Find Your Style
Women
Men
Accessories
Search for clothing, brands, styles...
×
Women
Men
Accessories
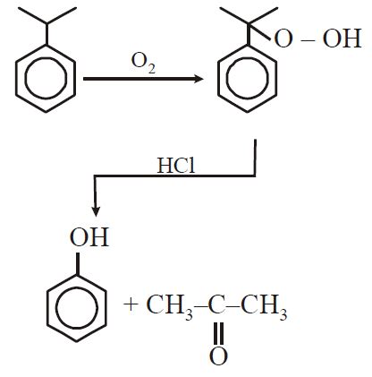
Hydroperoxide Rearrangement
Search
Loading...
No suggestions found
Anand Kamalnayan Pandit — INR 8,660 Cr (Sri Lotus Developers & Realty ...
economictimes.indiatimes.com
Best whiskey under INR 1500 for a pocket-friendly drinking experience
lifestyleasia.com
Neiro Ethereum Live Price Chart, NEIROETH to INR live price and Market cap
suncrypto.in
INR Full Form: What is full form of INR?
bankersadda.com
CA Fresher bags INR 49.20 Lakhs Package in 58th ICAI Campus Placement Event
taxscan.in
Anand Kamalnayan Pandit — INR 8,660 Cr (Sri Lotus Developers & Realty ...
economictimes.indiatimes.com
Anand Kamalnayan Pandit — INR 8,660 Cr (Sri Lotus Developers & Realty ...
economictimes.indiatimes.com
Ugro Capital Crosses Inr 10000 crore aum milestone launches 10k ...
psuconnect.in
The major products P and Q are
tardigrade.in
The major products P and Q are
tardigrade.in
One-Pot Synthesis of (+)-Nootkatone via Dark Singlet Oxygenation of ...
mdpi.com
The product formed in the reaction of cumene with O2 followed by ...
tardigrade.in
The product formed in the reaction of Cumene with O2 followed by ...
tardigrade.in
1 2 3 4 5 6 7
archive.nptel.ac.in
beckmann rearrangement in chemistry: Definition, Types and Importance ...
aakash.ac.in
8.4.2 Dakin Reaction
archive.nptel.ac.in
Buy Lipid Hydroperoxide-Derived Modification of Biomolecules: 77 ...
amazon.in
One-Pot Synthesis of (+)-Nootkatone via Dark Singlet Oxygenation of ...
mdpi.com
Cumene Hydroperoxide 80-15-9 | Tokyo Chemical Industry (India) Pvt. Ltd.
tcichemicals.com
8a-Hydroperoxide Ivermectin | CAS No- NA
chemicea.com
Coumarins Synthesis and Transformation via C–H Bond Activation—A Review
mdpi.com
ISDA
ibdc.dbtindia.gov.in
The major products P and Q are
tardigrade.in
Vitamin K1 Hydroperoxide | CAS No- 2241755-02-0 | Simson Pharma Limited
simsonpharma.com
Please give mechanism for wagner meerwein rearrangement reaction.
scoop.eduncle.com
Ritonavir Impurity G(Hydroperoxide Impurity) | CAS No- NA | Simson ...
simsonpharma.com
Bortezomib R-Hydroperoxide | CAS No- 886979-78-8 | Simson Pharma Limited
simsonpharma.com
One-Pot Synthesis of (+)-Nootkatone via Dark Singlet Oxygenation of ...
mdpi.com
Bortezomib R,R-hydroperoxide - Chemxtel Labs
chemxtel.com
One-Pot Synthesis of (+)-Nootkatone via Dark Singlet Oxygenation of ...
mdpi.com
USP Bortezomib S-hydroperoxide (RCM) - Chemxtel Labs
chemxtel.com
Fries Rearrangement: Reaction, Mechanism, Applications and Limitations ...
aakash.ac.in
The major products P and Q are
tardigrade.in
The major products P and Q are
tardigrade.in
One-Pot Synthesis of (+)-Nootkatone via Dark Singlet Oxygenation of ...
mdpi.com
USP Bortezomib R-hydroperoxide (RCL) - Chemxtel Labs
chemxtel.com
Cumene Hydroperoxide | CAS No- 80-15-9 | Simson Pharma Limited
simsonpharma.com
How to make Hydrogen peroxide? Properties and Uses|Chemistry Page
chemistrypage.in
Cumene Hydroperoxide | 80-15-9 | Tokyo Chemical Industry (India) Pvt. Ltd.
