Find Your Style
Women
Men
Accessories
Search for clothing, brands, styles...
×
Women
Men
Accessories
Eurofarma Factories
Search
Loading...
No suggestions found
Samsung Reaffirms Commitment to India with INR 1588 Crore Investment to ...
news.samsung.com
QP CMA 14 - Q Direct Wages INR 2,05,000 and Factory Cost INR 5,60,000 ...
studocu.com
8 Inr Exports Jobs vacancies in India - Jan (2026)
foundit.in
IIT Madras MBA Placements: Check Highest Package- INR 29.65 LPA ...
collegesearch.in
Samsung Reaffirms Commitment to India, Will Invest INR 4,915 Crore in ...
news.samsung.com
Kia India introduces new HTE (EX) trim for Carens Clavis at INR 1.25 ...
msn.com
3F Oil Palm invest INR 250 CR in state-of-the-art integrated oil palm ...
agritimes.co.in
RoadGrid secures INR 120 million in pre-series A funding
msn.com
Bajaj Chetak C25 launched at INR 91,399
msn.com
8 Inr Exports Jobs vacancies in India - Jan (2026)
foundit.in
Eurofarma | LinkedIn
ea.linkedin.com
Strategy & Performance Highlights FY 2022 - 23 | Hindustan Unilever ...
hul-performance-highlights.hul.co.in
Industries
fischer-power-solutions.com
Overview of Process for Establishing a Manufacturing Unit in India
taxguru.in
Re-imagining HUL | Hindustan Unilever Limited (HUL)
hul-performance-highlights.hul.co.in
Food Manufacturer Improves Safety and Productivity | Rockwell ...
rockwellautomation.com
Factories and agencies of european companies in india during 1705 on ...
brainly.in
US Manufacturing Workforce Percentage: Key Stats and Insights for 2025
falconproducts.co.in
Sustainable manufacturing: Optimizing material and energy consumption
blog.skanem.in
On an outline map of India mark the trading centers established by the ...
brainly.in
Top 10 High Voltage ESS Battery Manufacturers in India 2025 - Aqueouss
aqueouss.in
Trust On A Jeans And A Nice Top To Never Disappoint For A Casual Night ...
grazia.co.in
Factories Act 1948: An Act Focussing on Labour and Employment ...
getlegalindia.com
Occupier under The Factories Act, 1948
legalbites.in
educationalTours
yatratourism.in
India calling: Decoding the country’s electronics manufacturing journey ...
pwc.in
Factories Licensing and Registration Approval
lawgicaladda.in
Definition of Factory under Factories Act 1948 - Enterslice
enterslice.com
This Is Why Shenzhen Is Known As The World's Factory - MobyGeek.com
mobygeek.com
Mercedes-Benz India Private Limited, Pune | Mercedes-Benz Group ...
group.mercedes-benz.com
Best Truck Manufacturer: List of Top 10 Truck Manufacturers in India
godigit.com
Welingkar Institute of Management - NewsWire
newswire.nokomis.in
International Trade Settlement in Indian Rupee (INR)
taxguru.in
Duties of Welfare Officer under Factories Act - Enterslice
enterslice.com
Trust On A Jeans And A Nice Top To Never Disappoint For A Casual Night ...
grazia.co.in
Ordnance Factories Day 2024 in India
currentaffairs.adda247.com
Trust On A Jeans And A Nice Top To Never Disappoint For A Casual Night ...
grazia.co.in
Nike Factory Store - Jasola. Delhi, IND. Nike.com IN
nike.com
India's Ordnance Factories Day 2023: 18th March
currentaffairs.adda247.com
Chinese Exports: How Chinese factories are finding their way to Mexico ...
economictimes.indiatimes.com
Buy Factory Style Spoiler made for the 2011-2018 Nissan Juke Painted in ...
ubuy.co.in
Buy Robe Factory Marvel Thor Hammer Tool Set 'Officially Licensed ...
