Find Your Style
Women
Men
Accessories
Search for clothing, brands, styles...
×
Women
Men
Accessories
Capacitive Load Ra Example
Search
Loading...
No suggestions found
What is Power Factor and Why is it important? - Mango Engineer
mangoengineer.in
Active, Reactive & Apparent Power | Easiest Explanation - TheElectricalGuy
theelectricalguy.in
Types of Electrical Load | Resistive, Inductive & Capacitive Load ...
theelectricalguy.in
R-L-C Circuit Analysis
vlabs.iitkgp.ac.in
All Tutorials - TheElectricalGuy
theelectricalguy.in
undefined
se.com
3 phase half wave rectifier with R load..alpha less or equal to 60 ...
brainly.in
Design and Analysis of Three-Stage Amplifier for Driving pF-to-nF ...
mdpi.com
Design and Analysis of Three-Stage Amplifier for Driving pF-to-nF ...
mdpi.com
Virtual Labs
pe-iitr.vlabs.ac.in
Design and Analysis of Three-Stage Amplifier for Driving pF-to-nF ...
mdpi.com
Draw graph showing the variation of inductive reactance and capacitive ...
brainly.in
Capacitance of Three Phase Double Circuit with Unsymmetrical Spacing ...
eee.poriyaan.in
[INDUCTIVE LOAD THREE PHASE 6A CAPACITIVE LOAD THREE PHASE 6A ...
gexin.in
Virtual Labs
pe-iitr.vlabs.ac.in
Virtual Labs
pe-iitr.vlabs.ac.in
A Compact Operational Amplifier with Load-Insensitive Stability ...
mdpi.com
- Calculate the support reactions RA and RB for the beam shown below ...
brainly.in
Virtual Labs
sl-coep.vlabs.ac.in
LabVolt Series by Festo Didactic - Resistive Load, 2 kW (8509-05)
labvolt.festo.com
Design and Analysis of Three-Stage Amplifier for Driving pF-to-nF ...
mdpi.com
Worked examples - Balanced star, delta connected load | Three phase ...
eee.poriyaan.in
Phasor Diagrams for Transformer on Load - Single Phase Transformer
eee.poriyaan.in
Phasor Diagrams for Transformer on Load - Single Phase Transformer
eee.poriyaan.in
Design and Analysis of Three-Stage Amplifier for Driving pF-to-nF ...
mdpi.com
Virtual Labs
pe-iitr.vlabs.ac.in
Design and Analysis of Three-Stage Amplifier for Driving pF-to-nF ...
mdpi.com
Phasor Diagrams for Transformer on Load - Single Phase Transformer
eee.poriyaan.in
Nameplate details of Capacitive Voltage Transformer (CVT) | Explained ...
theelectricalguy.in
21. two long hollow co-axial conducting cylinders of radii ri and r2 (ri
scoop.eduncle.com
Proximity sensors
flyrobo.in
Worked examples - Balanced star, delta connected load | Three phase ...
eee.poriyaan.in
HT Acb and Vcb Manufacturers, Suppliers in India
abctransformers.in
What is a diesel generator with capacitive load
eastsupplier.in
AFM-Based Characterization Method of Capacitive MEMS Pressure Sensors ...
mdpi.com
Single Tuned Capacitive Coupled Amplifier
eee.poriyaan.in
derive expression for the capacitance when capacitor connected in ...
brainly.in
Worked examples - Balanced star, delta connected load | Three phase ...
eee.poriyaan.in
Nameplate Details of Current Transformer | Explained - TheElectricalGuy
theelectricalguy.in
FDC1004 4-Channel Capacitance-to-Digital Converter - TI | Mouser
mouser.in
Activity: Current Sensing, Difference Amplifiers, For ADALM1000 [Analog ...
wiki.analog.com
Buy Osteoarthritis Unloader Adjustable Hinged ROM Control Knee Brace ...
ubuy.co.in
Worked examples - Balanced star, delta connected load | Three phase ...
eee.poriyaan.in
What is a diesel generator with capacitive load
eastsupplier.in
Electric Circuits Laboratory, KPR Institute Engineering and Technology ...
kpriet.ac.in
Buy Osteoarthritis Unloader Adjustable Hinged ROM Control Knee Brace ...
ubuy.co.in
Single Tuned Capacitive Coupled Amplifier
eee.poriyaan.in
Buy Osteoarthritis Unloader Adjustable Hinged ROM Control Knee Brace ...
