Find Your Style
Women
Men
Accessories
Search for clothing, brands, styles...
×
Women
Men
Accessories
Gimo Sandvik F Rr
Search
Loading...
No suggestions found
IPL 2024 Prize Money Breakdown: SRH Receives INR 12.5 Crore, RR Takes ...
thenationalbulletin.in
13-year-old Vaibhav Suryavanshi sold to RR for INR 1.1 crore in IPL ...
sportskeeda.com
Indian Rupee (₹) - Buy INR Currency Online at Best Rates
makemytrip.com
Lakme Or SUGAR: Makeup Sets From Nykaa For INR 1,500 | LBB
lbb.in
AltF Coworking JMD Empire Square at INR 200/day - Coworking Space for a ...
myhq.in
Samson fined INR 24 lakh for RR's second over-rate offence - ESPN
espn.in
Best Messenger Bags Under INR 1,000 I LBB, Kolkata
lbb.in
Best PC Speakers In India Under INR 3,000 | LBB
lbb.in
Shared autos for INR 30, no bowling spikes, rejected by CSK, KKR, RR ...
msn.com
Realme NARZO 70 Pro 5G starting from INR 18,999
businessminutes.in
Jaguar XE Launched in India at INR 39.9 lacs! » Car Blog India
carblogindia.com
Sandvik Coromant Office Photos
glassdoor.co.in
RR Squad IPL 2026: Complete Rajasthan Royals Player List with Prices in ...
sportskeeda.com
RR Squad IPL 2025: Complete Rajasthan Royals Player List with Prices in ...
sportskeeda.com
GIMO Office Photos
glassdoor.co.in
GIMO Office Photos
glassdoor.co.in
148/4! RCB Bowlers Rein In RR
hotstar.com
GIMO Office Photos
glassdoor.co.in
GIMO HERRGARD - Castle Reviews, Photos, Rate Comparison - Tripadvisor
tripadvisor.in
GIMO Office Photos | Glassdoor
glassdoor.co.in
IPL 2026 | Rajasthan Royals | Vaibhav Suryavanshi Profile
iplt20.com
Sandvik Coromant Office Photos
glassdoor.co.in
IPL 2024, RR vs RCB Highlights: 16 रन और 3 विकेट... तो जीते हुए मैच को ...
aajtak.in
Working at Sandvik | Glassdoor
glassdoor.co.in
Working at Sandvik | Glassdoor
glassdoor.co.in
Crash ragnaruk 4 volcanic ' (F) – YOGINSTINCT-SHOP
yoginstinct.in
Intervista ai fondatori di Gimo's | Meer
meer.com
GIMO Office Photos
glassdoor.co.in
GIMO HERRGARD - Castle Reviews, Photos, Rate Comparison - Tripadvisor
tripadvisor.in
Intervista ai fondatori di Gimo's | Meer
meer.com
GIMO Office Photos
glassdoor.co.in
Rolls Royce Sweptail | Rolls-Royce Sweptail Price India | Rolls Royce ...
delhiroyale.in
GIMO Office Photos
glassdoor.co.in
GIMO HERRGARD - Castle Reviews, Photos, Rate Comparison - Tripadvisor
tripadvisor.in
Intervista ai fondatori di Gimo's | Meer
meer.com
GIMO-Syllabus - Very Important - Level Buds (Pre-KG, KG1 & KG2 ...
studocu.com
(a) Show that a function f: RR defined by f(x) = 2x 2/1+x2 is neither ...
brainly.in
Sandvik Office Photos
glassdoor.co.in
"RR may have done other teams a favour by pushing SRH"- Fans react as ...
sportskeeda.com
WheelMaster Trike MAG WHL Set BLK F/RR-Drive & Idler : Amazon.in: Car ...
amazon.in
BMW G 310 RR 2022 STD Bike Photos - Overdrive
overdrive.in
GIMO HERRGARD - Castle Reviews, Photos, Rate Comparison - Tripadvisor
tripadvisor.in
RR Home Eat Briyani, Coimbatore - Restaurant reviews
restaurant-guru.in
Sandvik - beach in Etne | Beaches | Etne | Norway
visitnorway.com
EPF Form 19: What Is It And How To Fill Form 19 For PF Withdrawal?
cleartax.in
RR Bar Restaurant, Bengaluru - Restaurant reviews
restaurant-guru.in
Buy Diecast CAT Caterpillar M323F Railroad Wheeled Excavator with ...
