Find Your Style
Women
Men
Accessories
Search for clothing, brands, styles...
×
Women
Men
Accessories
Commstat 6 Controller
Search
Loading...
No suggestions found
Fujiyama commissions INR 300 cr solar cell project in UP
msn.com
Investors wealth erodes by INR 9.86 lakh crore as stock markets tumble
msn.com
IRFC net profit rises 10% to INR 1,802 crore in December qtr
msn.com
Fujiyama commissions INR 300 cr solar cell project in UP
msn.com
mPokket Disbursed INR 3500 Cr in 2022 Expects To Disburse INR 7000 Cr ...
smestreet.in
MCX copper breaks above Rs 1300 per kg as INR melts
msn.com
6 TO 6 Controller | Enthu Technology Enthu Technology
enthutech.in
Catalog | Kohler Exclusive Showroom - I Pearl Galleria, Patna
stores.kohler.co.in
8Bitdo M30 Wired Controller for Xbox Series X|S, Xbox One, and Windows ...
amazon.in
6 TO 6 Controller | Enthu Technology Enthu Technology
enthutech.in
TNC 128 straight-cut control | Analog control technology
heidenhain.in
Six Supervised Control Module | Smoke Detectors | Sensors | Smoke ...
buildings.honeywell.com
Buy GameSir G4pro Wireless Controller for PC/ Android/iOS/Switch, PC ...
ubuy.co.in
Buy GameSir G4pro Wireless Controller for PC/ Android/iOS/Switch, PC ...
ubuy.co.in
Buy Haute42 Leverless Controller Arcade Stick: Leverless Controller U16 ...
desertcart.in
Buy GameSir G4pro Wireless Controller for PC/ Android/iOS/Switch, PC ...
ubuy.co.in
GIGABYTE CONTROL CENTER - GIGABYTE India
gigabyte.com
Mytrix Controller for Nintendo Switch/Switch Lite, Controller Pro ...
amazon.in
Notes Class 10 Science Chapter 6 Control and Coordination
evidyarthi.in
Buy Controller Float Switch Tower Liquid 70AB Controller Float Switch ...
ubuy.co.in
Buy Programmable Logic Controller, Industrial Programmable Control ...
desertcart.in
Buy Wind Solar Hybrid Controller, Wind Solar Hybrid Controller, DC12V ...
desertcart.in
Time Response Analysis - Chapter-6 - Control Systems - nesoacademy.org ...
edurev.in
Buy LuocuteMotor Brushless Controller E Bike, 36V 48V 52V 40A LCD ...
desertcart.in
Use and customize Control Center on iPhone - Apple Support (IN)
support.apple.com
Buy Digital Display Temperature Controller, PID Temperature Controller ...
desertcart.in
Buy Switch Controller for Switch/Switch OLED, Rechargeable Plug-in ...
desertcart.in
Buy YCCSKY PC Controller, PC Controller Wired, Dual Vibration ...
desertcart.in
Buy DOBE FOMIS ELECTRONICS TNS-19252C switch controller Plug and Play ...
desertcart.in
1500W Motor Controller, Electric Bike Motor Controller 24V/36V/48V ...
amazon.in
DualSense Edge® wireless controller | Pro controller for PS5 ...
playstation.com
Far Cry 6 - PS4 & PS5 Games | PlayStation (India)
playstation.com
for PUBG Controller Six Finger Pubg Mobile Trigger India | Ubuy
ubuy.co.in
OIVO Controller Organizer for Desk, Display Controller Stand for PS5 ...
amazon.in
Six 6 Finger For iPad Pubg Controller Capacitance Adjustable Mobile ...
furper.com
Battlefield 6: How to Unlock and Complete Class Assignments
sportsrant.indiatimes.com
Computer Organization and Architecture - Module 6 - Control Logic ...
studocu.com
SONY PS5 DualSense Wireless Controller Bluetooth Gamepad - SONY ...
flipkart.com
Buy eXtremeRate Replacement Bottom Shell for Xbox One Elite Series 2 ...
desertcart.in
llano RGB Laptop Cooling Pad, Gaming Laptop Cooler with Powerful ...
amazon.in
CBSE Class 10 Chapter 6 Science 2023 Mind Map: Control and Coordination ...
