety Intervention
tatabex.com
LA DEL PROCESO - Kris R. - LETRAS.COM
letras.com
Conductor loses cash, ticket bundles at timekeeper’s office
dtnext.in
The Honcho In Wires, Cables, Conductors And Security Solutions ...
magzter.com
In a coaxial cable, the radius of the inner conductor is 2 mm and that ...
scoop.eduncle.com
Magnetic Field due to Infinite Straight Conductor Class 12, NEET
esaral.com
Electric Conductors Worksheets
twinkl.co.in
The sketch below shows cross-sections of equipotential surface between ...
allen.in
Intelligence Agencies Grill Engineering Student In Prayagraj Who ...
thenewsagency.in
Applications of Ampere's Circuital Law - to obtain magnetic field intensity
eee.poriyaan.in
A capacitor of 4 µ F is connected as shown in the circuit (Figure). The ...
shaalaa.com
Two semi infinitely long straight current carrying conductors are held ...
allen.in
Current Unit, Ohm’s Law Formula, Power & Ammeter - Physics - Aakash | AESL
aakash.ac.in
What is Resistance? | Fluke
fluke.com
Substation Equipments
balajiengineers.in
Nonelectrolytes- Nonelectrolytes, Examples, Electrolytes and ...
aakash.ac.in
In the given arrangement, the space between a pair of co-axial ...
allen.in
A loop is formed by two parallel conductors connected by a solenoid ...
allen.in
Buy The Blended Series: Conductors Score Book Online at Low Prices in ...
amazon.in
Conductors Accessories - PPIS Pvt
ppis.in
Conductors and Insulators Display Poster - Australia
twinkl.co.in
Cable routing and cable protection | Phoenix Contact
phoenixcontact.com
An infinitely long straight conductor is bent into the shape as shown ...
brainly.in
The following diagram shows two parallel straight conductors ...
brainly.in
Portada de The Undertakers – Fantástica – Ficción
fantasticaficcion.com
Pushbutton Switches | Electronic Components Distributor DigiKey
digikey.in
Inductance of a Conductor - Internal - External Flux
eee.poriyaan.in
Insulation Resistance Testing from Cole-Parmer India
coleparmer.in
Asseration: A point charge `q` is placed at centre of spherical cavity ...
allen.in
Two mutually perpendicular infinitely long straight conductors carry in ...
tardigrade.in
Which of the following graphs shows the variation of electric field E ...
brainly.in
Related Searches
Mario/Luigi Brothership
Brothership Logo
Mario and Luigi Brothership Art
Bro Bomb Brothership
Mario Brothership Renders
Mario and Luigi Brothership Wallpaper
Toad Brothership
Brothership Background
Mario and Luigi Brothership Logo.png
IGN Mario and Luigi Brothership
Mario and Luigi Brothership Bosses
Mario/Luigi Brothership Style
Mario and Luigi Brothership Switch
Mario and Luigi Brothership Fan Art
Reclusa Brothership Fan Art
Mario and Luigi Brothership Luigi Render
Brothership Script Font
Mario Brothership Model
Brothership Technikki
Mario and Luigi Brothership NSP
Mario and Luigi Brothership Islands
Willma Brothership
Brothership Luigi Logic
Brothership Glass
Brothership Gsme Icon
Twistee Tree Brothership
Mario and Luigi Brothership Buddy
Wilma Brothership
Pure Hearts Brothership
Brothership the Conductor
Brothership Hertford
Ori the Collection Mario and Luigi Brothership
Brothership Luigi Expressions
Brothership Studio Hertford
Dyode Brothership
Brothership Logo Pure Heart
Wattpad Brothership Crazy
Pictures for Friendhip Brothership
Concordia United Brothership
IGN Brothership Paause Menu
Brothership Vintage Script
Original Mario and Mario Brothership
Mario and Luigi Brothership Weeping Core
Billdit Brothership
Brothership Hertford Wendy
Concordia Whole Brothership
Brothership SFX
Mario and Luigi Brothership Switch 2
Mario and Luigi Brothership Game Switch
Mario and Luigi Brothership Mario and Luigi Glohmed
Search
×
Search
Loading...
No suggestions found