Find Your Style
Women
Men
Accessories
Search for clothing, brands, styles...
×
Women
Men
Accessories
Exponential Integral Curves
Search
Loading...
No suggestions found
Application of Integrals Road Maps - Mathematics-I - Area under simple ...
studocu.com
Mathematics | January-1 2024 - Browse Articles
mdpi.com
The area enclosed between the curve y2(2a-x)=x3 and the line x = 2 ...
tardigrade.in
Application of Integrals Class 12 Notes for IIT JEE
esaral.com
50+ derivatives of integral functions worksheets for 10th Class on ...
wayground.com
Line integral - module 7 - Line An integral evaluated over a curve C is ...
studocu.com
Black Hole as a Quantum Field Configuration
mdpi.com
The area bounded the curve y2 = 16x and line y =mx is (2/3), then m is ...
tardigrade.in
Study the population growth curves shown in the above diagram. Which ...
tardigrade.in
First Method
ee32-iitb.vlabs.ac.in
Application of Integrals Class 12 Notes for IIT JEE
esaral.com
Application of Integrals Class 12 Notes for IIT JEE
esaral.com
Application of Integrals Class 12 Notes for IIT JEE
esaral.com
Hydrogen Embrittlement Evaluation of Micro Alloyed Steels by Means of J ...
mdpi.com
All Integration Formulas- PDF, List, Sheet for Class 12
adda247.com
Application of Integrals Class 12 Notes for IIT JEE
esaral.com
Letc1 : x2 + y2 = 1 andbe the curves from(-1,0,2) to (1,0,2 ...
edurev.in
Example Area between two curves - Application of Integrals Video ...
edurev.in
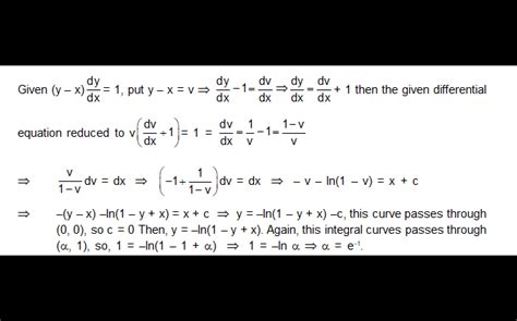
If an integral curve of the differential equation
scoop.eduncle.com
Application of Integrals Class 12 Notes for IIT JEE
esaral.com
Application of Integrals Class 12 Notes for IIT JEE
esaral.com
The area bounded by the curves y=x2 and y=(2/(1 + x2)) is
tardigrade.in
Arc length of curves and surface of Solids of revolution (Integrals ...
amazon.in
Application of Integrals Class 12 Notes for IIT JEE
esaral.com
Delhi NCR Sales Skyrocket: The Curve of Exponential Growth
demo.geetanjalihomestate.co.in
Application of Integrals Class 12 Notes for IIT JEE
esaral.com
Application of Integrals Class 12 Notes for IIT JEE
esaral.com
Application of Integrals Class 12 Notes for IIT JEE
esaral.com
Learning Curve Definition - India Dictionary
1investing.in
Hydrogen Embrittlement Evaluation of Micro Alloyed Steels by Means of J ...
mdpi.com
If an integral curve of the differential equation +y logy = xyex passes ...
scoop.eduncle.com
*. ihe integral curves of the equation p + 29 5z + cosh(2x - y) are ...
scoop.eduncle.com
Geometric Series Formula - Meaning, Formula , Applications And FAQs
pw.live
Application of Integrals Class 12 Notes for IIT JEE
esaral.com
Differentiation Formulas, Definition, Chart, PDF, Solved Examples
adda247.com
Probability Analysis of a Stochastic Non-Autonomous SIQRC Model with ...
mdpi.com
Hydrogen Embrittlement Evaluation of Micro Alloyed Steels by Means of J ...
mdpi.com
The area bounded by the curves y = lnx, y = ln |x|,y = | ln x | and y ...
tardigrade.in
Integrals - NCERT Book of Class 12 Mathematics Part II
betrained.in
Calculator Plugins : NMR Predictor
scfbio-iitd.res.in
The area bounded by the curves y = cos x and y = sin x between the ...
