Find Your Style
Women
Men
Accessories
Search for clothing, brands, styles...
×
Women
Men
Accessories
Ikm Assessment Java
Search
Loading...
No suggestions found
Micropoint PT INR Meter, Finger Prick Blood Test, Rapid 2 Min Results ...
amazon.in
qlabs PT INR Test Strip -Pack of 12 : Amazon.in: Health & Personal Care
amazon.in
Going To Goa? Stay At This Well-Designed Hostel In Panjim For Only INR ...
lbb.in
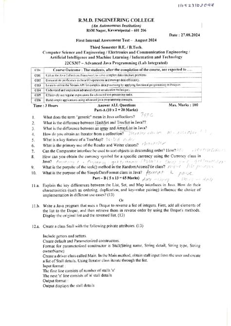
22CS307 Advanced Java Programming - Internal Assessment Test August ...
studocu.com
22CS307 Second Internal Assessment Test QP - Advanced Java Programming ...
studocu.com
JAVA 2024 - Lab Manual and Internal Assessment Marks Report - Studocu
studocu.com
Java Platform Enterprise Edition Java EE Complete Self-Assessment Guide ...
amazon.in
LinkedIn Skill Assessments Test Java Programming Questions for Practice ...
flipkart.com
Java mock test iv - tutorialspoint Copyright © tutorialspoint JAVA MOCK ...
studocu.com
Extent Reports Using Selenium and Cucumber BDD
thetestingsquad.in
COA-Unit -2 - UNIT- Microprogrammed Control: Control memory, Address ...
studocu.com
CODES OF JAVA PROGRAMMING - JAVA PROGRAMMING – CSE LAB ASSESSMENT – 3 1 ...
studocu.com
CORE JAVA Module 2 Assessment MCA - 4:25 PM 2nd Module Assessment ...
studocu.com
Java program - 8. Write a Java program of currency converter (Dollar to ...
studocu.com
Top 25 Java Interview Questions and Answers
upshottechnologies.in
Java - JAVA PROGRAMS - About this assessment You are given a scenario ...
studocu.com
326866589 Java Interview Questions Tutorialspoint - Java Interview ...
studocu.com
Final Exam Question Paper for AI (KCS) - AKTU B.Tech SEM VII - Studocu
studocu.com
JAVA Programming - Java - JAVA PROGRAMMING (CSE1007) ANIMESH SINGH ...
studocu.com
VDRL Report Format | MS Word & Pdf
labsmartlis.com
Master Java Data Types: 20 Essential MCQs to Test Your Skills!
studyecart.in
Java Machine Learning Complete Self-Assessment Guide eBook : Blokdyk ...
amazon.in
Understanding the Deprecation of getAttribute() in Selenium | by Rahul ...
blogs.rahulrpandya.in
Wipro Certified Faculty training program | Its pg
pg.its.edu.in
WT CSE 15 Lab Feb 23 Assessment I - Write a java program that asks the ...
studocu.com
Java Study Point (Java iQ): Static Methods Junit Test
javaiq.in
IKM network data 2 20 question marked correct only - sTiGN Qustions ...
studocu.com
HCL Technologies India bowl | Glassdoor Forum
glassdoor.co.in
426537911 Java Interview Questions - Question: What is Inheritance in ...
studocu.com
Java Platform Enterprise Edition Java EE Complete Self-Assessment Guide ...
amazon.in
Study material + Paper-Pattern + Syllabus of TCS Xplore 2022 ? - Desi QnA
desiqna.in
WeCP | OA Coding Questions and Solutions | Set - 1 | 2023 - Desi QnA
desiqna.in
Asking about HCL Technologies bowl | Glassdoor Forum
glassdoor.co.in
Online Java Test to find top Java developers | Java Assessment | Mercer ...
mettl.com
Unit-3 - TEST - Java Language Basics UNIT 3 JAVA LANGUAGE BASICS ...
studocu.com
Extent Reports Introduction - Java - Version3-Selenium Webdriver Appium ...
automationtesting.in
Java Language Mock Test
learn.codehelp.in
Online Java Test to find top Java developers | Java Assessment | Mercer ...
mettl.com
Extent Reports Log Generation - Java - Version3-Selenium Webdriver ...
automationtesting.in
AutoRABIT Hiring Java Freshers (0–3 Yrs) | 8–13 LPA | Hybrid | Apply ...
telugutechlearners.in
Careerschool HR & IT Solutions | Best Training, Internship & Placement ...
careerschool.co.in
The For Loop : Flowchart
minigranth.in
GRAStech
grastech.in
who is who test | Information Kerala Mission
ikm.gov.in
RMK Engineering College
rmkec.ac.in
Careerschool HR & IT Solutions | Best Training, Internship & Placement ...
careerschool.co.in
Unit-3 - TEST - Java Language Basics UNIT 3 JAVA LANGUAGE BASICS ...
studocu.com
Online Mock Test CCC,O Level,CCA, DCA,ADCA,DFA
infomax.org.in
AutoRABIT Hiring Java Freshers (0–3 Yrs) | 8–13 LPA | Hybrid | Apply ...
telugutechlearners.in
Download and Analyse Purchase Reports on ClearTax Purchase Register
cleartax.in
Understanding the Deprecation of getAttribute() in Selenium | by Rahul ...
blogs.rahulrpandya.in
Practice question oops 2 - Page 1 of 2 PART - A ( 30 Marks) 1 (a) Which ...
