Find Your Style
Women
Men
Accessories
Search for clothing, brands, styles...
×
Women
Men
Accessories
Ch3oh Heat Of Formation
Search
Loading...
No suggestions found
Calculate the standard enthalpy of formation of CH3OH(l) from the ...
brainly.in
Calculate the standard enthalpy of formation of CH3OH(l) from the ...
edurev.in
Calculate the standard enthalpy of formation of methanol from following ...
brainly.in
Calculate the standard enthalpy of formation - CBSE Class 11 Chemistry ...
ask.learncbse.in
Calculate the standard enthalpy of formation of CH3OH(l) from the ...
edurev.in
[Expert Verified] (CH3)C-O-CH3 on reaction with HI give CH3OH and (CH3 ...
brainly.in
In a fuel cell, methanol is used as fuel and oxygen gas is used as an ...
tardigrade.in
Select the best conditions for the reactions - Home Work Help - Learn ...
ask.learncbse.in
(1) Aldol condensation of acetaldehyde results in the formation of -(a ...
brainly.in
Balance the following: Al + CuCl2 -> AlCl3 + Cu CO + H2 -> CH3OH FeSO4 ...
brainly.in
formation of sodium chloride using born-Haber cycle - Brainly.in
brainly.in
Given the following standard heats of reactions ) heat of formation of ...
scoop.eduncle.com
Calculate the enthalpy change of 1 mole of reaction na(s)br,(0) nabr(s ...
scoop.eduncle.com
Reaction Mechanism of CO2 Methanation | Encyclopedia MDPI
encyclopedia.pub
Electrophilic Aromatic Substitution Reactions of Benzene – Mechanism ...
aakash.ac.in
Cyclobutyl bromide on treatment with magnesium in dry ether forms an ...
tardigrade.in
Objectives_template
archive.nptel.ac.in
Lattice Energy – Definition, Factors Affecting Lattice Enthalpy, Types ...
aakash.ac.in
When 3 chloro-1-butene is subjected to hydrolysis by H2O it results ...
tardigrade.in
Methanol(CH3OH): Properties, Preparation, uses and Tests|Chemistry Page
chemistrypage.in
From the following data, the heat of formation of ca(oh),(s) at 18 ...
scoop.eduncle.com
Epoxide Ring Opening by Alcoholysis, Hydrolysis, HX & Nucleophiles | AESL
aakash.ac.in
The heat evolved in combustion of acetylene at 25\u00b0c is 310.5 ...
scoop.eduncle.com
Compute the heat of formation of liquid methyl alcohol in kJ mol -1 ...
tardigrade.in
(1) Aldol condensation of acetaldehyde results in the formation of -(a ...
brainly.in
The standard enthalpy of formation (ΔfHo298) for methane, CH4 is -74.9 ...
tardigrade.in
the molecular formula of a compound is ch3OH calculate its molecular ...
brainly.in
Which of the following product is formed in the reaction CH3MgBr ...
tardigrade.in
Standard heat of formation of CH4, CO2 and H2O are -76.2, -394.8, -241. ...
edurev.in
Ammonolysis of alkyl halides followed by the treatment with NaOH ...
edurev.in
(1) Aldol condensation of acetaldehyde results in the formation of -(a ...
brainly.in
The heat of formation of CO2 is -407 kJ/mol. The energy required for ...
tardigrade.in
Calculate the enthalpy of formation of propane c3h8 if it's enthalpy of ...
brainly.in
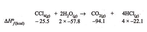
The standard heat of formation at 298 K for CCl 4(g) H 2 O (g), CO 2(g ...
tardigrade.in
then the enthalpy of formation of H2SO4 at 298K will be - Brainly.in
brainly.in
16 Calculate the standard enthalpy of formation of one mole of CH₂OH (1 ...
brainly.in
The standard enthalpy of formation of NH3 is - 46.0 kj/ mol. If the ...
tardigrade.in
[Best Answer] Calculate the standard enthalpy of formation of CH3OH(l ...
brainly.in
At 298 K, which of the following reactionsrepresent(s) enthalpy of ...
brainly.in
46.a. Calculate the standard enthalpy of formation of CH3OH(l) from the ...
brainly.in
The enthalpy of formation of carbon monoxide - CBSE Class 11 Chemistry ...
ask.learncbse.in
Harvest Moon Finale Mission Notice
vfun-lounge.valofe.com
Calculate the enthalpy of formation of carbon monoxide (CO) from the ...
brainly.in
Organic Chemistry and Synthesis Rely More and More upon Catalysts
mdpi.com
Enthalpy of Atomisation: Definition, Importance, and Examples
collegesearch.in
Using the standard enthalpies of formation, what is the standard ...