jagranjosh.com
Call of Duty Black OPS 6 Controller Skin by SUBUMi – Subumi
subumi.com
CBSE Class 10 Biology Chapter six Control and Coordination Important ...
jagranjosh.com
Notes Class 10 Science Chapter 6 Control and Coordination
evidyarthi.in
Buy KDD Headphone Holder, 3-in-1 Under Desk Clamp Controller Stand ...
desertcart.in
Notes Class 10 Science Chapter 6 Control and Coordination
evidyarthi.in
Wireless Controller For Ps3 Gamepad Controller For Playstation 3 Switch ...
desertcart.in
Radiolink Pixhawk Flight controller board.
flyrobo.in
Dobe Switch Controller For Nintendo Switch Oled One Piece Joypad ...
desertcart.in
KIds 4x4 Driving EV Cars for 1, 2, 3, 4, 5, 6 Years | Remote + Steerin ...
wishmaster.in
Control system - BEC403 - VTU - Studocu
studocu.com
Buy Pink Lobster Tablescape High Leg Tummy Control Scoop Swimsuit from ...
nextdirect.com
Modern control engineering-77 - 370 Chapter 6 / Control Systems ...
studocu.com
Buy Niiyen Air Conditioner Remote Control, Universal Air-conditioner ...
desertcart.in
6 Cars With Adaptive Cruise Control Under Rs 20 Lakh, Honda City ...
timesnownews.com
Fig1-1.6: Points of control of gene expression
archive.nptel.ac.in
Buy From Total Quality Control to Lean Six Sigma Book Online at Low ...
amazon.in
Control Charts INDEX - CONTROL CHARTS Control charts are a statistical ...
studocu.com
Buy Diesel Generator Automatic Controller, Changeable Generator ...
desertcart.in
Jvg electronics
jvgelectronics.in
CBSE Class 10 Science Short Notes for Chapter 6 Control and ...
jagranjosh.com
Buy CiT Raider PC Gaming Case, Mid-Tower ATX, 6 x Halo Dual - Ring ...
desertcart.in
HMC425A 6-Bit Digital Positive Control Attenuator - ADI | Mouser
mouser.in
Control system - BEC403 - VTU - Studocu
studocu.com
PARIJATA Tds Adjuster/Controller Kit for Ro Water Purifier [ Tds ...
amazon.in
SG Scorer Classic 2.0 Kashmir Willow Cricket Bat 7 No – Asports Zone
asportszone.com
8Bitdo Wireless USB Adapter 2 for Switch, Windows, Mac & Raspberry Pi ...
amazon.in
F4 V3S Plus Flight Control OSD 2-6S Two-way 3A BEC 9V Pad Design for B ...
havochobby.in
SG Scorer Classic 2.0 Kashmir Willow Cricket Bat 7 No – Asports Zone
asportszone.com
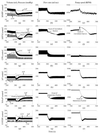
A Flow Sensor-Based Suction-Index Control Strategy for Rotary Left ...
mdpi.com
Buy Anchor Controller, Boat Sail Trim Controller Windlass Remote Trim ...
desertcart.in
Buy Electric Motor Controller, 36V/48V 350W Brainpower Motor Controller ...
ubuy.co.in
Stats Live - New Zealand vs Sri Lanka, 1st T20I 2024/25 Stats dashboard ...
espncricinfo.com
Wings Newly Launched Wings Centerstage 1000, 80W RMS, 2.0 Channel ...
amazon.in
Control Structures IN Visual Basic 6 - CONTROL STRUCTURES IN VISUAL ...
studocu.com
VWA to INR: Convert Virtual World Asses (VWA) to Indian Rupee (INR ...
coinbase.com
Control system engineering -3 - Chapter 3 CSE In the previous chapter ...
studocu.com
CS LAB FILE - Control Systems Lab File - INDEX Experiment No. Title ...
studocu.com
SIX PIPE TURBO CONTROLLER - 16 TONES
basuriautomotive.in
SIX PIPE TURBO CONTROLLER - 16 TONES
basuriautomotive.in
A Flow Sensor-Based Suction-Index Control Strategy for Rotary Left ...
mdpi.com
boAt Airdopes 121 Bluetooth Truly Wireless Earbuds with Mic(Midnight ...
