Find Your Style
Women
Men
Accessories
Search for clothing, brands, styles...
×
Women
Men
Accessories
Eoq Sum Questions
Search
Loading...
No suggestions found
The compound interest on a sum of INR 25000 at 8% per annum is INR 6492 ...
brainly.in
For calculating Economic Order Quantity (EOQ), you are given the ...
scoop.eduncle.com
How to calculate economic order quantity in cost accounting? - Brainly.in
brainly.in
What is Economic Order Quantity & How to Calculate | Amazon Business
business.amazon.in
Economic Ordering Quantity (EOQ) model
projectguru.in
EOQ question solution - Auto company touchscreen monitors - An ...
studocu.com
Economic Order Quantity Guide: Definition and Formula (2022) - Shopify ...
shopify.com
Capital Budgeting - Sums for practice and enhance writing skills ...
studocu.com
COST OF Capital - FM - FM decision making based sums - QUESTIONS ...
studocu.com
estimate first then write the sum of oris difference find the sum to ...
brainly.in
Top 10 Excel Formulas Interview Questions and Answers - 1) Excel SUM ...
studocu.com
Count and sum problems - Exercises on Sum and Count Functions The ...
studocu.com
Model question paper- 6th semester b com degree examination - Bachelor ...
studocu.com
Numerical ai - ai sums - Q5. Attempt All the Questions. 5(a) Explain ...
studocu.com
Model question paper- 6th sem b com-1 - Bachelor of commerce (bcom ...
studocu.com
View question - determine the sum of the first fourteen terms of ...
web2.0calc.com
Sequence-series - JEE Advanced Previous Year Questions with Solutions
esaral.com
Eng - Sem3 - UNIVERSITY QUESTIONS ESSAY TYPE QUESTIONS Q. 1. Sum up the ...
studocu.com
7 (iii) , 8 (i) and (ii) and all sums of 9 and question no . 10 and 11 ...
brainly.in
Solve 4 sums plsI give 5 point each questions - Brainly.in
brainly.in
6 Journal Entries ques - Questions for practice of tally step by step ...
studocu.com
Excel formulas interview questions - 1) SUM formula: =SUM (C2,C3,C4,C5 ...
studocu.com
Sum, Difference, Product, Quotient - Vocab/Practice Questions | TPT
teacherspayteachers.com
Please solve these algebra sums - Brainly.in
brainly.in
Question .Bank . Engineering Mechanics - QUESTION BANK PART B 1 sum of ...
studocu.com
GST Example Sum - 7 in Tally Prime Tamil
tutorjoes.in
View question - Complex sum
web2.0calc.com
Solved: SAT Practice 2 F w o tme now - C Question 13 64x^2-(16a+4b)x+ab ...
gauthmath.com
6 Journal Entries ques - Questions for practice of tally step by step ...
studocu.com
State and prove the angle sum property of a triangle - CBSE Class 7 ...
ask.learncbse.in
If the sum of first even natural numbers is equal to k times the sum of ...
edurev.in
Chapter 2 Linear Equations in One Variable
manabadi.co.in
Limit - JEE Advanced Previous Year Questions with Solutions
esaral.com
👉 Sums to Infinity – Prior Knowledge Test
twinkl.co.in
find the sum of the following algebra expression. - Brainly.in
brainly.in
Grade 4 Multiplication and Division Story Sums Activity Sheet
twinkl.co.in
A sum amounts to Rs3605 in 219 days at 5% per annum. The sum is
toppr.com
The sum of three terms of a strictly increasing G.P. is alpha S and sum ...
toppr.com
maths sum ch 3 pair of linear equations in two variables class 10 ...
brainly.in
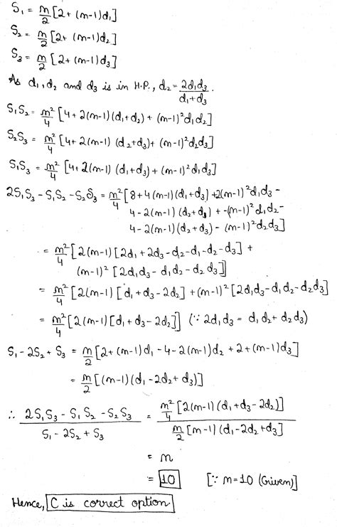
If S1,S2 and S3 denote the sums up to to 10 terms of three sequences in ...
