Find Your Style
Women
Men
Accessories
Search for clothing, brands, styles...
×
Women
Men
Accessories
Debt Repayment Equation
Search
Loading...
No suggestions found
INR Frequently Asked Questions | RCS
remotecardiacservices.com
INR Full Form: What is full form of INR?
bankersadda.com
Weighted Average Cost of Capital - forcasting - are in INR unless ...
studocu.com
Trifecta Capital Announces the First Close of INR 2000 Crore Trifecta ...
aninews.in
How to Calculate Your Mortgage Payment | Capital One
capitalone.com
Debt to Equity Ratio (D/E Ratio) – Detailed Explanation with Example ...
blog.investyadnya.in
Code Quality Metrics: SonarQube and CodeClimate for Technical Debt ...
johal.in
Cost of Debt: What It Is, Calculation, and Examples - India Dictionary
1investing.in
Long Term Debt to Total Asset Ratio - India Dictionary
1investing.in
Debt-to-Income Ratio (DTI) - Meaning, Formula, Calculation
bajajfinservmarkets.in
Capital Gearing - India Dictionary
1investing.in
Understanding Net Working Capital
credlix.com
EBITDA full form, EBITDA definition, full form of ebitda, ebitda ...
iifl.com
Italy: Public debt sustainability (Martin Ertl) | boerse-social.com
boerse-social.com
Debt to Capital Employed Ratio Net Asset 72. From the following ...
brainly.in
Cost of Debt: What It Is, Calculation, and Examples - India Dictionary
1investing.in
What is a Debt-to-income Ratio And How to Calculate it
fibe.in
(b) Bad debts 500 (0) Provision for doubtful debts Sundry debtors ...
brainly.in
Petty Cash Book - India Dictionary
1investing.in
The actual price of equity - India Dictionary
1investing.in
Debt Service Coverage Ratio – Formula, Meaning & Importance
bajajfinservmarkets.in
Debt to equity ratio: What is it, formula and calculation
forbesindia.com
Long Term Debt to Total Asset Ratio - India Dictionary
1investing.in
Debt To Equity Ratio – Meaning, Formula & How To Use Debt To Equity ...
samco.in
Debt to Equity (D/E) Ratio - Formula, Calculation & Benefits
bajajfinserv.in
How Do You Calculate Beta in Excel? - India Dictionary
1investing.in
Fair Value in Stocks - Definition, Advantages and Examples
groww.in
Long Term Debt to Total Asset Ratio - India Dictionary
1investing.in
Debt to GDP Ratio - Meaning, Importance and Calculation
navi.com
What is Debt Service Coverage Ratio - DSCR Formula and Use
navi.com
How To Repay Personal Loan Faster
kreditbee.in
Debt ratio: calculation - India Dictionary
1investing.in
What is Debt-to-Equity (D/E) Ratio and How to Calculate It?
navi.com
Debt Service Coverage Ratio (DSCR): Meaning, Formula, and Importance
fyers.in
GRADE 12 ACCOUNTING. DEBTORS COLLECTION SCHEDULE - India Dictionary
1investing.in
Mastering Debt Repayment: Guide to the Debt Avalanche Method eBook ...
amazon.in
Repayment Routes Some More Flexible Ways to Pay Your Loan
academy.bajajfinservmarkets.in
Can debt funds be safeguarded? Here’s RBI formula - The Economic Times
economictimes.indiatimes.com
GDP Deflator, Meaning, Formula, Compared to CPI, UPSC Notes
vajiramandravi.com
Buy Debt Settlement Agreement Template Online in India - Etsy
etsy.com
Tangible Net Worth: Definition, Meaning, Formula, 57% OFF
iiitl.ac.in
Fillable Online Debt Resolution Program Repayment Agreement - HUD Fax ...
pdffiller.com
Debt To Equity Ratio – Meaning, Formula & How To Use Debt To Equity ...
