Find Your Style
Women
Men
Accessories
Search for clothing, brands, styles...
×
Women
Men
Accessories
Edurev Owner
Search
Loading...
No suggestions found
INR Full Form: What is full form of INR?
bankersadda.com
Anand Kamalnayan Pandit — INR 8,660 Cr (Sri Lotus Developers & Realty ...
economictimes.indiatimes.com
Badshah Flaunts Ultra-Rare Pink ‘Barbie' Rolex Worth INR 9 Crore ...
rozanaspokesman.com
Mindmap: Environment Notes | EduRev
edurev.in
How to use EduRev on laptop or PC? Video Lecture - EduRev Support ...
edurev.in
What is the full form of UK? - EduRev Class 3 Question
edurev.in
EduRev App for JEE NEET CAT GATE UPSC CBSE 6 to 12 - App on Amazon Appstore
amazon.in
What do you get under EduRev Infinity Package for Class 9? PDF Download
edurev.in
Mindmap: From Trade to Territory (The Company Establishes Power) Notes ...
edurev.in
Class 10 Exam Preparation App – Apps on Google Play
play.google.com
Mindmap: How, where, and when Notes | EduRev
edurev.in
Mind Map: Solutions Class 12 Notes | EduRev
edurev.in
Mindmap: New empires and Kingdoms Notes | EduRev
edurev.in
Mind Map: Locomotion & Movement Notes | EduRev
edurev.in
Mindmap: Separation of Substances Notes | EduRev
edurev.in
Mindmap: Drainage Notes | EduRev
edurev.in
Mind Map: Respiration in Plants Notes | EduRev
edurev.in
Mindmap: Moving Charges and Magnetism Notes | EduRev
edurev.in
Mindmap: Tribals, Dikus and the Vision of a Golden Age Notes | EduRev
edurev.in
Mindmap: New questions and Ideas Notes | EduRev
edurev.in
Mind Map: Biotechnology - Principle and Processes Notes | EduRev
edurev.in
Mindmap: Soil Notes | EduRev
edurev.in
Mindmap: The French Revolution Notes | EduRev
edurev.in
Mindmap: When People Rebel (1857 and After) Notes | EduRev
edurev.in
Parents Guide to EduRev Infinity
edurev.in
What is EduRev Infinity Package for CAT? What will I get after I ...
edurev.in
What do you get under EduRev Infinity Package for Class 4? - Parent's ...
edurev.in
EduRev awarded as the Startup of the Year 2019 at TieCon - Self Help ...
edurev.in
How to Study with EduRev Courses - Mathematics (Maths) Class 9 PDF Download
edurev.in
Financial Statements Of Sole Proprietorship - (Part - 1) Commerce Notes ...
edurev.in
Mindmap: Life Processes Class 10 Notes | EduRev
edurev.in
Mindmap: Light Notes | EduRev
edurev.in
What Parents Say About EduRev Infinity Package for Class 9 - Online MCQ ...
edurev.in
The Statement of Changes in Owner’s Equity - B Com PDF Download
edurev.in
The Statement of Changes in Owner’s Equity - B Com PDF Download
edurev.in
Mind Map: Perimeter and Area - Class 7 PDF Download
edurev.in
Mindmap: Weavers, Iron Smelters and Factory Owners - Class 6 to 12 ...
edurev.in
The Statement of Changes in Owner’s Equity - B Com PDF Download
edurev.in
Bhakti- Sufi Traditions Class 12 History
edurev.in
Mind Map: Microbes in Human Welfare Notes | EduRev
edurev.in
Class 7 Social Science Chapter 12 Mindmap - Understanding Markets
edurev.in
Mindmap: How do Organisms Reproduce? Class 10 Notes | EduRev
edurev.in
Odisha aids control society hiv patients in odisha aids patient with ...
edurev.in
Mind Map: Cell: The Unit of Life Notes | EduRev
edurev.in
Economics Optional for UPSC - Books, Notes, Tests 2025-2026 Syllabus
edurev.in
Mind Map: Weavers, Iron Smelters and Factory Owners - Class 8 PDF Download
edurev.in
Mindmap: Wind, Storms and Cyclones Notes | EduRev
edurev.in
EduRev App for JEE NEET CAT GATE UPSC CBSE 6 to 12 - App on Amazon Appstore
amazon.in
States of Matter and Its Properties Class 9 Notes | EduRev
edurev.in
Process Costing - Methods of Costing, Cost Accounting B Com Notes | EduRev
edurev.in
What does a course on EduRev look like? - EduRev UPSC Question
edurev.in
Nelson mandela said that the oppressor and the opressed both are robbed ...
