Find Your Style
Women
Men
Accessories
Search for clothing, brands, styles...
×
Women
Men
Accessories
Gca Atrofia Cerebral
Search
Loading...
No suggestions found
Brain Sync Price | SYNCBRAIN Price Index, Live Chart and INR Converter ...
binance.com
Masala Oats+ | Tata Soulfull | INR 209/- only
soulfull.co.in
Philips Remote Inr Order Form - Fill Online, Printable, Fillable, Blank ...
pdffiller.com
Atrofia Cerebral: Causas, Sintomas, Diagnóstico, Tratamento
medicoverhospitals.in
Resuscitation and Initial Management After Moderate-to-Severe Traumatic ...
mdpi.com
Black Blood imaging | Philips
philips.co.in
What is Guillain-Barre Syndrome, neurological condition affecting 59 ...
msn.com
126GeV's Profile - MyAnimeList.net
myanimelist.net
Buy Beating POLYMYALGIA RHEUMATICA (PMR) AND GIANT CELL ARTERITIS (GCA ...
desertcart.in
Antiplatelet Versus Anticoagulation for Asymptomatic Patients with ...
mdpi.com
Ischemic Stroke Pathophysiology and Preclinical Models | Encyclopedia MDPI
encyclopedia.pub
Antiplatelet Versus Anticoagulation for Asymptomatic Patients with ...
mdpi.com
Anticoagulation in Acute Pulmonary Embolism: Which Drug? How Long ...
universimed.com
Antiplatelet Versus Anticoagulation for Asymptomatic Patients with ...
mdpi.com
Antiplatelet Versus Anticoagulation for Asymptomatic Patients with ...
mdpi.com
Antiplatelet Versus Anticoagulation for Asymptomatic Patients with ...
mdpi.com
Functional connectivity changes in the brain after meditation: study ...
dst.gov.in
Antiplatelet Versus Anticoagulation for Asymptomatic Patients with ...
mdpi.com
Antiplatelet Versus Anticoagulation for Asymptomatic Patients with ...
mdpi.com
Build-a-Brain: The Brilliance of Cerebral Organoids
iit-techambit.in
GCA
gca.org.in
Pregnancy and Covid 19 Revealing Moyamoya Syndrome
ospublishers.com
एमिग्डाला हाईजैक: कैसे डील करें इस हाईजैक को? - हैलो स्वास्थ्य
helloswasthya.com
Buy Sagittal Section of Brain in Situ Poster 2022 Trending Anatomy ...
etsy.com
Вредно ли употреблять марихуану? — Teletype
teletype.in
An Unusual Association: Tuberculous Meningitis Causing Cerebral Venous ...
casereports.in
Buy Management of Cerebral Aneurysms Book Online at Low Prices in India ...
amazon.in
Stimolazione cerebrale profonda: preparazione, procedura e recupero
medicoverhospitals.in
Atrofia cerebral: síntomas, causas y tratamientos
medicoverhospitals.in
Cerebral Palsy Resource Center
everydayhealth.com
World Cerebral Palsy Day 2022
medicircle.in
Atrofia cerebral: síntomas, causas y tratamientos
medicoverhospitals.in
Section 6 of GCA – Section 6: Effect Of Repeal | GCA | KanoonGPT
kanoongpt.in
Buy PINAKEN Brain Bridge Multicolour Two-Zip Pouch from Pinaken at just ...
homecentre.in
Control the Elder Brain - bg3.wiki
bg3.wiki
GCA
gca.org.in
GCA
gca.org.in
Buy PINAKEN Brain Bridge Multicolour Printed Card Wallet from Pinaken ...
homecentre.in
GCA
gca.org.in
India's Leading Online Shopping Store in Mumbai for Top International ...
ubuy.co.in
Cerebral Palsy: Causes, Symptom and Treatment
godigit.com
Cerebral Citadel Armour - bg3.wiki
bg3.wiki
विश्व सेरेब्रल पाल्सी दिवस : 2022
thinkwithniche.in
Best Pediatric Cerebral Palsy Care Treatment in India
medicoverhospitals.in
Scientists complete first map of an insect brain | Hub
hub.jhu.edu
India's Leading Online Shopping Store in Mumbai for Top International ...
ubuy.co.in
Note on cerebral palsy of the nervous system - NOTE ON CEREBRAL PALSY ...
