Find Your Style
Women
Men
Accessories
Search for clothing, brands, styles...
×
Women
Men
Accessories
Intellistar 2 Xd Unit
Search
Loading...
No suggestions found
Mahindra Thar 4X2 Launched At INR 9.99 Lakh (Ex-Showroom)
topgearmag.in
INR to GBP - Convert Indian rupees to British pounds sterling | INR to ...
wise.com
MRP [INR 5,000 to INR 15000] Television Extended Warranty 2 Years Price ...
flipkart.com
50000 JPY to INR - Convert 50000 Japanese Yen to INR Today
makemytrip.com
Tether Price Prediction, INR India 28th January 2023: Expected Between ...
in.mashable.com
Society claiming INR 7500 exemption cannot avail ITC
taxguru.in
IPL 2026 Auction: Here’s why Cameron Green will receive only INR 18 ...
crickettimes.com
RBI announces Rs 2 lakh crore OMO, $10 bn USD/INR swap to inject liquidity
msn.com
Liebert XD Pumping and Chiller Units, 130-160kW
powervision.net.in
Liebert XD Refrigerant-Based Cooling Modules
powervision.net.in
Maxxlink Plastic car canbus TUV300, Advanced Integration Solution for ...
amazon.in
Saacke 296518 Ignition Electrode Unit (Right) – Aeliya Marine Tech
aeliyamarinetech.com
Fan-and-filter units, roof-mounted fans, rack-mounted fans
rittal.com
Grade R - Coding - Pattern Recognition: Threes
twinkl.co.in
7320440 CMC III mounting units
rittal.com
LFTC16 R NSK-RHP | 2 Hole Flange Bearing Unit, LFTC16 R, 16mm ID | 785 ...
in.rsdelivers.com
Voltas Ductable AC - Voltas 10.0 Ton Aircooled Ductable Unit R-407 ...
avonelectroncare.co.in
UNIT 3 FSWD - notes - UNIT 3 Hooks: Introduction to hooks, useState ...
studocu.com
Elephant 1/2" inch Filter regulator & lubricator - (FRL-AC-4010-04 ...
amazon.in
3332140 Wall-mounted cooling units with Basic controller
rittal.com
Cooling units, Thermoelectric Cooler
rittal.com
stefani solution xd
scmgroup.com
Unit 2-FULL Notes - 21IT1504 - Embedded Systems and Internet of Things ...
studocu.com
MICHELIN XD GRIP tyres | MICHELIN Commercial tyres India
b2b.michelin.in
Low Cost Simple TV Unit Designs: 12 Ideas to Place Your TV
nobroker.in
UNIT 1 - UNIT 1 notes - UNIT 1 Introduction to Data Analytics: Sources ...
studocu.com
UNIT 1 and 2 - UNIT - I Introduction: Definition of Data Science: Data ...
studocu.com
Art Street Set of 6 Individual Black Wall Photo Frames Wall Picture ...
amazon.in
OXMIC Wooden TV Unit Shelf| TV Unit Rack| TV Unit Wall Mount| TV Units ...
amazon.in
UNIT-2 - notes - Unit II: SCIENTIFIC CONDUCT (5 Hrs.) Ethics with ...
studocu.com
Tender For Comprehensive Annual Maintenance Contract (Camc) Of Pcp Ac ...
biddetail.com
Order Of Reaction : Zero Order And First Order | Science Vision
sciencevision.in
Artis BT-X9 120W 2.1Channel Wireless Bluetooth Sound bar & Wireless ...
amazon.in
metric units of measurement chart - Earn ₹600 for comments Android IOS ...
biharbhumiplus.bihar.gov.in
Unit 2 - Devops Unit 2 full notes - 70 Unit 2 Software Development Life ...
studocu.com
Genesis Files for Bankruptcy as it Seeks Protection From its Creditors ...
cryptopanic.com
Unit 2 - Devops Unit 2 full notes - 70 Unit 2 Software Development Life ...
studocu.com
Buy Phonic Books Dandelion Readers Reading and Writing Activities Set 2 ...
amazon.in
PlayStation 2 (PS2) Slim Consoles – 500 Units – €30 Each – Tested amp ...
merkandi.in
UNIT 2 notes uhv - HUMAN VALUES AND PROFESSIONAL ETHICS LECTURE NOTES ...
studocu.com
PK XD: Fun, friends & games – Apps on Google Play
play.google.com
Unit-1, Unit-2, Unit-3 , Unit-4 lecture notes for reference - UNIT- 3 ...
studocu.com
Art Street -Photo Frame Set Black Chief 6 Pcs (Photo Size 8x10 Inches ...
amazon.in
15-Inch-Wide Freestanding Shelving Units at Lowes.com
lowes.com
Admin Law Unit 2 - Lecture notes unit 2 - Unit ll Delegated Legislation ...
