Find Your Style
Women
Men
Accessories
Search for clothing, brands, styles...
×
Women
Men
Accessories
Cucak Ijo Vec
Search
Loading...
No suggestions found
INR Full Form: What is full form of INR?
bankersadda.com
Masala Oats+ | Tata Soulfull | INR 209/- only
soulfull.co.in
कोस्टा रिका - Costa Rica (1 INR = 8.65 Colon) | Navbharat Times
navbharattimes.indiatimes.com
Get Alia Bhatt's Stunning Wedding Dress Under INR 20,000 | LBB
lbb.in
Best Women Watches Under INR 15K | LBB
lbb.in
Best Long-lasting & Non-chip Nail Polish Under INR 400 | LBB
lbb.in
Mast Masala Oats | TATA Soulfull | INR 209/- only
soulfull.co.in
Top 8 Indo- Western Fusion Sarees Under INR 10,000 | LBB
lbb.in
Bitcoin price today, BTC to INR live price, marketcap and chart | Suncrypto
suncrypto.in
Inside Sachin Tendulkar’s House in BKC, Mumbai worth INR 7.15 Crore ...
architecturaldigest.in
India Saves INR 35,000 Crore By Buying Discounted Oil from Russia » Car ...
carblogindia.com
BTC to INR Converter, Convert Bitcoin to INR Exchange 2022 - Exchanger24
exchanger24.org
ValueQuest Enters PE Segment With INR 1,000 Cr Fund
businessoutreach.in
VIT - Research Facility
crf.vit.ac.in
Uses and SideEffects of Warfarin: What You Need to Know
medicoverhospitals.in
Lovebird | Pancingan Lovebird Fighter Ngetik Ngekek Panjang | Burung ...
id.pinterest.com
Collections
svbventures.in
International Trade Settlement in Indian Rupee (INR)
taxguru.in
Incidence of Osteoporosis in Primary Care Patients with Atrial ...
mdpi.com
How Indian Rupee Stands Against Other Major Currencies
indiatimes.com
Solo Leveling: ReAwakening ending - Will Jinwoo survive the Red Gate?
lifestyleasia.com
Diamond Necklace Designs | Buy Diamond Necklace Set Online at Best ...
manubhai.in
Online Invoice Generator | Create a Bill - Wise
wise.com
Djarum Coklat Filter atau Juara Filter Teh Manis
bolehmerokok.com
Five Times The RBI Has Withdrawn Or Demonetised Indian Currency Notes
indiatimes.com
The Wire: The Wire News India, Latest News,News from India, Politics ...
thewire.in
logo_1200_x_628_px.jpg?v=1720118200
artrise.in
@ijo — Teletype
teletype.in
EPR Registration and Compliance
taxguru.in
VEC Solutions - Manufacturers of Vacuum Systems and Equipment
vecsolutions.com
USD/INR Cracks Big: Falls 2% in 4 Days! | Investing.com India
in.investing.com
Buy Antique Set Online | Antique Set by Manubhai.
manubhai.in
How Indian Rupee Stands Against Other Major Currencies
indiatimes.com
Rupee Depreciation: Will India's Exports Stand To Gain? | Investing.com ...
in.investing.com
Buy best bralettes for women | beach wear for women | Beeglee
beeglee.in
MSN Money
msn.com
Let \(\vec{a}, \vec{b}\) and \(\vec{c}\) be three non-zero vectors, no ...
prepp.in
Inflation or disinflation - Where are dollar & rupee moving? - The ...
economictimes.indiatimes.com
IJO FAMOUS BAKERY, Seoul - Gangnam / Nonhyeon / Yeoksam - Restaurant ...
tripadvisor.in
USD/INR Breaking Imp. Trendline; Is Nifty 50 Topping Out? | Investing ...
in.investing.com
Tineco Official Site
tinecoindia.in
If a and b are the vectors representing the adjacent sides of a regular ...
scoop.eduncle.com
Working at Kualiti Alam Hijau | Glassdoor
glassdoor.co.in
NFRA- Applicability, Power, Responsibilities and Filings
taxguru.in
Discover The Best Brands & Recommendations For Basics | LBB
lbb.in
India@2047 - PwC India
pwc.in
MP Govt to Award ₹239 Crore to 94,000 Top Scoring Class 12 Students ...