ubuy.co.in
Sandvik - beach in Etne | Beaches | Etne | Norway
visitnorway.com
UCP 212-36 - Ball bearing units | SKF
skf.com
Rupee movement, macro-data insight to drive equity market- The Week
theweek.in
Rupee Could Drop To 84-85 Per US Dollar By March 2023
indiatimes.com
Used Sandvik Crushers for sale. Sandvik equipment & more | Machinio
machinio.com
Working at Sandvik Coromant | Glassdoor
glassdoor.co.in
Panel Side Sill, RH
skhgroup.co.in
22. f f : RR:RR are functions defined by f (x) = 3x - 2, g(x)= x2 +1 ...
brainly.in
DIAMOND PACKAGE 1 Matrix Match Type Question Column-1 f: RR defined by ...
brainly.in
China partes separadas para a Sandvik britadores cônicos – Compre Peças ...
pt.made-in-china.com
FRR Shares (Makes you Realise)
frrshares.com
8. Let f: RR and f(x + y) = f(x) f(y) as well as 10 λι f(1) = 3. Let Σ ...
brainly.in
TRIKE MAG WHL SET WHT F RR-DRIVE IDLER : Amazon.in: Home & Kitchen
amazon.in
Actividad: Sílabas con Rr
twinkl.co.in
Honda bike prices in New Delhi | Honda BigWing Delhi South
bigwingsouthdelhi.in
Railway Industry in India - Railway Sector Overview & Market
investindia.gov.in
Rupee Stayed Firm, Appreciated 26 Paise To 85.54 Against The US Dollar ...
freepressjournal.in
Sandvik Office Photos
glassdoor.co.in
Rupee Races Off To Another Low; What More Than Treaties Can India Do To ...
freepressjournal.in
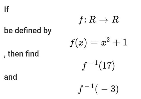
If the function f:rr be defined by f(x) = x2 +1, then find f1(17 ...
brainly.in
13. Find gf and fog, if f: RR and g: RR are given by f(x) = cos x and g ...
brainly.in
Reinf, FR Pillar Upper, R
skhgroup.co.in
Uso De La R Para Tercero De Primaria Fichas Para Imprimir, 48% OFF
elevate.in
BMW M1000rr Price in India – superbikestore
superbikestore.in
American Tourister Office Bag 14'' Small Merit Black : Amazon.in: Shoes ...
amazon.in
BMW Motorrad Price-aug.pdf management policy - MODEL VARIANT EX ...
studocu.com
1063440 01 Elektrischer Stoßdämpfer für die hintere Tür LH FRT RH RR ...
fast-alles.net
1063440 01 Elektrischer Stoßdämpfer für die hintere Tür LH FRT RH RR ...
fast-alles.net
22. f f : RR:RR are functions defined by f (x) = 3x - 2, g(x)= x2 +1 ...
brainly.in
Vaibhav Suryavanshi IPL’s youngest ‘crorepati’: Bihar prodigy had ...
bhaskarenglish.in
Petition · Put back Ashoka pillar on Indian currency, which was ...
change.org
Two Wheeler Prices
primeloans.kotak.com
Bank of India FD Interest Rates 2019 - BOI Fixed Deposit
cleartax.in
1063440 01 Elektrischer Stoßdämpfer für die hintere Tür LH FRT RH RR ...
fast-alles.net
345R-1305M-PM 4230 SANDVIK WENDESCHNEIDPLATTEN CARBIDE INSERTS 10 STK ...
kapoorlites.com
RR Global to launch made-in-India electric two-wheelers under BGauss ...
team-bhp.com
正常心電図|心電図とはなんだろう(4) | 看護roo![カンゴルー]
kango-roo.com
RR Retention List IPL 2026: Full list of players retained by Rajasthan ...
sportskeeda.com
Buy Taxi Receipt Template pack of 5 Online in India - Etsy
etsy.com
Eden Gardens IPL Ticket Price, IPL Ticket Price in Kolkata
ipltickets.in
1063440 01 Elektrischer Stoßdämpfer für die hintere Tür LH FRT RH RR ...
fast-alles.net
345R-1305M-PM 4230 SANDVIK WENDESCHNEIDPLATTEN CARBIDE INSERTS 10 STK ...
kapoorlites.com
Compound Semiconductors for Energy Applications and Environmental ...
