Find Your Style
Women
Men
Accessories
Search for clothing, brands, styles...
×
Women
Men
Accessories
Galvanometer Deflection Graph
Search
Loading...
No suggestions found
In the network shown cell E has internal resistance r and the ...
tardigrade.in
HSSLIVE XII: Galvanometer Half Deflection Method Study - Studocu
studocu.com
In the arrangement shown below, deflection in galvanometer will be ...
brainly.in
In an experiment to determine the resistance of a galvanometer by half ...
tardigrade.in
Galvanometer HALF- Deflection Method CBSE WITH DATA - GALVANOMETER HALF ...
studocu.com
Galvanometer – A Device to Detect Electric Current in Physics ...
aakash.ac.in
Moving magnet in a fixed conductor — lesson. Science CBSE, Class 10.
yaclass.in
611068129 Half Deflection Method for Galvanometer Resistance - Studocu
studocu.com
Physics,Class:-12th,Aim:-To Determine Resistance of a Galvanometer By ...
quizlet.com
Figure (i) below shows a Wheatstone's bridge in which P, Q, R and S are ...
tardigrade.in
To determine the resistance of a galvanometer by half deflection method ...
brainly.in
o the given figure, when galvanometer shows n deflection, the current ...
brainly.in
If n represents the actual number of deflections in a converted ...
edurev.in
How to determine the resistance of a galvanometer by half deflection ...
brainly.in
A moving coil galvanometer gives a full scale deflection of 30 when ...
tardigrade.in
The deflection in a moving coil galvanometer falls from 50 divisions to ...
tardigrade.in
In an experiment to determine the resistance of a galvanometer by half ...
allen.in
A galvanometer of resistance 50 Ω is connected to a battery of 3 V ...
tardigrade.in
A tangent galvanometer shows a deflection of
esaral.com
A short bar magnet passes at a steady speed right through a long ...
tardigrade.in
The deflection in a galvanometer falls to 1/4th of its initial value ...
tardigrade.in
A galvanometer having full scale deflection current of 10 mA and ...
tardigrade.in
A galvanometer gives full scale deflection of 1 volt when acting like a ...
tardigrade.in
The deflection of a moving coil galvanometer falls from 60 divisions to ...
tardigrade.in
A short bar magnet passes at a steady speed right through a long ...
tardigrade.in
The deflection in a galvanometer falls from 50 divisions to 20 ...
tardigrade.in
A galvanometer of resistance 50 Ω giving full-scale deflection for a ...
tardigrade.in
When shunt of 4 Ω is attached to a galvanometer, the deflection in the ...
tardigrade.in
In the given circuit, the galvanometer G will show zero deflection if ...
brainly.in
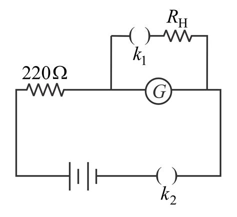
As shown in the figure initially switch k1 is open and k2 is closed and ...
tardigrade.in
A galvanometer coil has a resistance of 12 Q - CBSE Class 12 Physics ...
ask.learncbse.in
A teacher in his physics laboratory allotted an experiment to determine ...
tardigrade.in
A galvanometer coil of 50 ohm resistance shows full scale deflection ...
brainly.in
A galvanometer coil has a resistance of 15 Ω and gives full scale ...
tardigrade.in
The galvanometer deflection, when key K1 is closed but K2 is open ...
tardigrade.in
A short bar magnet passes at a steady speed right through a long ...
tardigrade.in
100mA current gives full scale deflection in a galvanometer 2 ohm ...
brainly.in
To Study Earth’s Magnetic Field Using Tangent Galvanometer Project PDF ...
knowledgecycle.in
A galvanometer of resistance 50 Ω is connected to a battery of 3 V ...
tardigrade.in
The deflection in a galvanometer falls to 1/4th of its initial value ...
tardigrade.in
Effect of damping
cts.iitkgp.ac.in
A short bar magnet passes at a steady speed right through a long ...
tardigrade.in
A galvanometer gives full scale deflection with 0.2 A in a coil shown ...
tardigrade.in
Virtual Labs
asnm-iitkgp.vlabs.ac.in
In the given circuit, the galvanometer G will show zero deflection if
tardigrade.in
In the network shown cell E has internal resistance r and the ...