edurev.in
Mindmap: Vital village and thriving town Notes | EduRev
edurev.in
Parent Guide to EduRev Infinity
edurev.in
Mind Map: Human Health and Diseases Notes | EduRev
edurev.in
Mindmap: Mechanical Properties of Solids Notes | EduRev
edurev.in
Mind Map: Cell Cycle & Cell Division Notes | EduRev
edurev.in
Mind Map: Morphology of Flowering Plants Notes | EduRev
edurev.in
Best GATE Data Science and Artificial Intelligence (DA) Study Material ...
edurev.in
Mind Map: Decimal Fractions - Mathematics Class 6 ICSE PDF Download
edurev.in
Statistics for SSC CGL - Complete SSC CGL Course - 69 videos, 90 docs ...
edurev.in
What do you get under EduRev Infinity Package for Class 3? - English ...
edurev.in
What do users say about EduRev Infinity Package for JEE? - Physics for ...
edurev.in
JEE Bible: 10 steps to clear JEE by Toppers (ranked under 100) - Mock ...
edurev.in
Mindmap: Reproductive Health NEET Notes | EduRev
edurev.in
Guesstimates - Books, Notes, Tests 2025-2026 Syllabus
edurev.in
What do you get under EduRev Infinity Package for Class 5? - Parent's ...
edurev.in
In odisha aids control society hiv patients in odisha aids control ...
edurev.in
NCERT Solutions for Class 4 EVS Chapter 7 - How Things Work
edurev.in
What all will you get under EduRev Infinity Package for JEE? - Mock ...
edurev.in
NCERT Solutions for Class 8 History - Weavers, Iron Smelters and ...
edurev.in
Mind Map: Silk Road - English Class 11 PDF Download
edurev.in
Mindmap: Kingdoms, Kings and Early Republic Notes | EduRev
edurev.in
Mindmaps for CTET
edurev.in
Indian Accounting Standards and IFRS - Crash Course for UGC NET ...
edurev.in
How EduRev Makes Learning Fun and Engaging for Class 4 Students? PDF ...
edurev.in
Mindmap: In the earliest cities Notes | EduRev
edurev.in
Mind Map: रेखाएँ और कोण - गणित (गणित प्रकाश ) कक्षा 6 - Class 6 PDF ...
edurev.in
Year 8 Computing IGCSE
edurev.in
Environment and Social Studies for Super TET - Books, Notes, Tests 2024 ...
edurev.in
Mindmap: Transportation in Animals and Plants Notes | EduRev
edurev.in
Tech Giant Google awards EduRev as the Best App of 2017 - Personal ...
edurev.in
Mind Map: Algebraic Expressions - Class 7 PDF Download
edurev.in
A commercial sample of hydrogen peroxide is labelled as 10 volumes.Its ...
edurev.in
Mindmap: Tracing Changes Through A Thousand Years Notes | EduRev
edurev.in
Mind Map: What do you get in the EduRev Infinity Package for ...
edurev.in
Computer Studies Class 3 ICSE
edurev.in
PPTs for NEET Preparation - Complete NEET Course - 75 docs - Top ...
edurev.in
what is the meaning of hail stone Related: Summary - A Letter to God ...
edurev.in
Detailed Summary: Verghese Kurien — I Too Had A Dream - English Class 8 ...
edurev.in
Schedule for NEET Exam PDF Download
edurev.in
Why the word "AMBULANCE" is written inverted in vehicles? - EduRev ...
edurev.in
Administrative Thought- IV - UPSC PDF Download
edurev.in
Microbiology
edurev.in
Using binomial theorem --Prove that 6^n - 5n always leaves remainder 1 ...
edurev.in
For digramatic study of Human Physiology Awantika Gupta shared https ...
edurev.in
Superficial meroblastic cleavage occurs ina)reptilesb)birdsc)mammalsd ...
edurev.in
EduRev featured in Times of India: EduRev helps student improve their ...
edurev.in
A long infinite current-carrying wire is bent in the shape as shown in ...