tardigrade.in
Probability Analysis of a Stochastic Non-Autonomous SIQRC Model with ...
mdpi.com
Hydrogen Embrittlement Evaluation of Micro Alloyed Steels by Means of J ...
mdpi.com
AuthentiKine™ Human IL-10 ELISA Kit Elisa Kit KE00170 | Proteintech
ptglab.com
Hydrogen Embrittlement Evaluation of Micro Alloyed Steels by Means of J ...
mdpi.com
Closed curve line integrals of conservative vector fields Video Lecture ...
edurev.in
Integration of Tan x - Explanation, Formula, Proof, Examples
adda247.com
Hydrogen Embrittlement Evaluation of Micro Alloyed Steels by Means of J ...
mdpi.com
Mathematics | June-2 2023 - Browse Articles
mdpi.com
Materials | Special Issue : Stress-Corrosion Cracking in Materials
mdpi.com
Find the angle btw the radius vector and tangent of curve r=(1-sin ...
brainly.in
Hydrogen Embrittlement Evaluation of Micro Alloyed Steels by Means of J ...
mdpi.com
Buy A Treatise on the Integral Calculus, Vol. 1: Containing an ...
amazon.in
Simplify and express each of the following in the exponential form ...
brainly.in
Probability Analysis of a Stochastic Non-Autonomous SIQRC Model with ...
mdpi.com
Singular Solutions of First Order ODEs - 1 - Mathematics for IIT JAM ...
edurev.in
ATP, the 31P Spectral Modulus, and Metabolism
mdpi.com
Hydrogen Embrittlement Evaluation of Micro Alloyed Steels by Means of J ...
mdpi.com
Probability Analysis of a Stochastic Non-Autonomous SIQRC Model with ...
mdpi.com
Exponential Organizations 2.0: The New Playbook for 10x Growth and ...
amazon.in
Energy Sources Generation and Energy Cascades along the Kuroshio East ...
mdpi.com
numerical_integrator
physics.iisc.ac.in
Hydrogen Embrittlement Evaluation of Micro Alloyed Steels by Means of J ...
mdpi.com
Find the angle between the curves r=a/1 cos theta and r=a/1-cos theta ...
brainly.in
Buy Wavelets and Singular Integrals on Curves and Surfaces (Lecture ...
amazon.in
Find the Angle between the two polar Curves of r=aSin 2theta r=acos ...
brainly.in
Find the angle between radius vector and tangent r=a(1+sin theta ...
brainly.in
Hydrogen Embrittlement Evaluation of Micro Alloyed Steels by Means of J ...
mdpi.com
solveintegrate 1/((1 + x) * sqrt(3 + 2x - x ^ 2)) dx - Brainly.in
brainly.in
Change the Cartesian integral into an equivalent polar integral. Then ...
ask.learncbse.in
Eighth Grade Simplifying Exponential Expressions Using Exponent Rules Task
twinkl.co.in
Find the angle between the radius vector and tangent for the following ...
brainly.in
Buy Solving Problems in Mathematical Analysis, Part III: Curves and ...
desertcart.in
Buy Graphical Models, Exponential Families, and Variational Inference ...
amazon.in
Simplify and write in exponential form - Brainly.in
brainly.in
Exponents Worksheet | Senior Phase | Twinkl SA - Twinkl
twinkl.co.in
the angle of intersection of curves r= sin+cos and r=2sin - Brainly.in
brainly.in
find the angle between the polar curves r=a(1-costheta) and r=(1 ...
brainly.in
(1/3) ^-5 × (2/3) ^-2Simplify and write each of the following in ...
brainly.in
Hydrogen Embrittlement Evaluation of Micro Alloyed Steels by Means of J ...
mdpi.com
If the midpoint of the line segment joining the point A(3, 4)&B(K, 6 ...
brainly.in
P Sastry - Teaching
cmi.ac.in
simplify [(2/3)^5]^-5 in exponential form - Brainly.in
brainly.in
Buy Linear Integral Equations: Theory and Technique Book Online at Low ...
amazon.in
Calculator Plugins : NMR Predictor
scfbio-iitd.res.in
Hydrogen Embrittlement Evaluation of Micro Alloyed Steels by Means of J ...
mdpi.com
find the angle of intersection of the curves r=asin2 and r=acos2 in ...
