Find Your Style
Women
Men
Accessories
Search for clothing, brands, styles...
×
Women
Men
Accessories
Cardiotocogram Monitor Sample
Search
Loading...
No suggestions found
Micropoint PT INR Meter, Finger Prick Blood Test, Rapid 2 Min Results ...
amazon.in
Alere PT INR Monitoring System – Microsidd India
microsidd.com
Buy PT INR Log Book Printable, Inr Tracker, INR Anticoagulant ...
etsy.com
A5 - Anesthesia Machines - Mindray India
mindray.com
Clinical Insight into Congenital Hypothyroidism Among Children
mdpi.com
Buy Coag-Sense Professional Rapid Test Kit, Blood Coagulation Test ...
ubuy.co.in
Patient Monitoring Devices Market Size, Trends By 2027
alliedmarketresearch.com
KPCM Display ltd Private Property No Trespassing Sign with CCTV - 1mm ...
ubuy.co.in
Frontech 19 inch HD LED Backlit Monitor (MON-0071) Price in India - Buy ...
flipkart.com
Excel Template Schedule vs Dispatch data monitoring – Smart Office ...
smartofficetemplates.myshopify.com
LG 34 (86.36cm) UltraGear™ OLED all-new 800R curved gaming monitor | 21 ...
lg.com
How to Set Up Dual Monitors | Dell India
dell.com
Dell Pro 24 Inch Plus Monitor P2425H - FHD IPS Display | Dell India
dell.com
Amazon.in: Buy Acer 21.5 inch LED Backlit Computer Monitor I IPS Full ...
amazon.in
Samsung Essential Series S3 Flat Monitor 27 Inch (68.6 cm) FHD (1,920 x ...
amazon.in
medical protocol template Doc Template | pdfFiller
pdffiller.com
Assure® Platinum Blood Glucose Monitoring System | Bound Tree
boundtree.com
What is Surface Plasmon Resonance imaging (SPRi)? - HORIBA
horiba.com
Fast Protein Liquid Chromatography | Bio-Rad
bio-rad.com
Method for the Detection of Functional Outliers Applied to Quality ...
mdpi.com
Locate Your Monitor's Service Tag | Dell India
dell.com
Imaging Systems on the Perseverance Mars Rover | Edmund Optics
edmundoptics.in
Method for the Detection of Functional Outliers Applied to Quality ...
mdpi.com
How to get a Sample Process or Spindump | macOS
helpx.adobe.com
Method for the Detection of Functional Outliers Applied to Quality ...
mdpi.com
Method for the Detection of Functional Outliers Applied to Quality ...
mdpi.com
COVID: Karnataka govt to monitor airport, send positive samples to INSACOG
timesofindia.indiatimes.com
Dashboard Studio: Your Dashboards, Now Guest-Friendly | Splunk
splunk.com
Apple unveils new Mac Studio, the most powerful Mac ever - Apple (IN)
apple.com
brigada eskwela committee roles and responsibilities ppt Doc Template ...
pdffiller.com
Buy Monitoring of E.Coli O157: H7 in meat samples by PCR based methods ...
amazon.in
Wireless Temperature Monitor factory, Buy good quality Wireless ...
acrel-electric.co.in
Fillable Online 2010 Preqin Performance Monitor Sample Pages.indd Fax ...
pdffiller.com
Cable Matters USB C to USB C Monitor Cable 6 ft / 1.8m with 4K 60Hz ...
amazon.in
Alienware 34 Inch Curved QD-OLED Gaming Monitor (AW3423DWF) - Computer ...
dell.com
Enable or disable the 'user workload monitoring' from OCM console for ...
access.redhat.com
Buy Self Reflection Paper Sample: Beautiful 12-Month Positive Thoughts ...
desertcart.in
PMP Sample Exam-1 - Part 4 - Monitoring & Controlling (6th Edition ...
amazon.in
Millipore® Filter Membranes
sigmaaldrich.com
Method for the Detection of Functional Outliers Applied to Quality ...