ask.learncbse.in
Calculate heat of formation of pentane from the following data * ) C(s ...
brainly.in
wzeouqagpa Calculate the standard enthalpy of combustion of ethanol if ...
brainly.in
Draw the major product formed in the following reaction of an epoxide ...
ask.learncbse.in
Epoxides in Chemistry: Definition, Types and Importance | AESL
aakash.ac.in
The heat of formation of co2 and h2o is – 395 kj mol-1 and – 285 kj mol ...
brainly.in
The standard molar heat of formation of ethane(g), CO2(g) and water(ℓ ...
brainly.in
22. the enthalpy of atomization of h2(g) [1/2h2(g) +h(g) ]is 218 kj/mol ...
brainly.in
Calculate the bond energy of C-H bond, given that the heat of formation ...
brainly.in
When 0.5 g of sulphur is burnt to SO2 4.6 kJ heat is liberated. What is ...
brainly.in
calculate the enthalpy of formation of methane C +O2 --CO2 deltaH ...
brainly.in
Enthalpy of combustion of carbon to C${{O}_{2}}$ is -393.5 kj/mol ...
ask.learncbse.in
Enthalpies of Formation - Chemistry Optional Notes for UPSC PDF Download
edurev.in
Calculate Δ H f (in kcal) for the formation of MgS from the Born-Haber ...
tardigrade.in
Using the standard enthalpies of formation, what is the standard ...
ask.learncbse.in
Salt Chemistry - Definition, Types, Properties, Hydrolysis of Salt
careerpower.in
Scale Formation in Heat Exchangers: Buy Scale Formation in Heat ...
flipkart.com
For the reaction, CO + 2H2 =CH3OH. If active mass of CO is kept ...
brainly.in
Calculate the enthalpy of formation of acetic acid if its enthalpy of ...
brainly.in
The enthalpy of formation, of CO2 and H2Oare-395 KJ and-285 KJ ...
brainly.in
Write balanced chemical equation for the given word equation :Oleum ...
brainly.in
2. Heat of formation of benzene, assuming noresonance. Given thatBE (C ...
brainly.in
If C(s) +O2(g) -> CO2(g) ; Δ H=r and CO(g) + (1/2) O2 -> CO2(g) : Δ H=s ...
tardigrade.in
A Comparative Study on the Condensation Heat Transfer of R-513A as an ...
mdpi.com
How do you decide whether the reaction (a) CH3Br + OH ----> CH3OH + Br ...
brainly.in
S +(3/2) O 2 arrow SO 3+2 x kcal ....(i) SO 2+(1/2) O 2 arrow SO 3+ y ...
tardigrade.in
How many grams of ch3oh must be added to water 150ml solution of 2m ...
brainly.in
Draw Born-Haber cycle for the calculation of lattice enthalpy of the ...
brainly.in
C-UNDECYLCALIX(4)RESORCINARENE CH3OH in India - Chemicalbook.in
chemicalbook.in
Correction: Deptuch et al. Molecular Dynamics and Kinetics of ...
mdpi.com
calculate the heat of formation of ethanol,given heat of combustion of ...
brainly.in
What happens when propanoic acid is warmed with ethanol in the presence ...
brainly.in
How many grams of ch3oH should be added to water to prepare 150 ml ...
brainly.in
C-BENZYLCALIX(4)RESORCINARENE CH3OH in India - Chemicalbook.in
chemicalbook.in
find the mass of the CH3OH produced when 356gm of CO is mixed with 65 ...
brainly.in
The standard heat of formation of C₂H₅OH (l) ,CO₂ (ɡ) ,and H₂O (l) are ...
brainly.in
What Is An Ester: Formation, Properties & Importance
allen.in
what is the meaning of the statement "the enthalpy of formation" Pcl5(g ...
brainly.in
Heat Exchangers - Heat Transfer - GATE Chemical Engineering Questions ...
msubbu.in
How Do Heatwaves Form?
young.downtoearth.org.in
HESS'S LAW AND HEAT OF FORMATION, High School Science, Thermochemistry ...
treehut.in
The heat of formation of crystalline sodium chloride is -410 kJ mol-1 ...
brainly.in
(R)-2- bromobutane upon treatment with aq. NaOH gives
tardigrade.in
Liquid bromine boils at `332.7.K` Estimate the enthalpy of formation of ...
allen.in
The following reaction is a single-step, bimolecular reaction: - Home ...
ask.learncbse.in
Bond enthalpies of H2, X2 and HX are in the ratio 2: 1: 2. If enthalpy ...