amazon.in
Rupee recovers from record low, opens 12 paise up at 78.20 against US ...
freepressjournal.in
Wie hoch ist der normale Blutdruck? - hyper10sion.com
hyper10sion.com
Modern Manufacturing India
mmindia.co.in
Inb Billjunction Dot Com Tech_biljun Payments — Money Deducted but not ...
consumercomplaints.in
RR Global to launch made-in-India electric two-wheelers under BGauss ...
team-bhp.com
Breakfast At Kaapi Katte, RR Nagar | LBB, Bangalore
lbb.in
Arihant Villa Viviana | Gokulapuram Main Road, Gudalore R.F., | Chennai ...
jllhomes.co.in
Sopa de letras: la letra V
twinkl.co.in
From 85 To 86/US$ In Just 16 Days, Why Has The Rupee Fallen And What Now
msn.com
One or 1 Rupee Commemorative Coins Information and Value
oldcoinonline.com
IPL Tickets 2023 Chennai, Chepauk Stadium Tickets Price List 2023
ipltickets.in
Indian Rupee Symbol (₹): Facts about the official Currency of India
indiatimes.com
Holzfassaden, Dachunterbauten aus Holz
biofa-de.com
Here comes the Shark: TVS Apache RR 310
theweek.in
A bag contains some one rupee,50 paise,25 paise coins whose value ratio ...
brainly.in
For more Information, Please Contact
igidr.ac.in
Ejercicio Interactivo De Formar Palabras Para GRADO, 45% OFF
elevate.in
AICPE - Typing
aicpeindia.ac.in
Most Expensive Cars: বিশ্বের সবচেয়ে দামি ৫ গাড়ির তালিকা, দাম শুনলে ...
bangla.aajtak.in
TCSD-04-D-12.00-01-F-R Samtec | Mouser India
mouser.in
One or 1 Rupee Commemorative Coins Information and Value
oldcoinonline.com
TVS Apache RR 310 (Akula): Price in India, Specifications, Images, Top ...
india.com
'India needs Rs 2,000 crore a day of capital inflows' - Rediff.com Business
rediff.com
5 IPL 2022 Players Who Deserved Every Rupee Of Expensive Contracts They ...
mensxp.com
IPL 2022: A look at most expensive retained players
thebridge.in
रेलवे ने बनाया रिकॉर्ड! 166 साल के इतिहास में इस साल एक भी यात्री की ...
indiatimes.com
(√2-1/√2)² please give me a answer - Brainly.in
brainly.in
How Indian Rupee Stands Against Other Major Currencies
indiatimes.com
IPL Tickets 2024 Chennai, Chepauk Stadium Tickets Price List 2024
ipltickets.in
A bag contains five rupee, two rupee, and one rupee coins in the ratio ...
novatra.in
Related Searches
Sandvik Coromant
Sandvik Pune
Teniente Gimo
Sandvik CEO
Sandvik Sweden
Gröna Fabriken Sandvik Gimo
Gimo Sandvik Förr
Sandvik Logo
Tiniente Gimo
Sandvik Milling
Sandvik Osprey Neath
Tinyente Gimo Story
Sandvik Mobile Crusher
Sandvik France
Gimo Herrgård
Gimo Chisico
Sandvik Coromatn
Sandvik Logo White
Gimo Bruk
Sandvik Coromant Company Logo
Sandvik Coromant Gimo Products
Sandvik Seremban
Sandvik Coromant Singapore
Eian Sandvik
Sandvik Coromant Sandviken
Sandvik Coromant Sheffield
Sandvik Zeltweg
Vending Machine Sandvik
Gimo Flygbas
Gimeow
Sandvik Coromant Appearal
Sandvik Coromant Factory
Gimo V5 Blue
Sandvik Coromant Race Car
Sandvik Coromant Renningen
Sandvik Coromant Dapodi
Gimo Kök Bar
Tornugglan Gimo
Stefan Widing Sandvik
Sandvik Automatic Greasing
Sandvik Coromant People
Sandvik Tunneling
Gimo Pokemon
Sandvik Coromant Skär
Somerset Gimo
Sandvik Coromant Center Renningen Bilder
Sandvik Coromant Maskiner
Sandvik Coromant Slogan
Anders Sandvik IOP
Sandvik Coromant Gimo
Search
×
Search
Loading...
No suggestions found