Find Your Style
Women
Men
Accessories
Search for clothing, brands, styles...
×
Women
Men
Accessories
Interatomic Distance Landscape
Search
Loading...
No suggestions found
India's CSR Landscape: INR 15,524 Crore Spent, But Where's the Rest?
proteantech.in
inr |Isometric Dots A4 Paper |1 cm Distance Between Dots |Best for ...
amazon.in
Inr |Isometric Dots A4 Paper |1 Cm Distance Between Dots |Best For ...
amazon.in
INR Full Form: What is full form of INR?
bankersadda.com
inr |Isometric Line A2 Plus Size Paper 5 mm Distance Equilateral 3D ...
amazon.in
inr |Isometric Dots Grid Line A3 Paper | 5 mm Distance Between Dots ...
amazon.in
inr |Isometric Dots A3 Paper |5 mm Distance Between Dots |Best for ...
amazon.in
Cricketer Rohit Sharma owns an INR 30 crore luxury apartment in Mumbai ...
architecturaldigest.in
Flipkart’s flagship Competition- WiRED 5.0, Prizes worth INR 2 Lakhs ...
edubard.in
Theoretical Investigation on Nearsightedness of Finite Model and ...
mdpi.com
A Computational DFT Study of the Stereoinversion of Succinimide ...
mdpi.com
Using Multi-Dimensional Dynamic Time Warping to Identify Time-Varying ...
mdpi.com
Thermal Expansion and Thermal Conductivity of Ni/Graphene Composite ...
mdpi.com
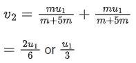
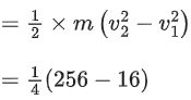
One mole of a monoatomic real gas satisfies the equation p(V - b)=RT ...
tardigrade.in
The third-nearest neighbour distance in a BCC (Body Centered Cubic ...
scoop.eduncle.com
Practical Maintenance » Blog Archive » Plastic Deformation and Fracture
practicalmaintenance.net
Q. the dipole moment of hbr is 2.6 x 10-30 cm and the interatomic ...
scoop.eduncle.com
One mole of a monoatomic real gas satisfies the equation p(V - b)=RT ...
tardigrade.in
Potential energy as a function of r is given by U =where r is the ...
edurev.in
One mole of a monoatomic real gas satisfies the equation p(V - b)=RT ...
tardigrade.in
If0.28 nm.is the interionic distance in nacl crystal, the lattice ...
scoop.eduncle.com
%lonic character = oxpenmental x 100 theoritical the dipole moment of ...
scoop.eduncle.com
Chemistry Proceedings | An Open Access Journal from MDPI
mdpi.com
Comparative Analysis of DFT+U, ACBN0, and Hybrid Functionals on the ...
mdpi.com
Chemistry Proceedings | An Open Access Journal from MDPI
mdpi.com
States of Matter - JEE Advanced Previous Year Questions with Solutions
esaral.com
Determination of Miller Indices - Notes | Study Physical Chemistry ...
edurev.in
Mindmap: Motion and Measurement of Distance Notes | EduRev
edurev.in
Phase changes or Transformations - Crystallography
mech.poriyaan.in
Ab initio Investigation of Impurity Ferromagnetism in the Pd1−xFex ...
mdpi.com
Buy ELEMENTS IN LANDSCAPE: AREAS, DISTANCES, DIMENSIONS Book Online at ...
amazon.in
61. The dipole moment of LiH is found to be 2.0 x 10-29 Cm. If ...
brainly.in
States of Matter - JEE Advanced Previous Year Questions with Solutions
esaral.com
Buy Breeza Wonder Set of 5 Canvas City Landscape Picture Frames from ...
homecentre.in
Buy Corsica Aura Horse And Landscape Picture Frame - 50x30cm from ...
homecentre.in
Buy Relativistic Effects in Interatomic Ionization Processes and ...
amazon.in
Road Markings
civil.iitb.ac.in
Wallpaper hills, distance, landscape, nature hd, picture, image
wallpaperscraft.com
Download wallpaper 3840x2400 mountains, distance, landscape, forest 4k ...
wallpaperscraft.com
Outdoor Plant: A Guide to Growing the Golden Bamboo
houzz.in
8 Best Sun-Loving Plants for Indian Gardens
houzz.in
Download wallpaper 1350x2400 trees, bridge, mountains, distance ...