tardigrade.in
Describe how you can determine the total change in enthalpy and ...
brainly.in
Korean Lawn Grass Seeds, Super Soft Turf, Bright Green Colour, Fast ...
skorganic.co.in
Heat, Pressure and Metamorphic Rocks! Types and Formation of ...
amazon.in
calculate the heat of formation of ethanol,given heat of combustion of ...
brainly.in
Main produ t formed when propanal react with 2 moles of ch3oh in ...
brainly.in
Calculate the enthalpy of formation of propane c3h8 if it's enthalpy of ...
brainly.in
Calculate the enthalpy of formation of C6H6. Given that the enthalpy of ...
brainly.in
Relation Between Heat capacity at Constant Volume (CV) & Constant ...
aakash.ac.in
calculate the heat of formation of ethanol,given heat of combustion of ...
brainly.in
Write the molecular and structural formula of chloromethane. - Brainly.in
brainly.in
water is form from h+ and oh – ions then find heat of formation of ...
brainly.in
Find the mole fraction of methanol CH3OH and water in a solution ...
brainly.in
Major product obtained in the following reaction r₁, r2 and r3 in ...
brainly.in
Draw Born-Haber cycle for the calculation of lattice enthalpy of the ...
brainly.in
Formation of fossil fuels — lesson. Science CBSE, Class 8.
yaclass.in
The standard heat of formation of carbondisulphide(1) given that the ...
brainly.in
Calculate the standard heat of formation of ethanol from the following ...
brainly.in
Calculate the mole ratio of C2H5OH and CH3OH in aqueous solution if ...
brainly.in
The standard enthalpy of formation of ammonia is -46kJ/mol and entropy ...
brainly.in
Calculate the enthalpy of formation of C6H6. Given that the enthalpy of ...
brainly.in
Draw Born-Haber cycle for the calculation of lattice enthalpy of the ...
brainly.in
Heatreaters & Engineers
heatreaters-engineers.com
A compound C (molecular formula, C2H4O2) reacts with Na-metal to form a ...
ask.learncbse.in
Calculate the standard heat of formation of CS2. Given that standard ...
brainly.in
Uppercase Letter C: Dot Marker Letter Formation Worksheet
twinkl.co.in
R-Loops and R-Loop-Binding Proteins in Cancer Progression and Drug ...
mdpi.com
One mole of n-pentane on complete combustion under standard conditions ...
brainly.in
Calculate the enthalpy change on reaction at 298K 4NH3 + 3O2 - 2N2(g ...
brainly.in
Fundamentals of Engineering Heat and Mass Transfer (SI Units) : R.C ...
amazon.in
Related Searches
CH3OH Heat of Formation
Formation of CH3OH Equation
CH3OH Enthalpy of Formation
CH3OH Reaction Mechanism
Standard Enthalpy of Formation Equation
2CH3OH
CH3OH Decomposition
Methanol Enthalpy of Formation
CH3OH Lewis Diagram
Standard Enthalpy of Formation of Co
Calculate the Standard Enthalpy of Formation of CH3OH
CH3OH Lewis Structure
CH3OH Lewis Dot Structure
CH3OH Delta H
Find the Heat of Reaction for the Formation of CH3OH
Ch5oh
Standard Enthalpy of Formation of CH3COOH
Ethyne Chemical Formula
CH3OH Lewis Structure Molecular Geometry
How to Calculate Standard Heat of Formation
Dissociation of CH3OH
C2H3N Lewis Structure
CO2 H2 CH3OH
Ftir CH3OH
Formation of CH3COOH Compound
CH3OH Combustion Reaction
Enthalpy of Formation for Graphite
Phosphorus Tribromide Lewis Structure
Energy Diagram for the Heat Formation of One Molecule of CH3OH
Cl2 Lewis Structure
Reaction of CH3OH and HCl
Enthalpy of Formation of CH3CHO
Formation of 14
1-Methanol Structure
Nbcl5 Reaction with CH3OH
Autoionization Reaction for Methanol CH3OH
CH3CH2OH Lewis Structure
Standard Enthalpy Change of Combustion of Carbon
Standard Enthalpy of Formation Formula Broken Down
Elimination Reaction
SDS Diamond CH3OH
CH3OCH3 Intermolecular Forces
CH3ONa CH3OH Heat
Draw Major Product CH3ONa CH3OH
Number of Image Formation Formula
Entrophy for CH3OOH
Standard Enthalpy of Formation of C3H7OH
H+ CH3OH Reaction Mechanism
CH3OH E Mechanism Heat vs without Heat
Entalphy Formation Data
Search
×
Search
Loading...
No suggestions found