toppr.com
sums chapter 1 DWM - Module 1: Exercise Question with answers Q1. A ...
studocu.com
Find the sum of sequence, 7, 77, 777, 7777..... to n terms ??? - Brainly.in
brainly.in
The sum and product of the zeroes of a quadratic polynomial are 3 and ...
brainly.in
GST Example Sum - 6 in Tally Prime Tamil
tutorjoes.in
Budgetary control Practice sums - Illustration 18. JK Ltd sells two ...
studocu.com
class 6th math lead book 2 geometry practice questions 1 sum is 1.6 1.7 ...
brainly.in
solve the sum question please - Brainly.in
brainly.in
Limit - JEE Advanced Previous Year Questions with Solutions
esaral.com
Sum of all three digit multiples of 3 - Brainly.in
brainly.in
GST Example Sum - 7 in Tally Prime Tamil
tutorjoes.in
Problem Solving Using Mass: Activity Sheet
twinkl.co.in
Sum, Difference, Product, Quotient - Vocab/Practice Questions | TPT
teacherspayteachers.com
sums chapter 1 DWM - Module 1: Exercise Question with answers Q1. A ...
studocu.com
i want answee for this question..... please send wih steps . two sums ...
brainly.in
Can anyone pls help me out in these sums.. .(Questions are Attached.Pls ...
brainly.in
4. Pair Sum - This is a Dsa question for creation pair - Pair Sum Send ...
studocu.com
11th Maths Public Exam Last Minute Study Questions, Practice Sums EM ...
material.kalvikadal.in
solve limit sum question - Brainly.in
brainly.in
View question - Let $a$, $b$, $c$, $d$, and $e$ be positive integers ...
web2.0calc.com
Class 3 Maths - Money - Question Answers
edurev.in
WACC Questions - sums - WACC Questions Hankins Corporation has 5 ...
studocu.com
question attached. kindly help me to do all of these sums... - Brainly.in
brainly.in
Answer this question correctlyI will mark you brainliest - Brainly.in
brainly.in
sums chapter 1 DWM - Module 1: Exercise Question with answers Q1. A ...
studocu.com
[Video] If a,b,c and d are integers such that their sum is 46, then the ...
cracku.in
sums chapter 1 DWM - Module 1: Exercise Question with answers Q1. A ...
studocu.com
I m new.plz help me in this assignment. and i always solved sum ...
brainly.in
View question - Σ Infinite Sum
web2.0calc.com
why we add cos theta on both sides of equation in trigonometry in some ...
brainly.in
Using Abacus do the following Sums in 2 minutes 01
theopenbook.in
[tex]subtract \: the \: sum \: of \: 13x + 4y - 7z \: and \: - 6z + 6x ...
brainly.in
Sums - Practice these sums - 11. then find the 4 Marks Questions 23 ...
studocu.com
Economic Order Quantity - Its Importance and Calculation
navi.com
View question - Sums
web2.0calc.com
sums chapter 1 DWM - Module 1: Exercise Question with answers Q1. A ...
studocu.com
Using Abacus do the following Sums in 2 minutes
theopenbook.in
if r value is less than 1 then finding the sum of infinite geometric ...
brainly.in
physics class 10 light reflection and Refraction numerical sums(no ...
brainly.in
Limit - JEE Advanced Previous Year Questions with Solutions
esaral.com
sums chapter 1 DWM - Module 1: Exercise Question with answers Q1. A ...
studocu.com
Sums on Material Costing: Economic Order Quantity Calculations - Studocu
studocu.com
2.2linear equations and also ch2. 2x-1= 14-X6. - 2x - 5 = 5x - 12 ...
brainly.in
Solve this Sum .Question 3 Only.[ Class 10th ] [NCERT] - Brainly.in
brainly.in
sums chapter 1 DWM - Module 1: Exercise Question with answers Q1. A ...
studocu.com
Heya... What number divided by 520 gives the same quotient as 85 ...
brainly.in
maths addition sums sorry for giving questions so late ANY 5 SUMS SOLVE ...
brainly.in
sums chapter 1 DWM - Module 1: Exercise Question with answers Q1. A ...
studocu.com
👉 Sums to Infinity Question and Example Pack
twinkl.co.in
Examine the tableWhat can you say about the angle sum of a convex ...