studocu.com
ITCS Notes UNIT-1 - ITCS unit 1 - INDIAN TRADITIONS, CULTURE AND ...
studocu.com
Project Management Unit Pmu Tenders - Search Tenders for Project ...
tenderdetail.com
DAF XF Electric from 2024 :: truckinfocus.com
truckinfocus.com
UNIT I - HCI Unit 1 Notes - UNIT I FOUNDATIONS OF HCI The Human: I/O ...
studocu.com
The correct location and way for installation of an air conditioner ...
samsung.com
Unit-2 - Os notes Unit-2 - Unit- Concurrent Processes Process Concept ...
studocu.com
New Air Suspension Solenoid Valve Unit for 750Li 750Li xDrive 750i ...
amazon.in
Hexagonal close-packed (HCP) Structure - Atoms per unit cell ...
mech.poriyaan.in
Measuring Length Non-Standard Units - Twinkl Ireland
twinkl.co.in
Spring-Themed Measuring Worksheet | Primary (teacher made)
twinkl.co.in
Unit II - Notes for Unit - 2 - DATA STRUCTURES UNIT II UNIT II: ARRAYS ...
studocu.com
Draw a cuboid on the isometric dot sheet with the measurements 5 units ...
brainly.in
Buy OCR(A) AS Chemistry Student Unit Guide: Unit F322 Chains, Energy ...
amazon.in
Grade R Transportation Matching Shadows Activity
twinkl.co.in
explain the functional units of a computer with a neat block diagram ...
brainly.in
Buy PHILIPS AVENT COMFORT SINGLE ELECTRIC BREAST PUMP (WHITE) SCF395/11 ...
pharmeasy.in
Autoflame LED Fog Lamp Unit for Maruti Suzuki Swift Dzire Price in ...
flipkart.com
Grade R: Listening and Draw (teacher made) - Twinkl
twinkl.co.in
Top TV Unit Design Ideas for Modern Living Rooms
rennovate.co.in
Unit 4 notes - COA unit 4 - UNIT- Basic Processing Unit (BPU): The ...
studocu.com
Some Insights into Mobilization in Russia. Part 2. The Assignment of ...
teletype.in
Unit 2 | Elements Of Urban Design Studio | CEPT - Portfolio
portfolio.cept.ac.in
Cad Lisp and Tips: Tip : Direction Control
cadlispandtips.in
BAT to INR: Convert Basic Attention Token (BAT) to Indian Rupee (INR ...
coinbase.com
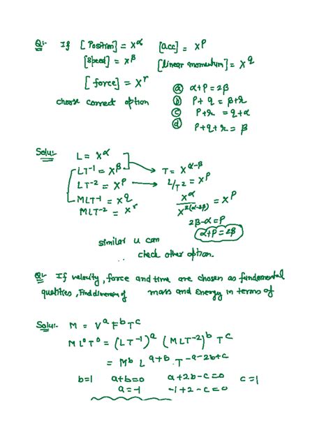
Units AND Dimensions Notes - If Position Xd Acc XP speed XP linear ...
studocu.com
icrush Engineered Wood Wall Mount TV Unit/TV Stand/TV Cabinet/TV ...
flipkart.com
Refund on Account of Supplies made to SEZ Unit/ SEZ Developer (Without ...
tutorial.gst.gov.in
India’s first semiconductor chip will launch before this year ends-IT ...
bhaskarenglish.in
Units and Dimensions
physicsadvisor.in
Unit 2 notes IOT - Unit II Embedded Systems and Internet of Things Unit ...
studocu.com
Philips - Diffusion - Abdomen MR clinical application
philips.co.in
Technip Energies Wins Major BPCL Contracts For Polypropylene Units At ...
freepressjournal.in
Buy STRAY KIDS THE 2ND ALBUM - NOEASY [ Standard ver. / A Type ...
desertcart.in
Buy Combo Korean Samyang Buldak Halal EXTREME Hot / Original Hot ...
desertcart.in
Basic Crystal Concepts
home.iitk.ac.in
English CAPS Planning and Record Sheet - Grade R
twinkl.co.in
Wagon R Car Music System - Wagon R Android Stereo | Woodman
hiwoodman.com
Move, align, distribute, and arrange objects in Adobe XD.
helpx.adobe.com
Hydraulic power units | Bosch Rexroth India
boschrexroth.com
3285940 Pleated filter for fan-and-filter units, roof-mounted fans ...
rittal.com
Geloo 14 240 33 Ohms Fuel Sending Unit Marine Fuel | Desertcart INDIA
desertcart.in
Iron And Copper Removal Unit - Hollow Chain Iron Removal Unit and ...
rajeshindiamfg.in
Buy WANGXIAOLINshouzhang Walking stick Ergodynamic Forearm Crutches ...