ubuy.co.in
126xxx Series AC Resistive + Inductive + Capacitive Load Banks | VSOFT ...
vsofttech.in
SPSS Interpretations - Multiple Regression - Model Summary Model R R ...
studocu.com
Buy Osteoarthritis Unloader Adjustable Hinged ROM Control Knee Brace ...
ubuy.co.in
Phasor Diagrams for Transformer on Load - Single Phase Transformer
eee.poriyaan.in
Arduino Capacitive Sensor
aeq-web.com
Define 1)Inductive reactance 2)Capacitive reactance3)Impidance - Brainly.in
brainly.in
Renesas RA Family MCUs Target Secure IoT - EE Times India
eetindia.co.in
Virtual Labs
pe-iitr.vlabs.ac.in
9.17. Draw and explain phasor diagram for voltageand current in a ...
brainly.in
R-L-C Circuit Analysis
vlabs.iitkgp.ac.in
Capacitive Load Bank Tester at Best Price in New Delhi, Capacitive Load ...
denko.net.in
Top 15 IoT Sensor Types, Uses, and Applications – Robocraze
robocraze.com
Capacitive Touch Panels Manufacturing Process Insight, 51% OFF
iiitl.ac.in
Phase Sequence | Explained - TheElectricalGuy
theelectricalguy.in
Capacitive Soil Moisture Sensor (Corrosion Resistant) - ThinkRobotics ...
thinkrobotics.com
Ra 9165 - Fill Online, Printable, Fillable, Blank | pdfFiller
pdffiller.com
Probots 4 X 4 Capacitive Touch Keypad TTP229 for Arduino Raspberry Pi ...
probots.co.in
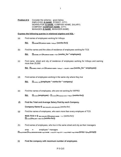
RA Example - 1 Problem # 4 Consider the schema:- given below, EMPLOYEE ...
studocu.com
Special Operations Command Soldiers test RA-1 Double Bag Static Line ...
army.mil
EK-RA4M1 Evaluation Kit for RA4M1 MCU Group - Renesas | Mouser
mouser.in
A-01/C-01/T-01
iete-elan.ac.in
Arduino Tutorials – RoboHUB
robohub.in
Proximity sensors
flyrobo.in
Ra Form - Fill Online, Printable, Fillable, Blank | pdfFiller
pdffiller.com
Fillable Online RETURN AUTHORIZATION (RA) FORM - DuPont Fax Email Print ...
pdffiller.com
A Guide to Using the Capacitive Soil Moisture Sensor V2.0
flyrobo.in
Load Bank Manufacturers In Pune Mumbai India, Suppliers & Exporters
load-bank.co.in
Balanced star connected load - Three phase circuits
eee.poriyaan.in
A series R-C combination is connected to an AC voltage of angular ...
tardigrade.in
Meta-Analysis Suggests Benefit of Electroacupuncture in Acute Gouty ...
medicaldialogues.in
CJMCU-122 Capacitive Touch Keypad Module - ThinkRobotics ...
thinkrobotics.com
Waveshare Displays - Waveshare 13.3 inch Capacitive Touch Screen ...
rajguruelectronics.in
Building Load Calculation | Load Calculation for Multi Storey Building
constructioncivilengineering.com
Global Capacitive Touch Screen Market Research Report| Know Covid-19 ...
teletype.in
TTP224 4 Channel Capacitive Touch Sensor Module – Robocraze
robocraze.com
Compression load cell - BR200S - BAYKON Industrial Weighing Systems ...
directindustry.com
Capacitive Soil Moisture Sensor V2.0
makerbazar.in
Buy Osteoarthritis Unloader Adjustable Hinged ROM Control Knee Brace ...
ubuy.co.in
7 Inch HDMI Capacitive Touch Screen LCD – 1024x600 – Robocraze
robocraze.com
PTPN1 antibody (85905-1-PBS) | Proteintech
ptglab.com
RED TTP223 1 Channel Capacitive Touch Sensor Module – QuartzComponents
quartzcomponents.com
3kJ/s, 30kV, 200mA CAPACITOR CHARGING POWER SUPPLY
barc.gov.in
Modeling and Control of Air Conditioning Loads for Consuming ...