samco.in
Fiscal Deficit -Meaning, Calculation, Components, Implications, Causes ...
simplynotes.in
Loan Amortisation Table, Find Rate of Interest & EMI Calculator in Excel
taxguru.in
Code Quality Metrics: SonarQube and CodeClimate for Technical Debt ...
johal.in
Personal Loan for Credit Card Debt – Pay Off Smartly
dmifinance.in
Fiscal Requirements for Debt Reduction Targets in India | Economic and ...
epw.in
What Is Loan Repayment, Why It Is Important, & How It Works?
navi.com
Debt Resolution
bobcaps.in
Debt Resolution
bobcaps.in
5 Tips on How to Pay Off Credit Card Debt | Credit One Bank
creditonebank.com
Fiscal Framework: The World is Changing, Should India Change Too?
taxguru.in
International Trade Settlement in Indian Rupee (INR)
taxguru.in
Valuation of Companies
taxguru.in
How to Calculate GST in Excel Sheets?
cleartax.in
Debt snowball method | Business Outreach
businessoutreach.in
Effective ways to pay off your credit card debt faster - How to reduce ...
economictimes.indiatimes.com
How to Calculate GST in Excel Sheets?
cleartax.in
RCom presents new debt repayment plan
dnaindia.com
CENVAT Credit Refund must be claimed within one year from date ...
taxguru.in
Loan Repayment
help.techoerp.in
Adjustments:Further bad debts Rs.1000 and Provision for doubtful debts ...
brainly.in
The maximum possible percentage reduction in area per pass during wire ...
edurev.in
DevOps Consulting Services | Get Complete DevOps solutions
devopsconsulting.in
Loan Repayment Form - Fill Online, Printable, Fillable, Blank | pdfFiller
pdffiller.com
Compound Interest Formula With Examples - India Dictionary
1investing.in
Working Capital Turnover Definition - India Dictionary
1investing.in
Overview of Debt Planning and Debt Reduction
enterslice.com
How to Calculate GST in Excel Sheets?
cleartax.in
if r value is less than 1 then finding the sum of infinite geometric ...
brainly.in
Legal Notice for default in bank loan - SAMPLE LEGAL NOTICE Date ...
studocu.com
Adjustments:Further bad debts Rs.1000 and Provision for doubtful debts ...
brainly.in
Fillable Online Loan repayment form - Acsis Fax Email Print - pdfFiller
pdffiller.com
Liabilities Meaning & Examples in Accounting - India Dictionary
1investing.in
How to Calculate GST in Excel Sheets?
cleartax.in
What are Capital Receipts - Its Features, Types and Examples
navi.com
Anaerobic Respiration: Definition, Equation and Examples
careerpower.in
Weighted Average Cost of Capital: WACC Formula and Calculation
navi.com
RBI’s $10 Billion USD-INR Swap Auction: Impact on Liquidity & Rupee ...
vajiramandravi.com
Understanding Biochemical Oxygen Demand (BOD) from Cole-Parmer India
coleparmer.in
Can 1 million Bitcoin really pay off the $36 trillion U.S. national ...
cryptopanic.com
Golden Debt Reducing Strategies
ranly.in
Monthly Budget Planner: Monthly Personal Finance Goal Planner, Income ...
amazon.in
UN: Global Public Debt Hit $92 Trillion in 2022
currentaffairs.adda247.com
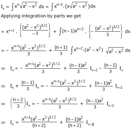
Integration by Reduction Formulae - Indefinite Integration, Class 12 ...
edurev.in
Accounting Equation: Definition and Formula with Example
navi.com
Electrolysis of Water - Equation, Diagram and Experiment
sscadda.com
What is Debt Restructuring? - Types, Benefits & Common Methods
navi.com
Solvency Ratio: Formula, Importance, Types and Examples
navi.com
Bullet Repayment Gold Loan: What It Means & How It Works
iifl.com
3 Tips To Pay Off Business Debt
kreditbee.in
How To Read A Balance Sheet Of A Company
samco.in
Budget 2020: How the equation changed for debt & equity investors post ...