jagranjosh.com
SATHEE: Jee Main 2024 31 01 2024 Shift1 - Question6
satheejee.iitk.ac.in
Vec Appeal Form - Fill Online, Printable, Fillable, Blank | pdfFiller
pdffiller.com
VEC Digilib
veclib.lavan.net.in
india political stability: Latest News & Videos, Photos about india ...
economictimes.indiatimes.com
💫 Chennai Brides and Busy Bees, This Is Your Sign! – Tailor Kadai
tailorkadai.in
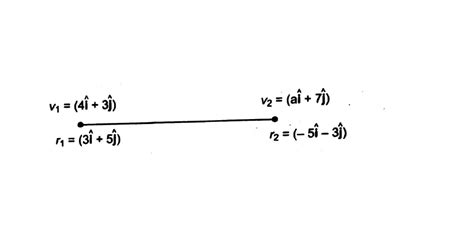
Two particles having position vectors vec r 1=(3 hat i +5 hat j ) m and ...
tardigrade.in
Sri Lanka and Russia in talks to use the rupee in foreign trade
currentaffairs.adda247.com
India and Malaysia can now trade in Indian rupee
currentaffairs.adda247.com
Buy Real Diamond Set Online | Real Diamond Set by Manubhai.
manubhai.in
Contact-us – Permanent Magnets Ltd
pmlindia.com
Cara Membuat Es Pisang Ijo Yang Enak Dan Lezat - Pastiin
pasti.in
Priest Profile - Eparchy of Palai
palaidiocese.com
100% Pure C8 MCT Keto Oil - 250ml | Aiwo – Aiwo Limited
aiwo.com
Find the resultant of the three vectors `vec(OA), vec(OB)` and `vec(OC ...
allen.in
Pink Tissue Saree - Blush Pink Handloom Tissue Saree
hutsandlooms.com
Registration Form
cam.mycii.in
A vector `vec(A)` and `vec(B)` make angles of `20^(@)` and `110 ...
allen.in
Buy Miyazaki Mango / Japanese Miyazaki Mango/ Taiyo No Tamago / Egg of ...
etsy.com
Home - VEC
velammal.edu.in
Fee Structure
wingsaviation.in
Marketsview /Live Market
marketsview.in
Buy Absolute Anticoagulant Journal: A Comprehensive logbook for ...
desertcart.in
Coagulation Analyzer - Micropoint Q3 Pro Electrometer PT-INR Trader ...
r2healthcare.in
Buy Gold Bangles Online India with Latest Designs - Manubhai Jewellers
manubhai.in
Consider the following statements about electric dipole and select the ...
tardigrade.in
\begin{displaymath}V(\vec r)=-G\int \frac{\rho(\vec r)}{\mid \vec r ...
archive.nptel.ac.in
Warfarin Impurity 6 | CAS No- NA | NA
chemicea.com
Consider the following statements about electric dipole and select the ...
tardigrade.in
Welingkar Institute of Management - NewsWire
newswire.nokomis.in
Warfarin Alcohol Impurity | CAS No- 28392-96-3 | Simson Pharma Limited
simsonpharma.com
TBO Tek & Amadeus South Asia partner for Travel Marketplace
traveltrendstoday.in
Buy Gold Earrings Online | Gold Earrings by Manubhai.
manubhai.in
Mumbai Indians: 5 players MI can release ahead of IPL 2026 auction ...
crickettimes.com
Certifications
pasteljade.com
A guide to the 12 best types of Japanese sake to shop for in India
lifestyleasia.com
List Of Countries That Have Opened Special Rupee Vostro Accounts
indiatimes.com
Buy Gold Earrings Online | Gold Earrings by Manubhai.
manubhai.in
Via hijau -handmade in Bali-
viahijaubali.thebase.in
Warfarin EP Impurity C | CAS No- 122-57-6 | Simson Pharma Limited
simsonpharma.com
OnePlus tackles the Green Line Issue: Will the Worry-Free Solution win ...
digit.in
15 Teknik Pewarnaan Rambut Kekinian, Wajib Tahu! | AllThingsBeauty
allthingsbeauty.com
Given vec f = ( 4vec i - 10vec j ) and vec r = ( 5vec i - 3vec j ...
brainly.in
Jual Jaket Polos Baseball Varsity Ijo Botol Pria Wanita Bahan Fleece L ...