desertcart.in
Buy Dime Store Wooden Wall ed TV Unit, TV Cabinet for Wall, TV Stand ...
desertcart.in
The Unit of Sound: SI, CGS and Other units | CollegeSearch
collegesearch.in
Adobe XD
blog.adobe.com
3286100 Filter mat for cooling units, climate control/section doors ...
rittal.com
Crucial BX500 4TB 2.5 inch SSD | CT4000BX500SSD1 | Crucial IN
crucial.in
3285700 Pleated filter for fan-and-filter units, roof-mounted fans ...
rittal.com
Ziz Home™ ``Giveaway Sale`` Hanging Clothes Storage Box (6 Shelving ...
amazon.in
END OF SEASON SALE - LABLE ADITI HUNDIA – Label Aditi Hundia
labeladitihundia.com
6 Television Unit Design Ideas for Your Home
aertsen.in
Buy Richelieu Hardware - BP2051MAE - Pack of 2 units - Traditional ...
desertcart.in
The distance between the points (3.-2) and (-3,2) is(A) 52 units(B) 4 ...
brainly.in
T-REIGN XD Retractable Electroics Tether, 36" Kevlar Cord, Retraction ...
amazon.in
Lehengas – Label Aditi Hundia
labeladitihundia.com
Thermo Scientific Nalgene 566-0020 Filter Units, 0.2um PES, 500 mL; 12 ...
coleparmer.in
Humalog Kwikpen 100 IU/ML Solution For Injection (3): Uses, Side ...
pharmeasy.in
Buy Filter regulator lubricators (FRL) online | Festo IN
festo.com
Bill Invoice Format in Google Sheets | Free Download - Wise
wise.com
Weirdest units of measurement that are actually real
msn.com
Prove v2 = u2 + 2as by using calculus. - Brainly.in
brainly.in
Six things you never knew about the Honda Integra Type R | Top Gear
topgear.com
Buy STRAY KIDS THE 2ND ALBUM - NOEASY [ Standard ver. / B Type ...
desertcart.in
A cell having an emf E and internal resistance r is connected across a ...
brainly.in
Wholesale Distributor of Daikin Ductable Unit & Daikin Split AC Non ...
avonelectroncare.co.in
மின்கட்டணம் உயர்த்தப்பட்டதால் பொதுமக்கள் அதிர்ச்சி: ஒழுங்குமுறை ஆணையம் ...
hindutamil.in
Make a concept map of fundamental unit of life - Brainly.in
brainly.in
Industrial Air Cooler and Industrial Cooler Manufacturer | Evapoler Eco ...
evapoler.in
2010 Scion xD Review, Pricing, & Pictures | U.S. News
cars.usnews.com
New Arrival – The Elite Gallery - by Viexta
viexta.com
Super Scientific Works Private Limited - Manufacturer of Industrial ...
superscientific.co.in
Please explain the solution (why is it written 5/2*40 below Oxygen ...
brainly.in
Top 8 Main Hall Modern TV Unit Designs | Goodhomes.co.in
goodhomes.co.in
The base of parallelogram is 2x+3 units and corresponding height is 2x ...
brainly.in
Related Searches
IntelliStar 2 Machine
IntelliStar XD
IntelliStar 2 Jr
IntelliStar 2 XD Logo
IntelliStar 2 XD Unit
IntelliStar 2 XD Box
IntelliStar 2 XD at the Cable Headend
TWC IntelliStar 2-Unit
IntelliStar 2 Jr LDL
IntelliStar 1XD
IntelliStar 1 SD
IntelliStar Computers
IntelliStar 2 HD Decoder
IntelliStar Coffee
IntelliStar V1 SD
IntelliStar Icons
IntelliStar Azul
IntelliStar Dylan Bennett
IntelliStar Simulator Watt 1 LF
IntelliStar Astervius
IntelliStar 2 Icons
IntelliStar XD Unit
IntelliStar 2 HD
IntelliStar Logo
IntelliStar 2 Meridian
IntelliStar 2 Background
IntelliStar Receiver
IntelliStar V1 Icons
IntelliStar Dog Days of Summer
Intellstar 2 Machine
IntelliStar 1 Template
IntelliStar Washington DC
IntelliStar Graphics
IntelliStar 1 Backgrounds
Intelestar 2 Jr Background
IntelliStar Sticker
IntelliStar Jr Cloudy Icon
IntelliStar Templates
IntelliStar Art Fan
IntelliStar 2 Icon
IntelliStar
IntelliStar Enhanced Graphics
IntelliStar Bar
IntelliStar OS Image
IntelliStar Font
Weather Bulletin Background IntelliStar V1
IntelliStar Background
TWC IntelliStar Icons
IntelliStar Iconsweatherscan
Intellisqr
Search
×
Search
Loading...
No suggestions found