studocu.com
CPA/IRA TCS XPLORE DETAILS | Paper-pattern + Syllabus + Study Material ...
desiqna.in
Top Java aptitude test | Java programming interview questions
javasolution.in
Careerschool HR & IT Solutions | Best Training, Internship & Placement ...
careerschool.co.in
TechChefs Software Office Photos
glassdoor.co.in
Careerschool HR & IT Solutions | Best Training, Internship & Placement ...
careerschool.co.in
Sanchaya Online (Revenue and Licence):
sanchaya.lsgkerala.gov.in
6 Coding answer - Important questions for mettl platform - 1 number ...
studocu.com
Careerschool HR & IT Solutions | Best Training, Internship & Placement ...
careerschool.co.in
Unit-3 - TEST - Java Language Basics UNIT 3 JAVA LANGUAGE BASICS ...
studocu.com
रेंट रसीद टैक्स बचाने के लिए क्यों है ज़रूरी? जानें रसीद का फॉर्मेट और ...
housing.com
Careerschool HR & IT Solutions | Best Training, Internship & Placement ...
careerschool.co.in
System flowchart digram? DFD data flow digram? E-R diagram? program ...
ask.learncbse.in
Careerschool HR & IT Solutions | Best Training, Internship & Placement ...
careerschool.co.in
6 Coding answer - Important questions for mettl platform - 1 number ...
studocu.com
Test Automation using Selenium WebDriver with Java: Step by Step Guide ...
amazon.in
Анализ CVE-2024-43044 — от чтения файлов до удаленного выполнения кода ...
teletype.in
How to create a Selenium, Cucumber Automation project in Eclipse
neptuneworld.in
Write a java program to print following pattern-- 12345 1234 123 12 1 ...
brainly.in
Java Programming Interview Questions Practice Test | RoyalBosS
courses.royalboss.in
GRAStech
grastech.in
Free HTML Mock online Tests Part-I | Web Designing Code Tests @StudyEcart
studyecart.in
OCI Foundations 2022 Associate Certification: 1Z0-1085-22 Practice Test ...
amazon.in
3Rs Assessment Test Details - Assessment Test Exam Pattern 2016 ...
apteachers.in
Practice question oops 1 - Page 1 of 2 Q. No. Question Descrption Marks ...
studocu.com
MUHAMMAD FATHONI (2025) All You Need to Know BEFORE You Go (with Photos ...
tripadvisor.in
600+ Java String Interview Questions Practice Test | RoyalBosS
courses.royalboss.in
Write a java program to print following pattern-- 12345 1234 123 12 1 ...
brainly.in
269544344-Java-Questions - Find out duplicate number between 1 to N ...
studocu.com
Bsbwrt 411 Assessment 1 - BSBWRT411 Assessment 1 1. Outline five basic ...
studocu.com
Free Online Tests for Interviews, Competitive Exams - ExamAdda
examadda.in
Careerschool HR & IT Solutions | Best Training, Internship & Placement ...
careerschool.co.in
Practice question oops 1 - Page 1 of 2 Q. No. Question Descrption Marks ...
studocu.com
OS Unit 1 Part 1 - 6325\14 - Covers : 1. Components of a computer ...
studocu.com
Full Stack Java Developer with 0 - 0 Year of Experience at Accolite in ...
foundit.in
Motorcycle Cruiser Magazine Road Test Finder | Motorcycle Cruiser
motorcyclecruiser.com
Senior Software Engineer - Train Control Job for 8 - 10 Year of Exp In ...
foundit.in
Flutter Training In Jodhpur | Flutter Course In Jodhpur
learning.oilab.in
Oracle 11g Training in Chandigarh/Mohali
oopsinfosolution.com
Cloud computing to drive paradigm shift in Life Sciences
biospectrumindia.com
FIS Bangalore office photos
glassdoor.co.in
Kawasaki Z900 Metallic Spark Black edition launched in India - Overdrive
overdrive.in
Cassia Javanica/Pink Shower Tree - Avenue Trees – Exotic Flora
exoticflora.in
Related Searches
IKM Assessment Java
Ikmnet
Sample of IKM Assessment
IKM Assessment Practice Test
IKM Assessment Practice Test PDF
IKM Assessment Question
IKM Testing
IKM Assessment C
Psychometric IKM Assessment
Logo IKM Assessment
IKM Assessment Test Answers PDF
IKM Assessment Example
IKM Meaning
IKM Tech Check
IKM Sola
IKM Excel Assessment
IKM Online Assessment Procedure Step by Step
IKM Testing UK
IKM Testing Perth
IKM Assessment Test Python
IKM Johor
IKM Consulting
IKM Scotland
Cover IKM
IKM Technical Assessment Sample Test
How to Solve This IKM Assessment Question
IKM Assessment Sample Test Payroll Sample
IKM Online System
Akeroy IKM
IKM Assessment Talentchek Leadership Competency Assessment
IKM Professional Centre
IKM Testing UK LTD
IKM Testing Brasil Ltda
React IKM Score
IKM Investor Services LTD
Job Assessment Test
Information Knowledge Management IKM
IKM Testing Kit
IKM Certificate
IKM Measurement Cabinet
Exceexcel Assessement Test
IKM Process Engineering
Varcs Principles of Assessment
IKM Test
Logo IKM
IKM Gruppen
IKM Testing As
IKM Assessment Description Java 8 Programming
Employment Assessment Test Sample
IKM Microsoft Word Assestment
Search
×
Search
Loading...
No suggestions found