edurev.in
A galvanometer coil has a resistance of 15 ohm and it shows full scale ...
brainly.in
A galvanometer gives full scale deflection of 1 volt when acting like a ...
tardigrade.in
In the circuit, the galvanometer G shows zero deflection. If the ...
tardigrade.in
A galvanometer of resistance 50 Ω is connected to a battery of 3 V ...
tardigrade.in
The galvanometer deflection, when key K₁ is closed but K₂ is open ...
brainly.in
Moving Coil Galvanometer Investigatory Project PDF class 12 » Knowledge ...
knowledgecycle.in
What is the value of unknown resistance R, if galvanometer shows null ...
tardigrade.in
Theory and Procedure, Figure of Merit of a Galvanometer - Physics Class ...
edurev.in
The figure below shows that a bar magnet is pushed inside a coil ...
brainly.in
A galvanometer gives full scale deflection with 0.2 A in a coil shown ...
tardigrade.in
The deflection in a galvanometer falls to 1/4th of its initial value ...
tardigrade.in
A moving coil Galvanometer of resistance 100 Ω is used as an ammeter ...
tardigrade.in
Q11 A galvanometer of resistance 100 Ω gives a full-scale deflection ...
iqclasses.in
Virtual Labs
bop-iitk.vlabs.ac.in
A galvanometer has a resistance of 5 ohms and give a full scale ...
brainly.in
A galvanometer of resistance 20 W gives a full scale deflection when a ...
tardigrade.in
A moving coil galvanometer, having a resistance G, produces full scale ...
tardigrade.in
The deflection in a moving coil galvanometer falls from 50 divisions to ...
tardigrade.in
If n represents the actual number of deflections in a converted ...
tardigrade.in
As shown in the figure initially switch k1 is open and k2 is closed and ...
tardigrade.in
A galvanometer of resistance 50 Ω is converted into an ammeter by ...
tardigrade.in
When a galvanometer is shunted by 5 o resistance, the deflection is ...
brainly.in
What will be the direction of needle deflection in galvanometer ...
brainly.in
A galvanometer has a coil of resistance 100 ohm and gives a full scale ...
brainly.in
A galvanometer gives full scale deflection with 0.006 A current. By ...
tardigrade.in
Theory and Procedure, Figure of Merit of a Galvanometer - Physics Class ...
edurev.in
A galvanometer of resistance 100 Ω gives full scale deflection for 20 ...
tardigrade.in
One of the circuits for the measurement of resistance by potentiometer ...
tardigrade.in
A galvanometer has a resistance of 30 Ω and a current of 2.0 mA gives ...
tardigrade.in
In which direction will the galvanometer deflection be, when the magnet ...
tardigrade.in
A galvanometer has an internal resistance of 50 ohm and current ...
brainly.in
when galvanometer shows zero31) For the which value of Resistance R ...
brainly.in
To find the resistance of a galvanometer by the half deflection method ...
tardigrade.in
Theory and Procedure, Figure of Merit of a Galvanometer - Physics Class ...
edurev.in
Question 4.27: A galvanometer coil has a resistance of 12 Ω and the ...
brainly.in
To know the resistance G of a galvanometer by half deflection method, a ...
tardigrade.in
A galvanometer gives full scale deflection with 0.2 A in a coil as ...
tardigrade.in
To know the resistance G of a galvanometer by half deflection method, a ...
tardigrade.in
A galvanometer of resistance 50 Ω is connected to a battery of 3 V ...
tardigrade.in
Tangent Galvanometer Experiment - Construction & Working || Class 12 ...
esaral.com
A galvanometer of resistance 50 Ω is connected to a battery of 3 V ...
tardigrade.in
A moving coil galvanometer has a resistance of 10 Ω and full scale ...
tardigrade.in
In the circuit, the galvanometer G shows zero deflection. If the ...
tardigrade.in
When a galvanometer is shunted by 5 Ω resistance, the deflection is ...
tardigrade.in
A galvanometer has a resistance of 40 ohms and a current of 4mA is ...
brainly.in
In the figure there is no deflection in the galvanometer. Then R is ...
tardigrade.in
A galvanometer of 50 Ω resistance has 25 divisions. A current of 4 × 10 ...
tardigrade.in
In the shown arrangement of the experiment of the meter bridge if AC ...