mdpi.com
Amazon.in: Buy acer ED270 X2 27 Inch Full HD 1500 R Curved Gaming ...
amazon.in
Production Monitoring System Software - Soft Designers
softdesigners.co.in
Curved vs Flat Monitor: A New Perspective on Monitor Choice | BenQ India
benq.com
SPSS Interpretations - Multiple Regression - Model Summary Model R R ...
studocu.com
Millipore® Filter Membranes
sigmaaldrich.com
Method for the Detection of Functional Outliers Applied to Quality ...
mdpi.com
PLC Software - Honeywell PLC Software Manufacturer from Chennai
maximaautomation.co.in
What Is Variable Pay in CTC? A Complete Guide for 2025
cheggindia.com
Blood Culture and Sensitivity Report Format | MS Word & Pdf
labsmartlis.com
Fillable Online best-practices ltabc APPENDIX C Sample Monitoring Forms ...
pdffiller.com
Solved: Re: Client Status Report: "Repating", "New" or "L ...
community.fabric.microsoft.com
Performance Monitoring And Coaching Form Downloadable - Fill Online ...
pdffiller.com
Buy Hospital Auditing & Monitoring: Sample Programs for Key Risk Areas ...
amazon.in
publication | NIIST
niist.res.in
Millipore® Filter Membranes
sigmaaldrich.com
ViewSonic Gaming (from USA)- VX2779-HD-PRO Full HD Monitor| Free Sync ...
amazon.in
Inductively Coupled Plasma - Optical Emission Spectrometry
iitr.ac.in
SOP for Nursing: How to Write sample SOP for MSc nursing?
yocket.com
17 best outbound call center software solutions for 2024 - Zendesk
zendesk.com
Maruti dealers and showrooms in Ahmedabad | Kiran Maruti
kiranmotors.co.in
2006 UK NHS Home Oxygen Order Form (HOOF) Fill Online, Printable ...
pdffiller.com
Amazon.in: Buy Acer ED270R S3 27 Inch (68.58 Cm) Full HD 1500 R Curved ...
amazon.in
Snow of tomorrow | Glaciers as ecosystems: ecologist Klemens ...
powderguide.com
Atrend Bbox Single Sealed 15 Inch Subwoofer Enclosure Car Subwoofer ...
desertcart.in
Millipore® Filter Membranes
sigmaaldrich.com
Fillable Online pnamp Broadsheet for Monitoring Sample Designer ...
pdffiller.com
Advantages of using R statistical software for predictive modeling
projectguru.in
Health News: Medical Research, Top and Trending Stories From Our Award ...
everydayhealth.com
Advanced Biomatrix - Biogeniux
biogenuix.com
Fillable Online Air Sampling Data Sheet - CASSEN Testing Labs Fax Email ...
pdffiller.com
Acer 60.45 cm (24 inch) Full HD LED Backlit IPS Panel Monitor (RS242Y ...
flipkart.com
Incident Report Template Word | Major Incident Management Report | Sam ...
itsm-docs.com
TraceAir Personal Organic Vapor Monitor Badges - Cole-Parmer India
coleparmer.in
Fillable Online npointenergy PERSONAL GAS MONITOR FUNCTION TEST LOG ...
pdffiller.com
LRS Cash Receipt Book - 50 Sheets (Pack of 3) : Amazon.in: Office Products
amazon.in
lux level report at Doc Template | pdfFiller
pdffiller.com
Monitors & Monitor Accessories | Dell India
dell.com
ERP Solutions, Enterprise Resource Planning, Auriga Software
aurigasoftware.in
Xiaomi Curved Gaming Monitor G34wqi | Desertcart INDIA
desertcart.in
75 Inch TV Dimensions And Guidelines (with Drawings), 52% OFF
kesriclinic.in
Buy Absolute Anticoagulant Journal: A Comprehensive logbook for ...
desertcart.in
HP E22 G5 FHD Monitor - Setup and User Guides | HP® Support
support.hp.com
Dell 27 Inch Plus Adjustable Stand Monitor - S2725HS | Dell India
dell.com
Site Monitoring Visit Follow Up Letter - Fill and Sign Printable ...
