Find Your Style
Women
Men
Accessories
Search for clothing, brands, styles...
×
Women
Men
Accessories
Diagrammatically Represent A Design
Search
Loading...
No suggestions found
Entry #698 by LeonardoGhagra for INR 20,000 Logo Design Contest for ...
freelancer.in
Entry #69 by graphicsdesign30 for INR 20,000 Logo Design Contest for ...
freelancer.in
ELEMENTS OF URBAN DESIGN | CEPT - Portfolio
portfolio.cept.ac.in
DESIGN-R® | 看護師・看護学生の用語辞典 | 看護roo![カンゴルー]
kango-roo.com
ELEMENTS OF URBAN DESIGN | CEPT - Portfolio
portfolio.cept.ac.in
ELEMENTS OF URBAN DESIGN | CEPT - Portfolio
portfolio.cept.ac.in
Elements of urban Design | CEPT - Portfolio
portfolio.cept.ac.in
ELEMENTS OF URBAN DESIGN | CEPT - Portfolio
portfolio.cept.ac.in
The Future of City Squares: Robotics in the Urban Design of Tomorrow
mdpi.com
Diagrammatically represent the experimental steps in cloning and ...
esaral.com
The Future of City Squares: Robotics in the Urban Design of Tomorrow
mdpi.com
Entity-Relationship (ER) Diagram Symbols and Notations | EdrawMax
edrawsoft.com
Diagrammatically represent the experimental steps in cloning and ...
allen.in
Design Of The Bearing Arrangement - Track Roller Guidance Systems ...
medias.schaeffler.co.in
The new wave in the Marketing Universe, Integrated Marketing Communications
indiraisbs.ac.in
Compiler Design notes pdf- A NFA can be diagrammatically represented by ...
studocu.com
GST E-Invoice System concept note, Standard, Schema & Template
taxguru.in
Show diagrammatically - CBSE Class 12 Economics - Learn CBSE Forum
ask.learncbse.in
Unit IV Interference Ver-1 2022-23 - UNIT IV WAVE OPTICS: INTERFERENCE ...
studocu.com
Types of Motion with Examples for Class 9
adda247.com
Represent diagrammatically 2/3,3/3/4,23/7 - Brainly.in
brainly.in
3. a) Represent the given situation diagrammatically and mathematically ...
brainly.in
The jumping frog Description: 1.Represent the given situation ...
brainly.in
Trading Chart Patterns with Technical Analysis
newweb.truedata.in
Mechanism of Breathing and Exchange of Gases - Biology Class 11 - NEET ...
edurev.in
Classification based on the direction of the reaction — lesson. Science ...
yaclass.in
diagrammatically represent the carbon cycle - Brainly.in
brainly.in
(ii) Represent diagrammatically the bond moments and the resultant ...
brainly.in
Diagrammatically represent budding in Hydra. - Brainly.in
brainly.in
. Represent diagrammatically the stages in the cross bridge formation ...
brainly.in
Represent diagrammatically hershey-Chase experiment. What did this ...
allen.in
i. Represent the given situation diagrammatically and mathematicallyii ...
brainly.in
The jumping frog Description: 1. Represent the given situation ...
brainly.in
Diagrammatically represent H2 – O2 fuel cell and write the half cell ...
brainly.in
diagrammatically represent reproduction stages in plant through: (a ...
brainly.in
9). Draw the orbital diagram of Lithium and chlorine atom ...
brainly.in
Diagrammatically represent the water cycle showing how rainwater ...
brainly.in
Represent diagrammatically the bond moments and the resultant dipole ...
brainly.in
diagrammatically represent reproduction stages in plant through: (a ...
brainly.in
Diagrammatically represent nutritional steps in ameba - Brainly.in
brainly.in
Diagrammatically represent reproduction stages in plant through: a ...
brainly.in
diagrammatically represent reproduction stages in plant through: (a ...
brainly.in
Schematically represent cyclic photophosphorylation. - Brainly.in
brainly.in
explain in details the increase in demand and decrease in demand with ...
brainly.in
tissue system and types in biology: Definition, Types and Importance | AESL
aakash.ac.in
Represent -2/3 and 1/3 on the number line - Brainly.in
brainly.in
diagrammatically represent the effect of three different types of ...