economictimes.indiatimes.com
bending equation derivation in physics: Definition, Types and ...
aakash.ac.in
Education Loan Repayment Period & Rules Explained
wemakescholars.com
Avoid Short-Term Debt Traps With A Long-Term Business Loan | IIFL Finance
iifl.com
What is a Promissory Note? - Types, Format and Features
navi.com
How to choose your ideal repayment tenure for personal loans?
kreditbee.in
Income-Driven Repayment Plan Request: Income ... - TG Online - Tgslc ...
uslegalforms.com
Entropy
home.iitk.ac.in
15 Monthly Expenses to Include in Your Budget | Capital One
capitalone.com
Question 9. From the following Ledger account balances extracted from ...
brainly.in
Summation Formula, Definition, Solved Examples
pw.live
Integration by Reduction Formulae - Indefinite Integration, Class 12 ...
edurev.in
Helios And Matheson — Repayment of FD pending
consumercomplaints.in
GP Formula- Sum of n Terms, Sum of Infinite GP
adda247.com
Class 10 ICSE Chemistry Board Question Chapter metallurgy
iqclasses.in
Whatever Be The Market Scenarios In 2019 – They Are Good For Gold ...
in.investing.com
இந்திய நிறுவனங்களை துரத்தும் 79 பில்லியன் டாலர் வெளிநாட்டு கடன் ...
tamil.goodreturns.in
SDARNG Educational Benefits | National guard, Army national guard ...
pinterest.com
IBC does not aim to penalize solvent companies temporarily defaulting ...
lawbeat.in
International Trade Settlement in Indian Rupee (INR)
taxguru.in
Difference Between Equity VS Debt Mutual Funds
groww.in
In an A.P,the sum of its first n term is 6n-n².Find its 25th term ...
brainly.in
Accumulation of household debt in India: Repercussions for economic ...
ideasforindia.in
Rate Equation from Flow vs Conversion Data of PFR
msubbu.in
reduction formula for sin^nx cos^mx dx - Brainly.in
brainly.in
Deduce the dimensional formula for R, using ideal gas equation PV = nRT ...
ask.learncbse.in
What is ETL: Full Form, Process, Benefits, Examples, Use Cases
cleartax.in
Related Searches
Debt Repayment Printable
Debt Repayment Agreement Template
Debt Repayment Worksheet
Debt Repayment Spreadsheet
Debt Financing
Debt Repayment Schedule
Debt Repayment Calculator
Debt Repayment Plan Printable
Debt Repayment Programs
Debt Repayment Priority
Debt Repayment Bargraph
Debt Repayment Formula
Debt Restructuring
Debt Repayment Print Out
Debt Repayment Budget
Debt Repayment GIF
Paying Off Debt Worksheet
Debt Payoff Spreadsheet
Debt Repayment Scheme
Debt Repayment Timeline
Wild Debt Repayment
Debt Repayment Methods
Financial Debt
Principal Debt Repayment
Debt Repayment Meaning
Debt Repayment Plan Sample
Debt Management Plan
Debt Repayment Graphic
Debt Repayment Pages
Avoiding Debt
Debt Repayment Options
Debt Repayment Hierarchy
Debt Payoff Tracker
Repayment Strategy
Debt Repayment Plan Icon
Debt Repayment Stratgies
Debt Repayment Equation
Debt Repayment Visual
Debt Repayment Scenarios
School Debt Repayment
Debt Forgiveness
Debt Payment Method
Debt Repayment Waterfall
Phased Debt Repayment
Debt Repayment Bd
Reduce Debt
Free Printable Debt Repayment Tracker
Bank Debt Payment
Debt Repayment Illustrations
Undertaking for Debt Repayment
Search
×
Search
Loading...
No suggestions found