Find Your Style
Women
Men
Accessories
Search for clothing, brands, styles...
×
Women
Men
Accessories
Entropy Records Logo
Search
Loading...
No suggestions found
Entropy | Special Issue : Statistical Machine Learning with High ...
mdpi.com
ENTROPY liminal CD(CRAZYSANE RECORDS・ CSR011) | TOO CIRCLE RECORDS
toocircle.thebase.in
Entropy | Aims & Scope
mdpi.com
Irenes Entropy Golf Play Day, PrairieView Golf Club, Byron, 13 July ...
allevents.in
Solved Anna University Problems on Entropy principles - Thermodynamics
mech.poriyaan.in
The Entropy Centre
me.ign.com
Solved Anna University Problems on Entropy principles - Thermodynamics
mech.poriyaan.in
Solved Anna University Problems on Entropy principles - Thermodynamics
mech.poriyaan.in
New study uses Shannon entropy to map electron behavior in graphene ...
researchmatters.in
Superman (2025): The James Gunn Film Records Highest-Ever Opening ...
in.ign.com
Solved Anna University Problems on Entropy principles - Thermodynamics
mech.poriyaan.in
BlazBlue Entropy Effect x Dead Cells: Official Crossover DLC Trailer
in.ign.com
Principle of increase of entropy
home.iitk.ac.in
Two mark Questions and Answers - Second Law and Entropy | Engineering ...
mech.poriyaan.in
BlazBlue: Entropy Effect x Dead Cells Crossover - Official Launch Trailer
in.ign.com
Entropy Balance - Thermodynamics
mech.poriyaan.in
Thermodynamics JEE Main Questions 2026: Important Practice Questions ...
collegedekho.com
Record DFA 127 Battery Pack | Record
recorddoors.com
BlazBlue Entropy Effect - Official Couch Co-Op & Dead Cells Crossover ...
in.ign.com
4 Applied-Thermodynamics 1-5 - Applied Thermodynamics Applied ...
studocu.com
Record Portes Automatiques Office Photos | Glassdoor
glassdoor.co.in
New Criminal Laws
cytrain.ncrb.gov.in
NEET PHYSICS CHAPTER 8 : Thermodynamics
neetphysicsclasses.in
Thermodynamics Physics Class 11 - Questions, practice tests, notes for ...
edurev.in
Solved Anna University Problems on Entropy principles - Thermodynamics
mech.poriyaan.in
On a Generalization of the Jensen–Shannon Divergence and the Jensen ...
mdpi.com
Nobel World Records Private Limited felicitated with the title of ...
aninews.in
Details
miraclesworldrecords.com
Applied Thermodynamics - Course
onlinecourses.nptel.ac.in
Solved Anna University Problems on Entropy principles - Thermodynamics
mech.poriyaan.in
The Entropy Centre Review
in.ign.com
Guinness World Record officially names Monday 'worst day of the week ...
freepressjournal.in
Solved Anna University Problems on Entropy principles - Thermodynamics
mech.poriyaan.in
SATHEE: Thermodynamics
satheejee.iitk.ac.in
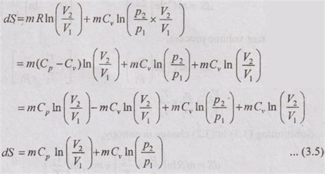
Entropy Relations (Tds Equations) - Thermodynamics
mech.poriyaan.in
SATHEE: Thermodynamics
satheejee.iitk.ac.in
Record of Ragnarok
in.ign.com
Buy Thermodynamics: An Engineering Approach (SIE) Book Online at Low ...
amazon.in
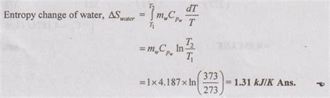
Thermodynamics-entropy change - Entropy Change The Entropy change comes ...
studocu.com
Concepts of entropy, enthalpy, and internal energy | iexam
iexam.in
Solved Anna University Problems on Entropy principles - Thermodynamics
mech.poriyaan.in
Competency-Based Learning Model: What is it?