studocu.com
Cerebral Palsy - Cell Therapy
neurogen.in
Buy Cerebral Palsy: A Practical Guide Book Online at Low Prices in ...
amazon.in
Buy PINAKEN Brain Bridge Cycle Multicolour Printed Cosmetic Bag from ...
homecentre.in
¿Cómo evitar la disfunción del diafragma en pacientes con ventilación ...
lavanguardia.com
Diagram Of Brain - Structure, Part Of Brain
pw.live
Cerebral palsy :: Dr Deepak khurana- Paediatric Orthopaedic Surgeon
jcpods.in
Buy Current Clinical Neurology: Deep Brain Stimulation in Neurological ...
ubuy.co.in
Cerebral Palsy - Cell Therapy
neurogen.in
World Cerebral Palsy Day 2022, Theme, History & Significance
bankersadda.com
GCA
gca.org.in
Emotional Healing After Brain Surgery: Stay Mentally Strong
medicoverhospitals.in
Atrofia: tipos, causas, síntomas, diagnóstico y tratamiento
medicoverhospitals.in
Buy Brain Booster Supplement - Fast Absorption Nootropics for Focus ...
ubuy.co.in
World Cerebral Palsy Day 2022: Theme, History & Significance
currentaffairs.adda247.com
Rivaroxaban superior to enoxaparin at preventing VTE after orthopedic ...
medicaldialogues.in
Buy Posture and Movement of the Child With Cerebral Palsy Book Online ...
amazon.in
Buy Nadovim – 200mg NAD Supplement | Real NAD | Superior to NR ...
ubuy.co.in
helpBIOTECH
helpbiotech.co.in
Developmental delays detected early could be signs of cerebral palsy ...
thehealthsite.com
What is the Brain? For Kids | Information and Resources
twinkl.co.in
MOTOR AREAS OF THE CEREBRAL CORTEX: Buy MOTOR AREAS OF THE CEREBRAL ...
flipkart.com
Diwali 2019: Buy Diwali Gifts From Kshitij | LBB, Mumbai
lbb.in
India's Leading Online Shopping Store in Mumbai for Top International ...
ubuy.co.in
Buy PINAKEN Brain Bridge Cycle Multicolour Printed iPad And Tablet ...
homecentre.in
Atrofia cerebral: causas, síntomas, diagnóstico y tratamiento
medicoverhospitals.in
GCA Launcher è un nuovo launcher amico dei dispositivi meno performanti
tuttoandroid.net
Pediatric Neurology : Cerebral Palsy : Cerebral Palsy Patient Education ...
pediatriconcall.com
GCA
gca.org.in
Human Brain Diagram, Parts and Functions
careerpower.in
Buy Fyeme SmartGames IQ Six Pro Portable Smartgames IQ Puzzler Pro ABS ...
ubuy.co.in
India shining: Rupee inches closer to becoming international currency ...
timesnownews.com
Learn how to protect your loved ones in case of death or disability ...
allevents.in
Waters in Indonesian village turn red as floods hit dye-manufacturing ...
businessworld.in
Buy PINAKEN Brain Bridge Multicolour Two-Zip Pouch from Pinaken at just ...
homecentre.in
Buy Diagnostic Cerebral Angiography Books Online at Bookswagon & Get ...
bookswagon.com
Draw a labelled diagram of human brain and mention the functions ...
ask.learncbse.in
Games Trade Shows in Singapore
ntradeshows.com
Elder Brain - bg3.wiki
bg3.wiki
ज्योतिरादित्य सिंधिया ने लॉन्च किया e-GCA, अब एक प्लेटफॉर्म पर मिलेंगी ...
hindi.news18.com
Best Brain Foods: Foods To Improve Memory And Brain Function
bajajfinservhealth.in
Why the human brain has shrunk
msn.com
Girls’ Trio from Port Blair & Delhi and Boy Wonders from Hyderabad ...
news.samsung.com
Ospemifeno: primer tratamiento oral para la atrofia vaginal | Tu canal ...
tucanaldesalud.com
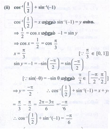
பயிற்சி 4.2: கொசைன் சார்பு மற்றும் நேர்மாறு கொசைன் சார்பு (The Cosine ...
brainkart.in
Buy Child/Adult Fully Lying Aluminum Alloy Wheelchair, Stroke ...
desertcart.in
How Old Was Iggy Azalea When She Had Her Baby? To Restore Photos With ...