amazon.in
Manejo de las hemorragias en el paciente anticoagulado | Live-Med
livemed.in
95-240V Programmable Thermostat 5+1+1 Six Periods Touchscreen LCD with ...
amazon.in
DTH Hammer - SVE Drilling Tools
svedrillingtools.in
SIX PIPE TURBO CONTROLLER - 16 TONES
basuriautomotive.in
X-Ray X-Raypad Aqua Control 2 Gaming Mouse Pad, Ultra-High Precision ...
amazon.in
Control And Coordination - NCERT Book of Class 10 Science
betrained.in
SRI KAMAKSHI CONTROLS & SYSTEMS in Chennai
homecontrol4u.in
10 INR-friendly destinations where rupees rule | Times of India
timesofindia.indiatimes.com
S erounder 2-in-1 PWM Fan Hub + ARGB Wireless Remote Controller, PC ...
amazon.in
Avocado Hair Mask – Whimzly
whimzly.com
Designed for Control | Economic and Political Weekly
epw.in
eXtremeRate Black Replacement Touchpad for PS5 Controller, Soft Touch ...
amazon.in
Buy PIANAI PA® Nintendo Switch Pro Wireless Controller,with Screens ...
desertcart.in
KARCHER WD 3 SV Wet & Dry Vacuum Cleaner,1000W,23kPa Suction Power, 17L ...
amazon.in
Buy Brown Textured Scoop Neck Tummy Control Swimsuit from Next India
nextdirect.com
Aesopian Powerful Fire Six Finger Compatibility Controller Joystick ...
shopsy.in
Buy Rane Commercial Zonetech | Commercial Audio DSP Processor With Six ...
desertcart.in
Buy Wireless Controllers for PS4, Wireless Game Controller for ...
desertcart.in
KSB valve and KSB make heavy pressure valve distributor in India
gseng.co.in
Best International Online Shopping Store in Chennai for Global Brands ...
ubuy.co.in
OC200 | Omada Hardware Controller | TP-Link India
tp-link.com
Buy USB MIDI Keyboard Controller, Donner D-37 Colourful MIDI with 37 ...
ubuy.co.in
Buy Yeefunjoy 3Pcs Fidget Toy Sensory Toy, Fidget Pad, Fidget ...
desertcart.in
A Flow Sensor-Based Suction-Index Control Strategy for Rotary Left ...
mdpi.com
Buy Dc Motor Speed Controller - Motor Controller - high ESD5500E Speed ...
desertcart.in
All Control Wiring Works in Secunderabad, Hyderabad |Best All Control ...
gselectricalservices.co.in
Ant Esports GP400 RGB Wireless Controller for PC / PS4 / PS3 / Switch ...
pricehistoryapp.com
CALIFORNIA PENAL CODE PART 6 CONTROL OF DEADLY WEAPON 2019-2020: WEST ...
amazon.in
Bids Are Invited For Programmable Logic Controller (Plc) (Q3) Total ...
biddetail.com
Nissan Launches New Magnite KURO Special Edition – The Boldest Black ...
india.nissanmotornews.com
SIX PIPE TURBO CONTROLLER - 16 TONES
basuriautomotive.in
CHROMALOX MULTI-TRACE CONTROLLER T236145 in El Paso, TX, USA
machinio.com
Buy Soft Blue Custom PS4 PRO Smart Rapid Fire Modded Controller Mods ...
ubuy.co.in
CBSE Class 10 Chapter 6 Science 2023 Mind Map: Control and Coordination ...
jagranjosh.com
Pixhawk 2.4.8 PX4 32 Bit Flight Controller with Safety Switch and ...
flyrobo.in
Shanwan Q37 New Mini Gamepad Micro Wireless Game Controller For Switch ...
furper.com
Buy OIVO PS5 Charging Station, 2H Fast PS5 Controller Charger for ...
desertcart.in
Buy Q-1 PRO (PT,INR) Meter- Patient self testing Online for Rs 24,144
colmed.in
Related Searches
CommStat Board
CommStat 10
CommStat Tracker
Commat Company
CommStat 6 Controller
Marvair CommStat 10 Alarm
Search
×
Search
Loading...
No suggestions found