schoolofscholars.edu.in
Entropy Relations (Tds Equations) - Thermodynamics
mech.poriyaan.in
Applications of Second Law of Thermodynamics or Applications of Entropy ...
mech.poriyaan.in
Entropy Change of Ideal Gas
mech.poriyaan.in
BlazBlue: Entropy Effect X
in.ign.com
Solved Problems on Entropy - Thermodynamics
mech.poriyaan.in
Mind Map: Entropy - Thermodynamics - Mechanical Engineering PDF Download
edurev.in
DTO vs Record in Java: Which Should You Use?
blog.ashutoshkrris.in
Solved Problems on Entropy - Thermodynamics
mech.poriyaan.in
A Review of Black Hole Thermodynamics and Future Frontiers
ahduni.edu.in
Solved Anna University Problems on Entropy principles - Thermodynamics
mech.poriyaan.in
BlazBlue: Entropy Effect x Dead Cells Crossover - Official Launch Trailer
in.ign.com
Solved Anna University Problems on Entropy principles - Thermodynamics
mech.poriyaan.in
Solved Problems on Entropy - Thermodynamics
mech.poriyaan.in
Solved Anna University Problems on Entropy principles - Thermodynamics
mech.poriyaan.in
How to Build a Records Management Strategy from Scratch | AvePoint India
avepoint.com
Dj Logo Vector Images (over 16,000)
vectorstock.com
Solved Problems on Entropy - Thermodynamics
mech.poriyaan.in
Absolute Thermodynamic Temperature Scale
mech.poriyaan.in
Governance logo Images - Free Download on Freepik
freepik.com
Templeton's Mark Mobius and others back express bike cleaning machine ...
techcircle.in
@entropy_intelligence — Teletype
teletype.in
Partners | Welcome to STPI Octane| Internetworked North East CoEs to ...
octane.stpi.in
Solved Problems on Entropy - Thermodynamics
mech.poriyaan.in
Solved Anna University Problems on Entropy principles - Thermodynamics
mech.poriyaan.in
Solved Problems on Entropy - Thermodynamics
mech.poriyaan.in
Nearly 3.5 crore voter records matched with 2002 data in Bengal ahead ...
theweek.in
Ripple Junction Death Row Records White Logo Adult Crew Neck Sweatshirt ...
desertcart.in
Entropy Relations (Tds Equations) - Thermodynamics
mech.poriyaan.in
Solved Anna University Problems on Entropy principles - Thermodynamics
mech.poriyaan.in
Entropy
home.iitk.ac.in
Entropy Relations (Tds Equations) - Thermodynamics
mech.poriyaan.in
𝐄𝐧𝐭𝐫𝐨𝐩𝐲 The secon... | Quotes & Writings by Shraddha Kumawat | YourQuote
yourquote.in
Solved Problems on Entropy - Thermodynamics
mech.poriyaan.in
PRF
patanjali.res.in
Solved Problems on Entropy - Thermodynamics
mech.poriyaan.in
Engineering Thermodynamics - Course
onlinecourses.nptel.ac.in
Maximum Entropy Model For Sense Tagging - HindiTech
hinditech.in
Principle of Increase of Entropy
mech.poriyaan.in
Entropy Change of Ideal Gas
mech.poriyaan.in
Thermodynamics - Solved Problems in Chemical Engineering - msubbu
msubbu.in
Solved Problems on Entropy - Thermodynamics
mech.poriyaan.in
Пытаемся получить WL от Entropy — Teletype
teletype.in
दुनिया के 20 मजेदार और अजीबोगरीब वर्ल्ड रिकॉर्डस | 20 Most Weird and ...
besthindifacts.in
Solved Problems on Entropy - Thermodynamics
mech.poriyaan.in
Entropy: a Property of the System
mech.poriyaan.in
Entropy Change of Ideal Gas
mech.poriyaan.in
The R&A - Golf
randa.org
Guinness World Records 2025 : Guinness World Records: Amazon.in: Books
amazon.in
Applications of Second Law of Thermodynamics or Applications of Entropy ...