tardigrade.in
A galvanometer coil has a resistance 90 Ω and fullscale deflection ...
tardigrade.in
A galvanometer of resistance 100ohm gives full scale deflection for ...
brainly.in
In the set-up given below, observe the deflection in the galvanometer ...
brainly.in
Figure (i) below shows a Wheatstone's bridge in which P, Q, R and S are ...
tardigrade.in
A galvanometer has a resistance of 40 ohms and a current of 4mA is ...
brainly.in
When a galvanometer is shunted by 5 Ω resistance, the deflection is ...
tardigrade.in
Theory and Procedure, Figure of Merit of a Galvanometer - Physics Class ...
edurev.in
A galvanometer having a coil resistance 100 Ω gives a full scale ...
tardigrade.in
In a circuit for finding the resistance of a galvanometer by half ...
edurev.in
In the arrangement shown in figure when the switch `S_2` is open, the ...
allen.in
One of the circuits for the measurement of resistance by potentiometer ...
tardigrade.in
Two identical moving coil galvanometer have 10 andOmega; resistance and ...
edurev.in
Theory and Procedure, Figure of Merit of a Galvanometer - Physics Class ...
edurev.in
The value of R for which deflection in galvanometer g is zero - Brainly.in
brainly.in
TSW Deflection Magnetometer/Tangent Galvanometer Compass Box : Amazon ...
amazon.in
In a circuit for finding the resistance of a galvanometer by half ...
edurev.in
In the given figure, describe the deflection in the galvanometer (i ...
brainly.in
How to determine the resistance of a galvanometer by half deflection ...
brainly.in
A galvanometer coil has a resistance of 12 and the metre shows full ...
philoid.in
In the circuit diagrams (A, B, C, and D) shown below, R is a high ...
edurev.in
which electrical phenomenon is responsible for deflection of ...
brainly.in
In the figure as the current changes in coil 1 the galvanometer ...
brainly.in
CBSE 10th Standard Science Subject Magnetic Effects of Electric Current ...
qb365.in
Calculate the total resistance between point A and B as shown in the ...
brainly.in
When shunt of 4 Ω is attached to a galvanometer, the deflection in the ...
tardigrade.in
In the circuit, the galvanometer G shows zero deflection. If the ...
tardigrade.in
Related Searches
Galvanometer Circuit Diagram
Mirror Galvanometer
Moving Coil Galvanometer
Galvanometer Construction
Half Deflection Method Galvanometer
Galvanometer Formula
Galvanometer Deflection Graph
Tangent Galvanometer
Moving Coil Galvanometer GIF
D Arsonval Galvanometer Diagram
Figure of Merit of Galvanometer
Galvanometer Physics
Pivoted Coil Galvanometer
Galvanometer Equation
Galvanometer Needle
Galvanometer Experiment
Galvanometer Direction
Galvanometer Constant
Galvanometer Compass
Galvanometer as Ammeter
Galvanometer Scale
Galvanometer Deflection Change with Time Graph
Center Zero Galvanometer
Early Galvanometer
Galvanoscope
Working Moving Coil Galvanometer
Deflection Magnetometer
A Graph of Galvanometer Deflection vs Current
Galvanometer Parts
Galvanometer Readings
In a Moving Coil Galvanometer the Deflection Furmula
Galwano Meter
Full-Scale Deflection in Galvanometer Diagram
Centre Zero Galvanometer
Galvanometer Deflection Change with Time Waveform Graph
Half Deflection Method Galvanometer Apparatus
Cuurent vs Galvanometer Deflection Graph
Galvanometer Internal Structure
A Graph of Deflection Against Current in a Moving Coil Galvanometer
Deflection Shown On Tangent Galvanometer
What Is a Galvanometer
Charge a Sphere Galvanometer Deflection Experiment
D'Arsonval Movement
To Find the Resistance of Galvanometer by Half Deflection Meter Diagram
Visual Representation of Deflection of Galvanometer in a Closed Circuit
Galvanometer and Shunt Formula
For the Following Diagram the Galvanometer Shows Zero Deflection
صور عن مضوع the Sensitivity of Galvanometer
Two Diagrams Showing Galvanometer Deflection for Each Direction of the Current
Null Type Galvanometer
Search
×
Search
Loading...
No suggestions found