Find Your Style
Women
Men
Accessories
Search for clothing, brands, styles...
×
Women
Men
Accessories
Imine Cyclization
Search
Loading...
No suggestions found
INR Full Form: What is full form of INR?
bankersadda.com
Karthik Sarma — INR 26,700 Cr (SRS Investment Management) - Hurun India ...
economictimes.indiatimes.com
Karthik Sarma — INR 26,700 Cr (SRS Investment Management) - Hurun India ...
economictimes.indiatimes.com
Indian Rupee (₹) - Buy INR Currency Online at Best Rates
makemytrip.com
Explore the smoothest whiskey collection: Best Scotch under INR 2000
lifestyleasia.com
Anand Kamalnayan Pandit — INR 8,660 Cr (Sri Lotus Developers & Realty ...
economictimes.indiatimes.com
Facts about Indian businessman who is buying Lavasa city for INR 1814 ...
timesofindia.indiatimes.com
Anand Kamalnayan Pandit — INR 8,660 Cr (Sri Lotus Developers & Realty ...
economictimes.indiatimes.com
BTC to INR Converter, Convert Bitcoin to INR Exchange 2022 ...
cryptocurrency-exchange.us.com
Anand Kamalnayan Pandit — INR 8,660 Cr (Sri Lotus Developers & Realty ...
economictimes.indiatimes.com
Bitcoin price today, BTC to INR live price, marketcap and chart | Suncrypto
suncrypto.in
India Saves INR 35,000 Crore By Buying Discounted Oil from Russia » Car ...
carblogindia.com
WazirX to Partially Lift INR Withdrawal Suspension Starting August 26 ...
topnews.in
Tom Cruise's anti-ageing 'poop' facial costs INR 14,000 per sitting ...
timesofindia.indiatimes.com
1 LTC to INR Converter, 1 Litecoin to INR in 2022 - Сryptocurrency-exchange
cryptocurrency-exchange.us.com
BTC to INR Converter, Convert Bitcoin to INR Exchange 2022 ...
cryptocurrency-exchange.us.com
Value 360 announces it closed Q1 2024-25 with INR 10… | PRmoment.in
prmoment.in
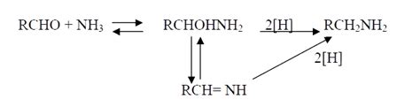
Please send the mechanism for the formation of imine from aldehyde and ...
scoop.eduncle.com
Glycan Labeling
merckmillipore.com
Tetrabutylammonium Bromide | Encyclopedia MDPI
encyclopedia.pub
Exploiting Protein N-Terminus for Site-Specific Bioconjugation
mdpi.com
Grafting of Poly(ethylene imine) to Silica Nanoparticles for Odor ...
mdpi.com
Design, Structural Inspection and Bio-Medicinal Applications of Some ...
mdpi.com
Welcome to D. B. Ramachary Research Laboratory
chemistry.uohyd.ac.in
Design, Structural Inspection and Bio-Medicinal Applications of Some ...
mdpi.com
Grafting of Poly(ethylene imine) to Silica Nanoparticles for Odor ...
mdpi.com
MnO2-Mediated Oxidative Cyclization of “Formal” Schiff’s Bases: Easy ...
mdpi.com
Grafting of Poly(ethylene imine) to Silica Nanoparticles for Odor ...
mdpi.com
Grafting of Poly(ethylene imine) to Silica Nanoparticles for Odor ...
mdpi.com
MnO2-Mediated Oxidative Cyclization of “Formal” Schiff’s Bases: Easy ...
mdpi.com
Nucleophilic Addition of Amines- Imine and Enamine Formation ...
edurev.in
Formation of imines and enamines - Chemistry Video Lecture - Chemical ...
edurev.in
Catalyzed Methods to Synthesize Pyrimidine and Related Heterocyclic ...
mdpi.com
MnO2-Mediated Oxidative Cyclization of “Formal” Schiff’s Bases: Easy ...
mdpi.com
11H-Benzo[4,5]imidazo[1,2-a]indol-11-one as a New Precursor of ...
mdpi.com
Benzophenone Imine 1013-88-3 | Tokyo Chemical Industry (India) Pvt. Ltd.
tcichemicals.com
Preparation and Properties of Indole - Chemistry Optional Notes for ...
edurev.in
Learn Organic Compounds Containing Nitrogen - Types and Method of ...