ixd.anu.edu.in
Buy Cerebral Palsy: Problems and Practice Book Online at Low Prices in ...
amazon.in
Latest Car & Bike News & Reviews | BBC Topgear India Magazine
topgearmag.in
Buy Gimnasia cerebral/ Cerebral Gymnastics (Salud/ Health) Book Online ...
amazon.in
SAFETIME Functional Nutrition MAGTEIN Magnesium L Threonate Cognitive ...
amazon.in
Jay Shah's journey as cricket administrator listed - From GCA board ...
sportingnews.com
Best International Online Shopping Store in Chennai for Global Brands ...
ubuy.co.in
Lodha Crown Khoni bypass Lodha Crown Taloja Rent - WITHOUT BROKERAGE ...
nobroker.in
Buy Bukefuno GAN 11 Air 3x3 Magic Speed Cube Puzzle Magic GAN11 Air 3x3 ...
ubuy.co.in
GCA Professional Services Group Reviews | Glassdoor
glassdoor.co.in
India's Leading Online Shopping Store in Mumbai for Top International ...
ubuy.co.in
What is Cerebral Palsy? - Cerebral Palsy Teaching Wiki
twinkl.co.in
If you can’t redeem your Apple Gift Card, App Store Card or App Store ...
support.apple.com
Objetivos en una investigación: ¿Cómo formular en la tesis?
normasapa.in
Maruti Wagon R On Road Price in Ahmedabad, Navsari, Vadodara, Vapi ...
maruti.kataria.co.in
Cerebral Citadel Armour - bg3.wiki
bg3.wiki
Buy Enfamil NeuroPro Gentlease Baby Formula, Brain-Building Nutrition ...
ubuy.co.in
India and Malaysia can now trade in Indian rupee
currentaffairs.adda247.com
Buy PINAKEN Brain Bridge Cycle Multicolour Printed Cosmetic Bag from ...
homecentre.in
Healing Touch Hospital Jalandhar, Punjab, India, General Surgery ...
healingtouchhospital.in
Best International Online Shopping Store in Chennai for Global Brands ...
ubuy.co.in
Buy PINAKEN Brain Bridge Multicolour Two-Zip Pouch from Pinaken at just ...
homecentre.in
helpBIOTECH
helpbiotech.co.in
Maruti New WagonR Colours in India 2026 - New WagonR Color Images
autovista.in
Turkish Foods - 38 Best Turkish Dishes For You
traveltriangle.com
Buy PINAKEN Green Brain Bridge Printed Tote Bag from Pinaken at just ...
homecentre.in
GCA Launcher è ideale per gli smartphone meno performanti
tuttoandroid.net
Related Searches
Atrofia
Atrofia Cortical
Atrofia Optica
Atrofia Senil
Atrofia Cerebral Difusa
Atrofia Cerebral Grado I
Atrofia Cerebral Localizada
Cerebral Atrophy MRI Brain
Distrofia Cerebral
Brain Atrophy CT
Atrofia Cerebelosa
Brain Atrophy Dementia
Atrofia Cerebral Peru Grind
Atrofia Muscular Espinal
Atrofia En El Cerebro
Atrophied Brain
Atrofia Cerebral Frontotemporal
Mild Cerebral Atrophy
Atrofia Cerebral vs Cerebro Normal Tomografia
Atrofia Cerebral Adultos Mayores
Memoria Atrofia Cerebral
Cerebral Atrophy On CT Scan
Severe Brain Atrophy MRI
Cerebellar Atrophy
Brain Atrophy Gross
Cranial Atrophy
Global Brain Atrophy
Atrofia Cerebelar
Atrofia Cerebral Yacopsae Split
GCA Atrofia Cerebral
Tac Cerebral
Que ES Atrofia Cortical
Atrofia Cerebral Imágenes En Una Tomografía
Atrofia Cortico Subcortical
Atrofiere Cerebrala
Niño Con Atrofia Cerebral
Neurohipofisis
Signos De Atrofia Cerebral Frontotemporal Con Elementos De Atrofia Hipofrontal
Moderate Brain Atrophy
Atrofia Encefalica
Infantile Cerebral Atrophy
Atrophie Corticale
Demencia Senil
Atrofie Cerebrala RMN
Atrofia Endocrina
Atrofia Espinhala
Atrofia Gonadelor
Atrofi Cerebri Adalah
Atrofia Na Lingua
Que ES El Alzheimer
Search
×
Search
Loading...
No suggestions found