brainly.in
(ii) Represent diagrammatically the bond moments and the resultant ...
brainly.in
diagrammatically represent the effect of three different types of ...
brainly.in
Daughter Tattoo Designs & Ideas for Mother and Father
tattoosnewdelhi.com
diagrammatically represent the effect of three different types of ...
brainly.in
Nishith Desai Associates: The Firm
nishithdesai.com
Diagrammatically represent H2 – O2 fuel cell and write the half cell ...
brainly.in
Electro Ink supplied with consumables by HP is Mixed Supply: AAAR
taxguru.in
3D CAD - 3DWorks Design Solutios | CAD | Computer aided design
3dwds.in
diagrammatically represent the effect of three different types of ...
brainly.in
Represent the digestive system of cockroach diagrammatically - CBSE ...
ask.learncbse.in
(ii) Represent diagrammatically the bond moments and the resultant ...
brainly.in
Meeting in the Middle: TVET Programs’ Education–Employment Linkage at ...
mdpi.com
Represent diagrammatically the bond moments and the resultant dipole ...
brainly.in
If this dipole were kept in a uniform external electric field e0 ...
brainly.in
what is vasodilation? diagrammatically represent the same - Brainly.in
brainly.in
Define aestivation. Explain different types of aestivation. - Brainly.in
brainly.in
Diagrammatically represent the effect of three different types of ...
brainly.in
Flexible Pavement Design | California Bearing Ratio Method with IRC ...
apsed.in
Diagrammatically represent the exchange of gases between blood ...
brainly.in
Buy Motherhood 3 Hearts Outline Temporary Tattoo / Cute Wrist Tattoo ...
etsy.com
an organism has two pair of chromosomes (I.e. chromosome number 4 ...
brainly.in
Describe the various types of placentations found in flowering plants ...
brainly.in
Represent the following information as diagrammatically, considering ...
brainly.in
The jumping frog Description: 1. Represent the given situation ...
brainly.in
Entity-Relationship (ER) Diagram Symbols and Notations | EdrawMax
edrawsoft.com
New picture - Design - Iconography | Freelancer
freelancer.in
3D CAD - 3DWorks Design Solutios | CAD | Computer aided design
3dwds.in
Describe the various types of placentations found in flowering plants ...
brainly.in
. Using the given blocks, represent the given number statement ...
brainly.in
Q1.Represent -2/3 and 1/2 on the same number line. - Brainly.in
brainly.in
With the help of a neat and well labelled diagram, explain all the ...
brainly.in
Class 12 Physics Previous Year Question Paper with Solution PDF
adda247.com
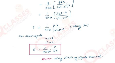
Class 12 CBSE Physics Board Questions Chapter Electric Charges and Fields
iqclasses.in
Class 12 CBSE Physics Board Questions Chapter Electric Charges and Fields
iqclasses.in
Q1) Represent the formation of HCl molecule from Hand Cl atoms ...
brainly.in
draw the diagram showing schematic representation of gaseous exchange ...
brainly.in
Diagrammatically represent the position of a dipole in (i) stable (ii ...
brainly.in
Maharashtrian Mangalsutra Designs (2024) | Buy Maharashtrian ...
manubhai.in
Describe the various types of placentations found in flowering plants ...
brainly.in
draw the diagram showing the electrolytic refining of copper - Brainly.in
brainly.in
Ecological pyramids — lesson. Science CBSE, Class 10.
yaclass.in
10th class biology you have touched a hot object; represent ...
brainly.in
Warfarin safe and effective option for managing hemodialysis patients ...
medicaldialogues.in
Kirchhoffs Current Law in physics: Definition, Types and Importance | AESL
aakash.ac.in
Solve this : c) If this dipole were kept in a uniform external electric ...
brainly.in
Class 12 CBSE Physics Board Questions Chapter Electric Charges and Fields
iqclasses.in
Diagrammatically show the difference between the three types of muscle ...
brainly.in
Represent the following data by an appropriate bar diagram? - CBSE ...
ask.learncbse.in
Trending 15 Tiger Tattoos for Men: Designs, Meanings and Placement Ide ...
mendeserve.com
Service tax on card-issuing bank for interchange fees: SC Delivers ...