brainly.in
Calculator Plugins : NMR Predictor
scfbio-iitd.res.in
simpilify and write in exponential notation [tex] {(2)}^{5} \times ...
brainly.in
Hydrogen Embrittlement Evaluation of Micro Alloyed Steels by Means of J ...
mdpi.com
Mean Stress Effect on the Axial Fatigue Strength of DIN 34CrNiMo6 ...
mdpi.com
Hydrogen Embrittlement Evaluation of Micro Alloyed Steels by Means of J ...
mdpi.com
Find all positive integral values of a between 100 and 200 for which ...
brainly.in
Draw radial probability distribution curves for 3s and 4d orbitals ...
brainly.in
Solved: What do Abraham Maslow's and Carl Rogers's theories have in ...
gauthmath.com
5.Computer Graphics Curve - 1 - Computer Graphics Curves In computer ...
studocu.com
P Sastry - Teaching
cmi.ac.in
Hydrogen Embrittlement Evaluation of Micro Alloyed Steels by Means of J ...
mdpi.com
Secure Communication in Cooperative SWIPT NOMA Systems with Non-Linear ...
mdpi.com
108 × 192 as a product of prime factors in the exponential form ...
brainly.in
Evaluate the expression for x =4 1/3. 9x + 4 - Brainly.in
brainly.in
Solve the linear programming problem: max Z=x+2y subject to constraints ...
tardigrade.in
Calculator Plugins : NMR Predictor
scfbio-iitd.res.in
Difference Between Short Run and Long Run Costs
navi.com
Hydrogen Embrittlement Evaluation of Micro Alloyed Steels by Means of J ...
mdpi.com
P Sastry - Teaching
cmi.ac.in
108 × 192 as a product of prime factors in the exponential form ...
brainly.in
The coordinate of the midpoint of a line segment joining P(5,7) and Q ...
brainly.in
Calculator Plugins : NMR Predictor
scfbio-iitd.res.in
Calculator Plugins : NMR Predictor
scfbio-iitd.res.in
write in the exponential form - Brainly.in
brainly.in
Nature of polygon — lesson. Mathematics CBSE, Class 8.
yaclass.in
Maruti dealers and showrooms in Ahmedabad | Kiran Maruti
kiranmotors.co.in
simplify and write this in exponential form (2³ x 2)² - Brainly.in
brainly.in
Exponential Office Photos
glassdoor.co.in
state true or false the exponential form of 64 is 2* - Brainly.in
brainly.in
Calculator Plugins : NMR Predictor
scfbio-iitd.res.in
Energy Sources Generation and Energy Cascades along the Kuroshio East ...
mdpi.com
Materials | Special Issue : Stress-Corrosion Cracking in Materials
mdpi.com
Related Searches
Exponential Integral Chart
Sine Integral
Exponential Integral Table
Exponential Function Parts
Exponential Function Base
Exponential Integral Formula
Integral of Exponential Function Examples
Exponential Fourier Transform
Integral Exponential Power
Exponential Function Identities
Gaussian Integral
Exponential Integral Example
Antiderivative of Exponential Function
Definite Integral Table
Exponent Rule Integral
Trig Integral Table
Cosine Integral Function
Natural Exponential Function
Inverse Trig Integrals
Logarithmic Integral
Integral Exponents
Complex Exponential Integral
Decreasing Exponential Graph
Exponential Integral Function Notation
Common Integrals Table
Cosine Integration
Gamma Function Integral
Standard Integral Table
Exponential Function Equation
Integral of Exponential Equations
Basic Trigonometric Integration Formulas
E X Integral
Exponential Regel Integral
Integral of Exponential Square
Exponential Integral Proof
Integral of Hyperbolic Cosine
Exponential Infinity
Exponential Growth and Decay Worksheet
Derivative Integral Graph
Plot Integral
Multiplication of Exponential Integral
Exponential Integral Curves
Table of Useful Exponential Integral
Exponential and Logarithmic Functions Integral
Math Exponents Rules Chart
Trigonometric Substitution Hyperbolic
Intgeral of E
Exponential Integral Values Grafik
Quadratic Expotential Integral
Integral Formula Sheet Exponential Functions
Search
×
Search
Loading...
No suggestions found