mech.poriyaan.in
Introduction of Scout and Guide at J. R. Public School | J. R. Public ...
jrpschool.in
Entropy Change of Ideal Gas
mech.poriyaan.in
Handwritten Notes: Entropy - Thermodynamics - Mechanical Engineering ...
edurev.in
Login | Record Tunes
recordtunes.in
The Limca Book Of Records Unveils Its 2024 Edition
thenewsagency.in
One Piece Manga Sells 500 Million Copies, Setting Guinness World Record
in.ign.com
Entropy: a Property of the System
mech.poriyaan.in
Jaipur Farmers Flag Land Record Tampering – Shunyatax Global
shunyatax.in
Punjab & Haryana HC Allows ED to Inspect Records in Amarinder Singh ...
lawbeat.in
Working at Off the Record | Glassdoor
glassdoor.co.in
Applications of Second Law of Thermodynamics or Applications of Entropy ...
mech.poriyaan.in
First Law of Thermodynamics - Equation, Derivation, Limitations
careerpower.in
Entropy in Chemistry: Definition, Types and Importance | AESL
aakash.ac.in
Log On
skc.regai.in
Tom Corson and Aaron Bay-Schuck - Variety Hitmakers Executives of the Year
warnerrecords.com
Applications of Second Law of Thermodynamics or Applications of Entropy ...
mech.poriyaan.in
Record - Upskill your career
app.getrecord.in
Entropy Change of Ideal Gas
mech.poriyaan.in
Applications of Second Law of Thermodynamics or Applications of Entropy ...
mech.poriyaan.in
Log Based Recovery - Log-Based Recovery o The log is a sequence of ...
studocu.com
Until Rust @ Entropy Brew Co. , 26 South Main St, Miamisburg, Oh, 4 ...
allevents.in
ME Sec 3C TS: For GATE 2026 Aspirants
me.mait.ac.in
Entropy Reusable Cable 3.5m (1/box), Patient Monitoring | GE HealthCare ...
services.gehealthcare.in
Plz give explanation for entropy change in reversible and irreversible
scoop.eduncle.com
Entropy Change of Ideal Gas
mech.poriyaan.in
Entropy: a Property of the System
mech.poriyaan.in
Record - Upskill your career
app.getrecord.in
Entropy Change of Ideal Gas
mech.poriyaan.in
Records
wgbis.ces.iisc.ac.in
Related Searches
Entropy Inc. Logo
Entropy Zero Logo
Entropy Symbol
Entropy Clip Art
Justice League Entropy Logo
Entropy PNG Logo
Entropy Artwork
Entropy Cartoon
Entropy Equation
Entropy Disorder
Walking Entropy Logo
Maximum Entropy Logo
Anti Entropy Logo
Change in Entropy Equation
Azm Entropy Logo
Low Entropy
High Entropy
Entropy Centre Logo
Entropy Examples
Entropy Restaurant Logo
Entropy Sign
Entropy Logo with Qunatum
Entropy Korea Logo
Boltzmann Entropy
Honkai Logo
Entropy Animation
High Entropy Alloys
Entropy Energy Logo
Entropy Software Logo
Entropy Records Logo
Entropy Authentication Logo
Entropy Graphic
Houkai Entropy Logo Emblem
Logo of Entropy Labs India
Chaos Entropy
BSI Entropy Logo
Table of Entropy
Entropy Zero 2 Logo Transparent
Iiitg Entropy Logo
Entropy Inc. Canada Logo
Entropy Calgary Logo
Entropy Flag
Information Entropy Logo.png
Entropy Sports Racer
Entropy Logo Thermodynamics
Entropy Door Glass
Deorro Logo
Entropy Carbon Capture Logo
Entropy Simbol
Entropy Emoji
Search
×
Search
Loading...
No suggestions found