tcichemicals.com
Preparation of Phenol from Cumene & Coal Tar | AESL
aakash.ac.in
Pinacol rearrangement
scoop.eduncle.com
Tert Butyl Hydroperoxide 70 Manufacturer, Supplier from Delhi
dsschementerprisesllp.co.in
Tertiary Butyl Hydroperoxide Exporter, Supplier from Thane
lauricelabs.co.in
TBHP, Tert-Butyl Hydroperoxide Manufacturer Exporter
anaindustries.in
Cumene Hydroperoxide | 80-15-9 | Tokyo Chemical Industry (India) Pvt. Ltd.
tcichemicals.com
Curtius Rearrangement: Reaction, Mechanism & Application of Curtius ...
aakash.ac.in
Cumene hydroperoxide, 80% 80-15-9 | India | Otto Chemie Pvt Ltd
ottokemi.com
Pinacol Pinacolone Rearrangement: Mechanism & Applications | AESL
aakash.ac.in
Cumene Hydroperoxide 99% - ChemicalBook India
chemicalbook.in
Vitamin K1 hydroperoxide | CAS No- 15576-39-3 | Phytonadione ...
chemicea.com
Quasi-favorskii Rearrangement - QUASI-FAVORSKII REARRANGEMENT ...
studocu.com
What is the reagent in case of dienone-phenol rearrangement
scoop.eduncle.com
Tandem InCl3-promoted hydroperoxide rearrangements and nucleophilic ...
chemrxiv.org
Dienone-Phenol Rearrangement - DIENONE-PHENOL REARRANGEMENT Importanc ...
studocu.com
Anticoagulation in Acute Pulmonary Embolism: Which Drug? How Long ...
universimed.com
Sigmatropic Rearrangements :- Pericyclic Reactions Chemistry Notes | EduRev
edurev.in
Curtius Rearrangement: Reaction, Mechanism & Application of Curtius ...
aakash.ac.in
Pinacol Pinacolone Rearrangement: Mechanism & Applications | AESL
aakash.ac.in
The following preparation of caprolactum form the oxime of ...
tardigrade.in
Adamantane Rearrangement (schleyer adamantization) - Adamantane ...
studocu.com
Chapter - 56 Schmidt Rearrangement - Schmidt Rearrangement Session ...
studocu.com
6. What are Lossen rearrangement & Curtius reaction & their mechanism ...
brainly.in
Dr. Beeraiah Baire
prof-beeraiah.in
Adamantane Rearrangement (schleyer adamantization) - Adamantane ...
studocu.com
Convert benzaldehyde to benzyl alcohol in precence of aqueos naoh ...
brainly.in
Cumene hydroperoxide technical grade, 80 80-15-9
sigmaaldrich.com
Cumene hydroperoxide technical grade, 80 80-15-9
sigmaaldrich.com
Wagner-meerwein Rearrangement - WAGNER-MEERWEIN REARRANGEMENT Importanc ...
studocu.com
Pinacol Pinacolone Rearrangement: Mechanism & Applications | AESL
aakash.ac.in
'A' in the following reaction is:
prepp.in
Warfarin sodium in India - Chemicalbook.in
chemicalbook.in
Rilpivirine Glycosamine and Amadori Rearrangement product-I | CAS No ...
chemicea.com
胰脂肪酶 来源于猪胰腺 8 × USP specifications | Sigma-Aldrich
sigmaaldrich.com
Loctite 638 Loctite | Loctite Green 638 High Strength, Retaining ...
in.rsdelivers.com
USD/INR Cracks Big: Falls 2% in 4 Days! | Investing.com India
in.investing.com
Sommelet-hauser Rearrangement - SOMMELET-HAUSER REARRANGEMENT mportance ...
studocu.com
Cationic rearrangement in Carbon carbon rearrangement - 14. Carbon ...
studocu.com
Coagulation Analyzer - Micropoint Q3 Pro Electrometer PT-INR Trader ...
r2healthcare.in
USD/INR Breaking Imp. Trendline; Is Nifty 50 Topping Out? | Investing ...
in.investing.com
Hydrogen Peroxide 100 ml Price, Uses, Side Effects, Composition ...
apollopharmacy.in
Buy Organic Name Reaction and Rearrangement Book Online at Low Prices ...
amazon.in
Warfarin Impurity 6 | CAS No- NA | NA
chemicea.com
Cumene hydroperoxide technical grade, 80 80-15-9
sigmaaldrich.com
Warfarin EP Impurity C | CAS No- 122-57-6 | Benzalacetone ...
chemicea.com
Investigation of the Two-Way Injection Slurry-Supply Method for the Cu ...
mdpi.com
Buy Diamond Necklace Online | Diamond Set Online Manubhai Jewellers
manubhai.in
Lactose-Fluoxetine Amadori Rearrangement Product | CAS No- NA | Simson ...