taxguru.in
Show diagrammatically the behaviour - CBSE Class 12 Physics - Learn ...
ask.learncbse.in
[Best Answer] draw a graph showing variation of resistivity with temp ...
brainly.in
Buy Signature Logo Design Real Handwritting Style Personalized ...
etsy.com
Represent the stages of light reaction in the form of flow chart ...
brainly.in
1. THE JUMPING FROGDescription:1. Represent the given situation ...
brainly.in
Class 12 CBSE Physics Board Questions Chapter Electric Charges and Fields
iqclasses.in
Diagramatically show the difference amongst three types of muscle fibres.
esaral.com
Class 12 CBSE Physics Board Questions Chapter Electric Charges and Fields
iqclasses.in
Class 12 CBSE Physics Board Questions Chapter Electric Charges and Fields
iqclasses.in
Manubhai Jewellers | Gold & Diamond Jewellers in Borivali, Mumbai
manubhai.in
Creative clipart Images - Free Download on Freepik
freepik.com
3.Diagrammatically show the cross section of leaf. - Brainly.in
brainly.in
Pure Kanchipuram Pattu Saree | Silk Sarees Online - Sundari Silks
sundarisilks.com
Meeting in the Middle: TVET Programs’ Education–Employment Linkage at ...
mdpi.com
Class 12 CBSE Physics Board Questions Chapter Electric Charges and Fields
iqclasses.in
Class 12 CBSE Physics Board Questions Chapter Electric Charges and Fields
iqclasses.in
Class 12 CBSE Physics Board Questions Chapter Electric Charges and Fields
iqclasses.in
Only diagrammatically explain the steps of rDNA technology - CBSE Class ...
ask.learncbse.in
Minimal logo r design | Premium Vector
freepik.com
Rice yield per hectare is gievn below. Show the data diagrammatically ...
ask.learncbse.in
Sundari Silks: Pure Raw & Tussar Silk Sarees Online | Silk Sarees Onli…
sundarisilks.com
Oslo Design Fair - Gift and Interior 2024
ntradeshows.com
Related Searches
Diagrammatic Form
Diagrammatically Represent a Design
Draw Diagrammatically
Diagrammatically Illustrate
Diagrammatically Format
Diagrammatically Show the Difference
How to Show Five Components Diagrammatically
Diagrammatically Presentation
Diagrammatically Explain the Nitrogen Cycle
Diagrammatical Representation
Diagrammatic Reasoning
Diagrammatical Forms
Diagrammatically Terry McMorris
Show the Phases in a System Diagrammatically in Canva
Diagrammatic Notes
Diagrammatic Approach
Diagramatic View
Describe and Continue a Sequence Given Diagrammatically
Diagrammatic Representation Examples
Vector Addition and Subtraction Diagrammatically in Physics University
Diagrammatic Drawing
Diagrammatic Format
Diagrammatic Plan
Diagrammatically Represent the 2s
Parton Show Diagrammatically
Diagrammatically Visual Modality
Diagrammatic Representation
Diagrammatically Show the Difference Between the Three Types of Muscle Fibres
Diagrammatical Pattern
Diagrammatically Show the Difference Between the Three Types of Muscle Fibers
What Does a One Page Diagrammatically Look Like
Diagrammatic View
Diagrammatically Presnt Management Process in Details
WT20 Super 8 Diagrammatically
Represent Containers Diagramatically
Diagrammatically Show the Difference amongst Three Types of Muscle Fibres
Diagrammatically Show the Difference Between Three Types of Muscle Tissue
Diagrammatically Show the Diffrence Between the Three Types of Muscle Fibres
Diagrammatical Drawings
Diagrammatically Show the Difference Between Theeee Three Typpe of Muscles Fiber
Diagrammatically Represent
Diagramatically Represent SVMs
Diagrammatically Difference Between 3 Types of Muscle Fibers Class 9
Transmission Diagrammatically in a Chart Form
Diagrammatically Show the Varieties of Sorghum
Diagrammatically Represent an Economy in an Reccesionary Gap
Diagrammatically Mean an Economic in an Recessionary Gaps
Diagrammatic Reasoning Test
Diagrammatically Represent Information Transmission
Diagrammatically Represent the Working of a Pinch Glove
Search
×
Search
Loading...
No suggestions found