ubuy.co.in
Buy Willy Wonka Chocolate Factory Nestle Products Online | Ubuy India
ubuy.co.in
Latest Mobiles Online on Ubuy India - Best Prices
ubuy.co.in
Latest Mobiles Online on Ubuy India - Best Prices
ubuy.co.in
Latest Mobiles Online on Ubuy India - Best Prices
ubuy.co.in
Latest Mobiles Online on Ubuy India - Best Prices
ubuy.co.in
Buy Tokusou Sentai Dekaranger Complete Series Products Online | Ubuy India
ubuy.co.in
Xiaomi: Get Latest Buzz, Updates, Gossip, Photos & Videos
mensxp.com
Nostalgic Shows From Discovery & History TV18 - Storishh
storishh.in
Ferias de Transporte y logística en España
nferias.com
Buy Carlinkit Products Online at Best Prices in India | Ubuy
ubuy.co.in
Buy ACANII - For [Factory Halogen Model] 2006-2008 Audi A4 S4 Black OE ...
ubuy.co.in
Advanced Factories 2026
ntradeshows.com
Factory for Rent in Ecotech-2 Greater Noida | Warehouse | Shed
propworld.in
Contextualising Indian Manufacturing | Economic and Political Weekly
epw.in
India’s Manufacturing Growth Slowdown a Decadal Problem
thewire.in
How to Set Up a Manufacturing Company in Malaysia - Enterslice
enterslice.com
Duties of Occupier under Factories Act 1948 - Enterslice
enterslice.com
MSMEmart India - Indian Manufacturers, Suppliers, Buyers, Tenders ...
msmemart.com
Omkara Capital - Indian Equity Research
omkaracapital.in
Uses and SideEffects of Warfarin: What You Need to Know
medicoverhospitals.in
Cosmetic Manufacturing Licence - Ayurved Master
ayurvedmaster.in
China’s mining giants Bitmain, Canaan, and MicroBT set up US factories ...
cryptopanic.com
Fishbone Diagram for Manufacturing: Purpose and How to Use It
edrawmind.wondershare.com
N E V E X in Pune
nevex.in
Manufacturing Day Data Release
content.govdelivery.com
Once known for its sweatshops, Bangladesh is becoming a hub of ...
scroll.in
Buy Tokusou Sentai Dekaranger Complete Series Products Online | Ubuy India
ubuy.co.in
Australian Shares Reach 50-Day Peak; James Hardie to Close California ...
in.marketscreener.com
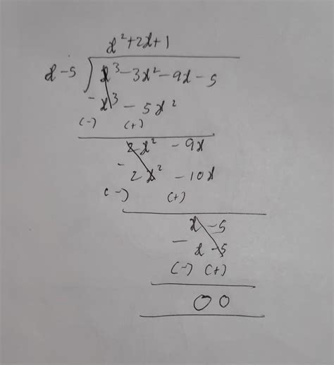
x^3-3x^2-9x-5 factories by long division method class 9please - Brainly.in
brainly.in
Best ERP software for manufacturing in India | LightHouse ERP
lighthouseindia.com
The 5 Leading Semiconductor Manufacturers Today - EE Times Asia
eetasia.com
Manufacturing Surabaya Series 2026
ntradeshows.com
Latest Mobiles Online on Ubuy India - Best Prices
ubuy.co.in
Toxic Gases: The Inhalable Poison | Its Sources, Causes & Effects | AQI
aqi.in
in order to meet the ever increasing demand in factories or for shelter ...
brainly.in
Unit-7 - Legal - The Factories Act, 1948 UNIT 7 THE FACTORIES ACT, 1948 ...
studocu.com
Premium Designer Kurti Set – thewardrobefactory
thewardrobefactory.in
Organograma da Empresa de Manufatura - EdrawMind
edrawsoft.com
Corporate Uniforms: Buy Office and Corporate Staff Workwear
uniformmanufacturer.co.in
India@2047 - PwC India
pwc.in
Fertigungsprozess Flussdiagramm Leitfaden
edrawsoft.com
Latest Mobiles Online on Ubuy India - Best Prices
ubuy.co.in
Advanced Factories 2026
nfiere.com
LPG Cylinder
hemkundgroup.in
Radhika Lifestyle Shuag Vol 1 Fancy Kurti Combo 8 pcs Catalogue
wholesalefactory.in
Classic Banana Split & Ice Cream Cookie Sandwich at Rock Stone Ice ...