tokopedia.com
forsakened.
forsakened.in
Buy Delicate 3 layer Gold Necklace Set Online | Delicate 3 layer Gold ...
manubhai.in
Luthra And Luthra, Reverse Merger, Ujjivan Group
livelaw.in
Buy Antique Set Online | Antique Set by Manubhai.
manubhai.in
Contact Us
mahavirs.com
Fed’s 75 bps Hike: Rupee Falls to Record Low, Sets Eye for ‘82 ...
in.investing.com
Custom Jewellery
thewyw.com
CMC | Smitha Jasper
cmcvellore.edu.in
Buy Real Diamond Earrings Online | Real Diamond Earrings by Manubhai.
manubhai.in
Buy Gold Bangle Online | Gold Bangle by Manubhai.
manubhai.in
Buy Gold Set Online | Gold Set by Manubhai.
manubhai.in
Buy Bloom Fancy Meenakari in Indo-Italian 22K Gold Necklace Set with ...
manubhai.in
International Trade Settlement in Indian Rupee (INR)
taxguru.in
Comfortable Plus Size Party Gowns & Cocktail Dresses Online | Amydus
amydus.com
Zen Publications
zenpublications.com
Diagnosis Atrial Fibrilasi - Alomedika
alomedika.com
How to Make a Mini Mandala Gift Box: A Step-by-Step Guide – Neha ...
nehascreations.com
Is your Rs 500 note real or fake? RBI suggests how to check - Real or ...
economictimes.indiatimes.com
Q68. a dipole of moment potential at large distance is pp, oscillating ...
scoop.eduncle.com
2023 Honda Civic Type R unveiled as the most powerful model in 30 years ...
overdrive.in
Jerdon's Leafbird | Leafbirds (Chloropseidae) | Gallery | WildArt ...
wildart.in
USD/INR Strengthens Amid CPI Data and Outflows Pressure By Kedia Advisory
in.investing.com
Russia-Ukraine Tussle: Falling Rupee and Rising Crude Oil | Investing ...
in.investing.com
Ninja ZX-6R 【お試し価格!】 - バイク車体
portfolio.cept.ac.in
GI Nut and Bolt Weight Chart: GI Nut Size Chart, Manufacturers
sudershanent.com
Jack Daniel Price in India - Updated List
saveandtravel.in
List Of Countries That Have Opened Special Rupee Vostro Accounts
indiatimes.com
PIXSTOX
pixstox.in
IPL 2026: 5 franchises that can target Matheesha Pathirana in the ...
crickettimes.com
20 Stunning Haldi Ceremony Outfits & Dresses to Wear in 2025
bhasinbrothers.com
Related Searches
Burung Cucak Ijo
Logo Cucak Ijo
CVector Cucak Ijo
Wallpaper Cucak Ijo
Cucak Ijo Vector
Cucak Ijo Banyuwangi
Cucak Ijo Gacor
Cucak Ijo PNG
Cucak Ijo Vektor
Cucak Ijo Jember
Cucak Ijo Mini
Cucak Hijau
Cucak Ijo Kartun
Sangkar Cucak Ijo
Cucak Ijo Jantan
Jenis Burung Cucak Ijo
Cucak Ijo Trotol
Cucak Ijo Beti Na
Burung Cak Ijo
Cucak Ijo Background HD
Cucak Ranting
Cucak Ijo Lomba
Cucak Ijo Robot
Macam Burung
Burung Cucak Rowo
Cucak Ijo Brauw
Cucak Ijo Jamtrok
Cucak Ijo Ai
Cucak Ijo Mesin
Burung Berkicau
Cucak Kuning
Cucak Ijo Banjar
Cucak Ijo Kalimantan
Poto Burung
Cucak Ijo Bandealit
Cucak Ijo Vec
Ciri-Ciri Cucak Ijo Jantan
Cucak Ijo Bendialit
Cucak Ijo Big
Bunga Cucak Rowo
Cucak Ijo Bernama Ben
Cucak Ijo Ngentrok
Cucak Ijo Katuranggan
Ciri Cucak Ijo Meru Betiri
Kicau
Walpaper Burung Cucak Ijo
Tentang Burung Cucak Ijo
Bacgron Cucak Ijo
Cucak Ijo Ori BWI
Cucak Ijo Bird Vector
Search
×
Search
Loading...
No suggestions found