mdpi.com
Buy TTP223 Capacitive Touch Sensor Module Online – QuartzComponents
quartzcomponents.com
Different Types of Loads | Structure Load | Concept of Structure
civildailyinfo.com
The load-flow solution is always assured in case ofa)Newton-Raphson ...
edurev.in
How Proximity Sensor Works – Robocraze
robocraze.com
Buy 8 channel capacitive touch pad Online in India | Robocraze
robocraze.com
Phase Sequence | Explained - TheElectricalGuy
theelectricalguy.in
Amazon.in: Buy Amazon Basics Capacitive Stylus Pen for iOS and Android ...
amazon.in
Capacitive Soil Moisture Sensor V2.0 – QuartzComponents
quartzcomponents.com
Double-ended shear beam load cell - BY535 - BAYKON Industrial Weighing ...
directindustry.com
Capacitive Soil Moisture Sensor (Corrosion Resistant) - ThinkRobotics ...
thinkrobotics.com
Compression load cell - BR200S - BAYKON Industrial Weighing Systems ...
directindustry.com
Homeopathic Treatment for Low Back Pain, Treatment of Low Back Pain
rajeevclinic.com
JXL 9 Inch Car Android Double Din Player 2GB/32GB Capacitive Touch ...
amazon.in
10.1inch Capacitive Touch Display 1280×800 for Raspberry Pi - IPS, HDM ...
thinkrobotics.com
Compression load cell - BR200S - BAYKON Industrial Weighing Systems ...
directindustry.com
AD-PAARRAY3552R-SL Hardware User Guide [Analog Devices Wiki]
wiki.analog.com
Renesas MCUs Now Feature Capacitive Touch Function - EE Times India
eetindia.co.in
Test du facteur de polyarthrite rhumatoïde (Ra): diagnostic et objectif
medicoverhospitals.in
Compression load cell - BR200S - BAYKON Industrial Weighing Systems ...
directindustry.com
Waveshare 11.6inch HDMI Capacitive Touch Screen LCD 1920×1080 with Cas ...
robocraze.com
capacitance level transmitter I capacitive sensor I Toshbro Controls
toshbrocontrols.com
Stylus Pens - Buy Stylus Pens Online at Best Prices in India.
flipkart.com
Stylus Pens - Buy Stylus Pens Online at Best Prices in India.
flipkart.com
Buy YUNYILAN 2 Pack Wrist Brace Adjustable Wrist Support For Fitness ...
amazon.in
Compression load cell - 0.125 - 250 kN | LBM series - Interface, Inc ...
directindustry.com
ELECROW ESP32 Terminal- 3.5 inch 480×320 SPI TFT capacitive touch disp ...
robocraze.com
7″ Official Raspberry Pi Display with Capacitive Touchscreen ...
quartzcomponents.com
21.5 inch Capacitive Touch Monitor, 1080×1920 Full HD with case ...
thinkrobotics.com
Related Searches
Capacitive Load Cell
Capacitive Circuit
Capacitive Reactance
Resistive Load
Inductive Loads Examples
Capacitive Loads Graph
Types of Electrical Loads
Capacitive Touch Sensor
Capacitive Sensing
Types of Electric Loads
Inductive Load Symbol
Capacitive Proximity Sensor
Load Inductor
Capacitive Pulse Circuit
Capacitance Load Cells
Capacitive Load Capacitors
Surface Capacitive
Automotive Capacitive Load
Capacitive Load Diagram
Capacitive Load Equation
Capacitive Load Practical Examples
Smith Chart
Common Capacitive Load Examples
Power Factor Correction Capacitor
Examples of Capacitive Loads in the Home
Capacitive Power Supply
Capacitor Physics
Crystal Load Capacitor
Capacitive Load Amplifier
Capacitive Load Ra Example
Capacitive Load Triangle
Festo Capacitive Load
Complex Impedance
Purely Resistive AC Circuit
Capacitor Discharge Circuit
Capacitive Load for 50A
Transformer Phasor Diagram
Capacitive Loads Oscillations
Voltage across Capacitor
Capacitance Units
Capacitve Load Circuit
Capacitive 1Kg Load Cell Data Sheet
Series Capacitor Circuit
Capacitive Loads Machines and Appliances Examples
Capacitive Load On Input Pins
Capacitor Series and Parallel
TL072 Capacitive Load
Semiconductor Wire Capacitive Load
Piezoelectric Load Cell
Potential Energy of Capacitor
Search
×
Search
Loading...
No suggestions found