uslegalforms.com
Computer Turns On But No Display: Troubleshoot Display Problems | Dell ...
dell.com
BenQ EW3270U 32"(80cms) 3840x2160 4K VA 60Hz HDR10| 95%DCI-P3|treVolo ...
amazon.in
HP E45c G5 DQHD Curved Monitor | HP® India
hp.com
Dell S2721QS 27 Inch (68.5cm) 4K UHD (3840 x 2160) Pixels IPS Ultra ...
amazon.in
Buy Z-EDGE U27P4K 27-Inch 4K Monitor 3840x2160 IPS LED 14ms 60Hz Slim ...
ubuy.co.in
Stream Sample Season 1 Episode 34 – Sample on Disney+
apps.disneyplus.com
Coastal Regulation Zone Notification: What development are we clearing ...
downtoearth.org.in
18 Printable instruction to bid Forms and Templates - Fillable Samples ...
pdffiller.com
Safe Man Hours Format Excel - Fill Online, Printable, Fillable, Blank ...
pdffiller.com
Pfizer's Walk-in drive at Vizag for Microbiology role on 28th August 2022
pharmavacancy.co.in
behavior tracking sheet pdf Forms and Templates - Fillable & Printable ...
pdffiller.com
realme Community
c.realme.com
Editable Sample Timetable
twinkl.co.in
Glucose monitoring system not requiring blood sample calibration
speciality.medicaldialogues.in
Buy GD ANATOMICALS Adult CPR and Intubation Training Manikin Half-Body ...
desertcart.in
Total Dissolved Solids Measurements Demo [Analog Devices Wiki]
wiki.analog.com
Buy ErGear Dual Monitor Stand for 13 to 32 inch, Heavy Duty Fully ...
ubuy.co.in
Buy ErGear Dual Monitor Stand for 13 to 32 inch, Heavy Duty Fully ...
ubuy.co.in
Corona Surface Treatment - Biogeniux
biogenuix.com
Lead ECG Cable/Electrode Three(3),Five(5),Ten(10)
biometriccables.in
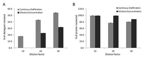
Detergent Removal with Amicon® Pro Centrifugal Filters
merckmillipore.com
Melissa R. Sample, NP | Chiloquin, OR | Family Nurse Practitioner | US ...
health.usnews.com
Neomedix India
neomedix.in
ZEBRONICS 32 inch Curved Full HD VA Panel Wall Mountable Monitor (ZEB ...
flipkart.com
G24F 2 Gaming Monitor Key Features | Monitor - GIGABYTE Global
gigabyte.com
STAMP PAPER (INR 500) • Benir e-Store Solutions
benir.in
Animal Fertility (Male) Monitoring - Biogeniux
biogenuix.com
Animal Health Monitoring - Biogeniux
biogenuix.com
Kirana Store Bill Format Download | Free Invoice Template For Kirana Store
stockregister.in
Buy VonHaus Dual Monitor Stand for 13-32" Screens, Twin Monitor with ...
desertcart.in
Klipsch ProMedia 2.1 THX Certified Computer Speaker System (Black ...
desertcart.in
TARA Environment Monitoring Facility
devalt.org
Medical Gas Pipeline Accessories - Ward Vacuum Jars Wholesale Supplier ...
alphabiomedix.in
Total Dissolved Solids Measurements Demo [Analog Devices Wiki]
wiki.analog.com
Fillable Online N1C - Notes for defendant on replying to the claim form ...
pdffiller.com
Related Searches
Cardiotocogram
Cardiotocograph
Cardiotocography Machine
Cardiotocogram Monitor Sample
CTG Machine
Portable Cardiac Monitor
Cardiocotography
Cardiotocographic Monitoring
Placement of Cardiac Monitors
Cardiotocography PPT
ECG Patient Monitor
Cardiotocograph Machine
Cardiotocographic
Cardiotocographe
Placement of Cardiac Monitor
Cardiotocography Monitoring
Search
×
Search
Loading...
No suggestions found