allen.in
Mexiletine Cyclic Imine Impurity | CAS No- 284486-96-0 | NA
chemicea.com
Lurasidone Imine Impurity | CAS No- NA
chemicea.com
Phosphine Oxide-Promoted Rh(I)-Catalyzed C–H Cyclization of ...
mdpi.com
Grafting of Poly(ethylene imine) to Silica Nanoparticles for Odor ...
mdpi.com
Analytical Chemistry | Tokyo Chemical Industry (India) Pvt. Ltd.
tcichemicals.com
Covalent Organic Frameworks with Ionic Liquid-Moieties (ILCOFs ...
mdpi.com
MnO2-Mediated Oxidative Cyclization of “Formal” Schiff’s Bases: Easy ...
mdpi.com
The Nitrile Imine 1,3-Dipole: Properties, Reactivity and Applications ...
amazon.in
Grafting of Poly(ethylene imine) to Silica Nanoparticles for Odor ...
mdpi.com
Bleomycin A2 Imine Analogue | CAS No- NA | NA
chemicea.com
Read the passage given below and answer the following questions ...
allen.in
Buy Synthesis of Aziridines and Oxaziridines from Imines Book Online at ...
amazon.in
Buy Synthesis of Spirolactams Via Phenylseleno Group Transfer Radical ...
desertcart.in
Reduction of Isocyanides, Imines, Imides: Mendius Reduction, Gabriel ...
aakash.ac.in
Reduction of Isocyanides, Imines, Imides: Mendius Reduction, Gabriel ...
aakash.ac.in
Levonorgestrel Cyclization Impurity | CAS No- NA | NA
chemicea.com
Uses and SideEffects of Warfarin: What You Need to Know
medicoverhospitals.in
Design, Structural Inspection and Bio-Medicinal Applications of Some ...
mdpi.com
Vildagliptin Imine Impurity | 1789703-37-2
chemicea.com
Hydroxy-primaquine quinone-imine | CAS No- NA | Simson Pharma Limited
simsonpharma.com
Anticoagulation in Acute Pulmonary Embolism: Which Drug? How Long ...
universimed.com
Linaclotide Formaldehyde Imine Product | CAS No- NA | Simson Pharma Limited
simsonpharma.com
Non-Isocyanate Aliphatic–Aromatic Poly(carbonate-urethane)s—An Insight ...
mdpi.com
Reduction of Isocyanides, Imines, Imides: Mendius Reduction, Gabriel ...
aakash.ac.in
Clethodim Imine | CAS No- 111031-25-5 | Simson Pharma Limited
simsonpharma.com
N-Acetyl-4-benzoquinone Imine
kmpharma.in
Online Invoice Generator | Create a Bill - Wise
wise.com
Bleomycin A2 Imine Analogue | CAS No- NA | Simson Pharma Limited
simsonpharma.com
Vildagliptin Imine N-oxide Impurity | CAS No- NA | Simson Pharma Limited
simsonpharma.com
Saxagliptin Imine Impurity | CAS No- 1350800-76-8
chemicea.com
International Trade Settlement in Indian Rupee (INR)
taxguru.in
Carbidopa Imine Ester Impurity | CAS No- 1402053-59-1 | Simson Pharma ...
simsonpharma.com
International Trade Settlement in Indian Rupee (INR)
taxguru.in
usd-inr: Why US dollar has consistently risen against rupee for 15 ...
economictimes.indiatimes.com
Coagulation Analyzer - Micropoint Q3 Pro Electrometer PT-INR Trader ...
r2healthcare.in
N-butylpropan-2-imine | CAS No- NA | Simson Pharma Limited
simsonpharma.com
Science of Synthesis: Metal-Catalyzed Cyclization Reactions Vol. 1 ...
amazon.in
Science of Synthesis: Metal-Catalyzed Cyclization Reactions Vol. 2 ...
amazon.in
Propylene Imine Trifunctional Polyaziridine Exporter, Supplier from Mumbai
cosmosplastics.co.in
Currency Today: Euro Finds Footing, Dollar Whipsaws, Rupee Tanks | India
btcc.com
Buy Imines: An Overview (Chemistry Research and Applications) Book ...
amazon.in
Ethylene Imine Trifunctional Polyaziridine Exporter, Supplier from Mumbai
cosmosplastics.co.in
Biomedical Polyurethanes for Anti-Cancer Drug Delivery Systems: A Brief ...
mdpi.com
International Trade Settlement in Indian Rupee (INR)
taxguru.in
Fed’s 75 bps Hike: Rupee Falls to Record Low, Sets Eye for ‘82 ...