lbb.in
GARMENT SOLUTIONS
thegarmentsolution.com
Shop Pagers Online | Ubuy India
ubuy.co.in
Top 10 Crane Manufacturers in India
constructionworld.in
Fertigungsprozess Flussdiagramm Leitfaden
edrawsoft.com
Fertigungsprozess Flussdiagramm Leitfaden
edrawsoft.com
Alok Suit Mehwish Edition 3 Fancy Work Rayon Salwar Suit Suppliers
wholesalefactory.in
Buy Bluey Nana & Bluey Playset. Moose Toys. New & Factory Sealed Online ...
ubuy.co.in
Reliance New Energy Projects: Reliance Industries launches 20 GW solar ...
manufacturing.economictimes.indiatimes.com
Deeptex Classic Chunaris Vol 36 Cotton Dress Material 10 pcs Catalogue
wholesalefactory.in
Finally, HAL helicopter factory in Tumakuru ready for operations; 1st ...
timesofindia.indiatimes.com
Suryajyoti Kalavati Vol 1 Modal Silk Dress Material 8 pcs Catalogue
wholesalefactory.in
Conveyor Belt Manufacturers in India: Top 7 Manufacturers in India
okcredit.in
Royal Faiza Vol 7 Printed Cotton Dress Material Wholesale Price
wholesalefactory.in
Kavya Deepika Vol 55 Capsule Kurti Combo 10 pcs Catalogue
wholesalefactory.in
Inflation or disinflation - Where are dollar & rupee moving? - The ...
economictimes.indiatimes.com
Buy Douglas Laboratories Cal-6 + Mg | Six-Source Calcium Complex with ...
ubuy.co.in
Shop Pagers Online | Ubuy India
ubuy.co.in
Screening of Colors of Love - Queer Film Festival 2026, Veda Black Box ...
allevents.in
Modular Conveyor Belt - Stainless Steel Conveyor Belt Manufacturer from ...
allayindustries.in
Zulfat Meenakaari Jam Cotton Dress Material 6 pcs Catalogue
wholesalefactory.in
Mayur Gulshan Vol 2 Unstitch Pure Cotton Suit Catalog Wholesalers
wholesalefactory.in
Free History Timeline Template & Examples | EdrawMind
edrawmind.wondershare.com
demand supply News and Updates from The Economic Times - Page 1
economictimes.indiatimes.com
Gold Drop Cooking Oil - Sunflower, 1L Pouch : Amazon.in: Grocery ...
amazon.in
20 Laboratory apparatus and Their uses - Scientific Equipment
sciencequipment.in
Transformer Manufacturers In Pune, Transformer Mumbai India
transformersinpune.co.in
Vandana Fashion Pakiza Vol 8 Soft Cotton Dress Material 8 pcs Catalogue
wholesalefactory.in
Fertigungsprozess Flussdiagramm Leitfaden
edrawsoft.com
Zetwerk Group Company Commissions Manufacturing Facility for IoT ...
mmindia.co.in
How Indian Rupee Stands Against Other Major Currencies
indiatimes.com
Related Searches
Eurofarma Logo
Eurofarma Brazil
Eurofarma PNG
Eurofarma Products
Eurofarma Produção
Eurofarma Medicamentos
Organograma Eurofarma
Eurofarma Itapevi
Bonsono Eurofarma
Pronol Eurofarma
Fundo Eurofarma
Eurofarma Pylori
Eurofarma Generico
TriCOX Eurofarma
Eurofarma Sao Paulo
Eurofarma Productos
Antiacido Liquido Eurofarma
Eurofarma Icon
Alprazolam Eurofarma
Eurofarma Brasil
Eurofarma Chile
Manufatura Eurofarma
Terza Eurofarma
Fundo Tela Eurofarma
Eurofarma Campo Belo
Eurofarma Plant
Eurofarma Thuốc
Foto Eurofarma
Eurofarma Factories
Produtos Eurofarma
Zolnox Eurofarma
Eurofarma Dono
Eurofarma Logomarca
Logotipo Eurofarma
Eurofarma Inhaler
Eurofarma Novo Logo
Eurofarma Belo Horizonte
Dueco Eurofarma
Dualgi Eurofarma
Peglax Eurofarma
Eurofarma Parodocs
Eurofarma Mexico
Zoldipino Eurofarma
Eurofarma Laboratorios SA
Meriofert Eurofarma
Line Up Eurofarma
Lugano Eurofarma
Bilie Eurofarma
Eurofarma OTC
Venlaxin
Search
×
Search
Loading...
No suggestions found