edurev.in
Mindmap: Nutrition in Plants Notes | EduRev
edurev.in
Mind Mapping Images - Organising Commerce Notes | EduRev
edurev.in
How to Prepare for PTE - Books, Notes, Tests 2025-2026 Syllabus
edurev.in
Mindmap: The Age of Industrialisation Class 10 Notes | EduRev
edurev.in
The Legacy of Baba Saheb Ambedkar - Gist of Rajya Sabha TV / RSTV (now ...
edurev.in
why we use in iupac naming [oic] like as methanoic anhydrides - EduRev ...
edurev.in
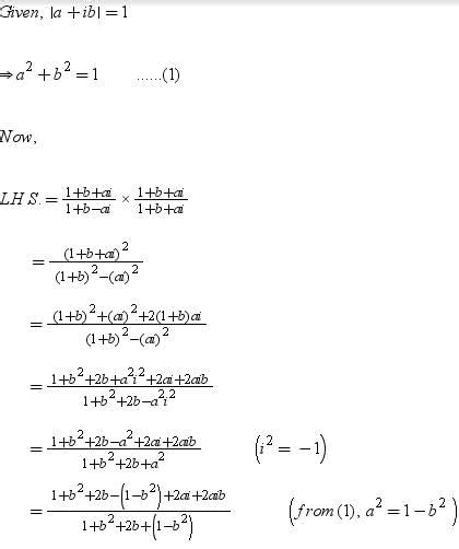
Please solve this question. If -a+ ib-= 1 , then show that 1+ b+ ai/1 ...
edurev.in
Three infinitely long charge sheets are placed as shown in figure. The ...
edurev.in
What users say about EduRev Infinity Package for GATE Exam - How to ...
edurev.in
Flashcards for Class 4
edurev.in
Geography for Grade 7 - Books, Notes, Tests 2025-2026 Syllabus
edurev.in
Mindmap: Magnetic Effects of Current Class 10 Notes | EduRev
edurev.in
Religious Studies for Year 5 - Books, Notes, Tests 2025-2026 Syllabus
edurev.in
What is a meani? - EduRev Class 6 Question
edurev.in
Hand written notes of conic section, important points? - EduRev Class ...
edurev.in
Physics for Grade 9
edurev.in
What do you get under EduRev Infinity for IELTS - Listening for IELTS ...
edurev.in
Language Arts for Grade 3 - Books, Notes, Tests 2025-2026 Syllabus
edurev.in
Mindmap: Water Notes | EduRev
edurev.in
Mindmap: Respiration in Organisms Notes | EduRev
edurev.in
What do you get in the EduRev Infinity Package for SSC CGL English ...
edurev.in
Related Searches
Edurev App
Edurev Class 10
Edurev Class 9
Edurev Logo
Edurev Poster
Edurev LPU
Edurev PNG Image
Edurev Coupon Code
Edurev Certificate
Edurev Logout
Edurev PhoneNo
Edurev Owner
Edurev Loga
Cat Edurev
Gate Exam Logo Edurev
Edurev Login
Edurev Free Gate
Edurev Kolkata
Edurev Mind Map
Edurev Logo Drawing
Edurev App Download for PC
Edurev Maths Class 4
Edurev Glider Joint
Edurev Flash Cards
Edurev Google Ads
UPSC Edurev App Logo
Mind Map for Fundamental Rights by Edurev
Edurev Logo in Grey
Edurev App for Class 6
Edurev 9th Coupon Codes
Who Created Edurev
Edurev Jamshedpur
Education App for Class 8 Edurev
Edurev Logo in Grey Color
Apple App Store Edurev
How to Attempt Tests On Edurev
Edurev Prehistoric Mind Map
Edurev Logo.png
Edurev Class 1 Mridang Worksheet Download Free
Edurev Ecosystem Mind Map
Edurev Mind Map Heredity
Class 12 Physics All Chapters Mind Maps Edurev
Edurev Class 8
Mind Map Components of Food Edurev
Edurev Link 1 to 12 Class
Water Class 7 Mind Map Edurev
Edurev Solutions Class 12Ctrochemistry Mind Map
All Edurev Mind Maps Class 9 Free Download
Edurev Class 7 Sci Transportation in Mind Map
Class 11 Chemistry All Chapters Mind Maps for Boards Edurev
Search
×
Search
Loading...
No suggestions found