in.investing.com
Warfarin Sodium
kmpharma.in
Indian Financial System, 5e by H R Machiraju
vikaspublishing.com
Buy Absolute Anticoagulant Journal: A Comprehensive logbook for ...
desertcart.in
Sell USDT for IDR | USDT to IDR Calculator
binance.com
MGT-6 Form Filing Process and Key Requirements
taxguru.in
Propylene Imine Tri-Functional Polyaziridine
cosmoschemicals.com
Warfarin Sodium | CAS No- 129-06-6 | Simson Pharma Limited
simsonpharma.com
Buy Diamond Necklace Online | Diamond Set Online Manubhai Jewellers
manubhai.in
Buy Synthesis of Heterocycles via Cyclization Coupling Book Online at ...
amazon.in
Gold Necklace Set for Women | Buy Gold Necklace Set Online India ...
manubhai.in
Warfarin sodium in India - Chemicalbook.in
chemicalbook.in
Some recent work on Schiff bases, imines and iminium salts in synthetic ...
repository.ias.ac.in
Diamond Necklace Designs | Buy Diamond Necklace Set Online at Best ...
manubhai.in
Warfarin R-Isomer | CAS No- 5543-58-8 | NA
chemicea.com
AUBERGE IMINE TAGHYA (Ait Hammou) - Hostel Reviews, Photos, Rate ...
tripadvisor.in
Torque and Angle sensing – Permanent Magnets Ltd
pmlindia.com
Partial Thromboplastin Time Wikipedia, 58% OFF
elevate.in
The Changing Skyline of Oragadam
magicbricks.com
Diamond Necklace Designs | Buy Diamond Necklace Set Online at Best ...
manubhai.in
Buy Gold Pendant Set with Earrings Online India | Latest Gold Pendant ...
manubhai.in
Sri Lanka and Russia in talks to use the rupee in foreign trade
currentaffairs.adda247.com
Buy Diamond Necklace Online | Diamond Set Online Manubhai Jewellers
manubhai.in
Size Chart – HolyHeads
holyheads.com
Contact – valientecaps
valientecaps.com
Wen Price | WEN to USD Converter, Chart and News
binance.com
Prof. B. K. Patel
fac.iitg.ac.in
RBI’s short USD/INR forward book remains stable- analysis By Investing.com
in.investing.com
Did You Know About India's Rs 10,000 Rupee Note
indiatimes.com
**Page Title:** "Top 10 Saree Trends Every Woman Must Know in 2024 ...
sanjarcreation.com
Stand out navy blue corset top – Kostume County
kostumecounty.com
Mumbai Indians: 5 players MI can release ahead of IPL 2026 auction ...
crickettimes.com
Publications
rkpeddinti.cy.faculty.iitr.ac.in
Collections
svbventures.in
Publications – St. Albert's College (Autonomous), Kochi, Ernakulam
alberts.edu.in
FAQ
keydroid.in
Good Times Stickers - Bestseller
oddgiraffe.com
Ultimate Aari Work Pricing & Styles Guide — What Affects the Cost ...
tailorkadai.in
Related Searches
Cyclization Mechanism
Nazarov Cyclization
Bergman Cyclization
Cyclization Reaction
Fructose Cyclization
Radical Cyclization
Sugar Cyclization
Prins Cyclization
Oxidative Cyclization
Intramolecular Cyclization
Dieckmann Cyclization
Peptide Cyclization
Ketose Cyclization
Cyclization of D Glucose
Reductive Cyclization
Carbohydrate Cyclization
Polyene Cyclization
Pan Cyclization
Ring Cyclization
Glutamine Cyclization
Squalene Cyclization
Galactose Cyclization
Alkene Cyclization
Schmittel Cyclization
Protein Cyclization
Ketone Cyclization
Dehydration Cyclization
Enyne Cyclization
Amino Acid Cyclization
Acid-Catalyzed Cyclization
Heck Cyclization
Diene Cyclization
Imine Cyclization
Pschorr Cyclization
Sorbitol Cyclization
Stork Ueno Cyclization
Cyclization of Ribose
Diester Cyclization
Alkyene Cyclization
Wacker Cyclization
Aldehydes Cyclization
Cyclization Step
Aldol Cyclization
Cyclization Reaction Conditions
Meldrum Cyclization
PC Lipid Cyclization
Ruzicka Cyclization
Hodgson Cyclization
Clip Art Cyclization
Myers-Saito Cyclization
Search
×
Search
Loading...
No suggestions found