simsonpharma.com
Gold Necklace Set for Women | Buy Gold Necklace Set Online India ...
manubhai.in
Reactions,Rearrangements & Reagents,Sanyal: Buy Reactions ...
flipkart.com
GlobelinkWW - Dangerous Goods Classification
globelinkww.com
Warfarin EP Impurity B
kmpharma.in
Editorial of the Day: The Rearrangement of Great Power and Regional ...
studyiq.com
MGT-6 Form Filing Process and Key Requirements
taxguru.in
Largest Submatrix With Rearrangements - DSA Problem | Talentd
talentd.in
India and Malaysia can now trade in Indian rupee
currentaffairs.adda247.com
Guidely
guidely.in
Cumene hydroperoxide technical grade, 80 80-15-9
sigmaaldrich.com
1 million dong in indian rupees - Brainly.in
brainly.in
Buy Gold Bangles Online India with Latest Designs - Manubhai Jewellers
manubhai.in
Buy Gold Pendant Set with Earrings Online India | Latest Gold Pendant ...
manubhai.in
Uses and SideEffects of Warfarin: What You Need to Know
medicoverhospitals.in
The Essential Vitamin K Foods Lists for Warfarin Users: With More Than ...
amazon.in
Buy Absolute Anticoagulant Journal: A Comprehensive logbook for ...
desertcart.in
Sri Lanka and Russia in talks to use the rupee in foreign trade
currentaffairs.adda247.com
Sentence Rearrangement Questions for Bank Exams
bankersadda.com
Buy Diamond Necklace Online | Diamond Set Online Manubhai Jewellers
manubhai.in
Molecules | February-2 2023 - Browse Articles
mdpi.com
Indonesian Rupiah - Buy IDR Currency Online in India
makemytrip.com
India shining: Rupee inches closer to becoming international currency ...
timesnownews.com
Molecules | February-2 2023 - Browse Articles
mdpi.com
Reactions, Rearrangements And Reagents: Buy Reactions, Rearrangements ...
flipkart.com
How Indian Rupee Stands Against Other Major Currencies
indiatimes.com
Fundamentals of Chemistry B.Sc. 1 Sem Chemistry Book | Thakur Publication
tppl.org.in
Warfarin Dose Adjustment Chart - Fill Online, Printable, Fillable ...
pdffiller.com
Buy Gold Pendant Set with Earrings Online India | Latest Gold Pendant ...
manubhai.in
Buy Gene Rearrangement (Frontiers in Molecular Biology) Book Online at ...
amazon.in
MP Govt to Award ₹239 Crore to 94,000 Top Scoring Class 12 Students ...
jagranjosh.com
Preparation of Amines: Reduction of - Nitro, Nitriles, Isocyanides ...
aakash.ac.in
Cameras under 10000: Buy top digital cameras online in India (2024)
lifestyleasia.com
Warfarin-D6 | CAS No- 1261395-69-0 | Simson Pharma Limited
simsonpharma.com
Related Searches
Hydroperoxide
Tert-Butyl Hydroperoxide
Cumene Peroxide
Cumene Reaction
Cumene Process
Cumene Hydroperoxide Structure
Carbocation Rearrangement
Methyl Shift Mechanism
Dienone Phenol Rearrangement
Baeyer-Villiger Rearrangement
Hydroperoxide Ion
Carbon Rearrangement
T-Butyl Hydroperoxide
Cummene Hydroperoxide
Hydroperoxide NMR
Hydroperoxide Probe
Tertiary Butyl Hydroperoxide
Ethyl Hydroperoxide
Cumene into Phenol
Hidroperoxido
Oxidative Rearrangement
Alkyl Hydroperoxide
Cumene Hydrogen Peroxide
Ethylbenzene Hydroperoxide
Keto Hydroperoxide
Hydroperoxid
Cumene to Acetone
Hydroperoxide Oxidation
Cumene Decomposition
Sodium Hydroperoxide
Ortho-Cresol
Carbon Cation Shift
Catechol Dioxygenase
Organic Hydroperoxide
Meerwein Rearrangement
Tert-Butyl Hydrogen Peroxide
Dimethylacetamide
Cumene Hydroperoxide Reaction
Hydropyroxide
Wagner Meerwin
Sharpless Asymmetric Epoxidation
Hydrogen Peroxide Formula
Industrial Synthesis of Phenol and Acetone
Radical Rearrangement
Formation of Cumene Hydroperoxide
Cumene to Phenol and Acetone Reaction
Hydroperoxide of Linalool Allergy
Cumene Oxidation
Search
×
Search
Loading...
No suggestions found