toppr.com
10th Social Science Full Portion Question Paper - 5 EM 2024 | Kalvi ...
material.kalvikadal.in
Please solve all the sums properly there are only four question those ...
brainly.in
Tally WITH GST - TALLY WITH GST QUESTIONS- [ GSTIN/UIN NO ...
studocu.com
View question - For each integer $n$, let $f(n)$ be the sum of the ...
web2.0calc.com
Decision making - Extra sums - 4Tsha Runwala Question 75 Satish ...
studocu.com
Financial Management-Question Bank - Financial Management-Question Bank ...
studocu.com
omtex.co.in : HSC MATHS OCTOBER 2015 PAPER SOLUTION SUM NO. 1 SUB ...
omtex.co.in
Ratios sums - sums - Question 1 From the following information, prepare ...
studocu.com
HEY EVERYBODY PLEASE SOLVE THE FOLLOWING QUESTIONS T=2π√Lg T ( THE SUM ...
brainly.in
[Video] The difference between compound and simple interests on a ...
cracku.in
Education: HSC MATHS OCTOBER 2015 PAPER SOLUTION SUM NO. 1 SUB QUESTION ...
omtex.co.in
Magic Mental Maths: Quick Questions and Fun Sums! : Amazon.in: Books
amazon.in
Arithmetic Questions PDF | Application Sums
pdf.exampundit.in
maths sums for class 6 - Brainly.in
brainly.in
CLIMATE SUMS 1. Study the climatic data and answer the following ...
brainly.in
sums chapter 1 DWM - Module 1: Exercise Question with answers Q1. A ...
studocu.com
Arithmetic Questions PDF | Application Sums
pdf.exampundit.in
[Video] A tea shop offers tea in cups of three different sizes. The ...
cracku.in
Data sums - Just some solved questions of BDA - DATE ) Date PAGE N ...
studocu.com
question attached. kindly help me to do all of these sums... - Brainly.in
brainly.in
A sum of money is invested at 20% compound interest(compounded annually ...
brainly.in
solve the question no. 5th all sums please solve them all (I) (ii) (iii ...
brainly.in
GP Formula- Sum of n Terms, Sum of Infinite GP
adda247.com
Income Tax Law and Tax Planning - Questions and Answers - Ans: Tax ...
studocu.com
Consider a cuboid all of whose edges are integers and whose base is a ...
tardigrade.in
Top 10 Excel Formulas Interview Questions and Answers - 1) Excel SUM ...
studocu.com
a certain sum amount to Rs 12960 at compound interest in 2 year and rs ...
brainly.in
if s1,s2,s3...sp are the sum of infinite geometric series whose first ...
brainly.in
Using Abacus do the following Sums in 2 minutes
theopenbook.in
Can anyone pls help me out in these sums.. .(Questions are Attached.Pls ...
brainly.in
Related Searches
EOQ Model
EOQ Equation
EOQ Example
EOQ Formula
EOQ Questions and Answers
EOQ Curve
EOQ Books
Sample EOQ
Rop EOQ
EOQ Concept
EOQ Problems
Examples of EOQ Questions
Simple EOQ Formula
EOQ Formula Calculator
EOQ Sum Questions
EOQ Graphical Representation
EOQ in Accounting
Optimal Order Quantity
EOQ Exercise
Economic Order Quantity EOQ
Inventory Questions
EOQ with Discount
EOQ Backorder
EOQ Details
EOQ in Cost Accounting
Total Ordering Cost Formula
All Types of EOQ Questions and Comparison
What Is Economic Order Quantity Formula
EOQ Classification
Eqiup Questions
EOQ with Back Order Formula
EOQ Calculation Examples
How to Calculate Optimal Order Quantity
EOQ Model Assumptions
Basic EOQ Formula
Number of Orders Formula
EOQ Table Questions with Answers Price per Tonne Discount Questions
EOQ Sample Calculations
How to Find the EOQ
Inventory Management Question
Economic Order Quantity Exercises
Multi-Item EOQ with Storage Limitation
EOQ Maths
EQ Questions and Answers
Economic Order Quantity Average Inventory
EOQ
Formula for EOQ
Reorder Point EOQ
EOQ Calculation Formula
Simple EOQ Model
Search
×
Search
Loading...
No suggestions found