wallpaperscraft.com
Best Places To Visit In Goa: Average Expense & How to Reach
godigit.com
Download wallpaper 2560x1080 trees, bridge, mountains, distance ...
wallpaperscraft.com
Download wallpaper 2048x1152 mountains, river, grass, distance ...
wallpaperscraft.com
Practical Maintenance » Blog Archive » Plastic Deformation and Fracture
practicalmaintenance.net
Buy Corsica Aura Horse And Landscape Picture Frame - 50x30cm from ...
homecentre.in
Download wallpaper 5760x3240 space, starry sky, hills hd background
wallpaperscraft.com
Buy Artistry Boho Landscape Picture Frame - 40 x 50 cm from Home Centre ...
homecentre.in
Things Consider Before Installing a Solar Street Light
tapetum.in
spring emotions love romantic landscape painting
crafttrip.in
States of Matter - JEE Advanced Previous Year Questions with Solutions
esaral.com
Buy Corsica Aura Horse And Landscape Picture Frame - 50x30cm from ...
homecentre.in
Ab initio Investigation of Impurity Ferromagnetism in the Pd1−xFex ...
mdpi.com
Kasauli-Barog-Chail-Chandigarh Tour
miratravel.in
Buy Corsica Aura Horse And Landscape Picture Frame - 50x30cm from ...
homecentre.in
Interplanar spacing,simple crystal structure - 10 INTERPLANAR SPACING c ...
studocu.com
Heights and Distances Definition, Formula, Trigonometry, Examples
sscadda.com
Buy Grass Pavers Driveway Grid, for Parking Areas/Base Support Pavement ...
ubuy.co.in
OnePlus to power Gods Reign's quest for glory at BMPS 2025 featuring ...
aninews.in
Important Two Marks & 16 Marks Question and Answers - Crystallography ...
ece.poriyaan.in
YashoBhoomi Convention Center – GKToday
gktoday.in
Buy Breeza Wonder Set of 5 Canvas City Landscape Picture Frames from ...
homecentre.in
Buy Brezza Wonder Set of 2 Canvas City Landscape Print Picture Frames ...
homecentre.in
Indian Railways observes "Swachhta Pakhwara"
currentaffairs.adda247.com
Buy NERF Vortex Aero Howler Neon Foam Ball, Classic Long-Distance ...
ubuy.co.in
Understanding the Importance of a 12th Grade Certificate in India
williamcareyuniversity.co.in
Phase changes or Transformations - Crystallography
mech.poriyaan.in
Buy Artistry Boho Landscape Picture Frame - 40 x 50 cm from Home Centre ...
homecentre.in
saffron
hmwarakhwala.in
How to reach Kedarnath by Road, Train and Air | Best Way To Reach ...
timesofindia.indiatimes.com
JEE Main Previous year questions (2021-23): Work, Energy and Power PDF ...
edurev.in
Buy Brezza Wonder Set of 2 Canvas City Landscape Print Picture Frames ...
homecentre.in
Buy Brezza Wonder Set of 2 Canvas City Landscape Print Picture Frames ...
homecentre.in
Measuring Distance of Planets Astronomical Units Worksheet
twinkl.co.in
JEE Main Previous year questions (2021-23): Work, Energy and Power PDF ...
edurev.in
Nature makes its home inside this sweeping Ahmedabad dwelling ...
architecturaldigest.in
JEE Main Previous year questions (2021-23): Work, Energy and Power PDF ...
edurev.in
Buy Corsica Aura Landscape Picture Frame - 35x35cm from Corsica by Home ...
homecentre.in
Buy Corsica Aura Landscape Picture Frame - 35x35cm from Corsica by Home ...
homecentre.in
Photo Poster Prints. Print Photo as Poster | Optimalprint
optimalprint.in
Go Camping Or Hiking | LBB
lbb.in
Chinnar Wild Life - Home
chinnar.in
Anna University Solved Problems - Crystallography | Physics for ...
ece.poriyaan.in
Buy Breeza Wonder Set of 5 Canvas City Landscape Picture Frames from ...
homecentre.in
Buy Brezza Wonder Set of 2 Canvas City Landscape Print Picture Frames ...
homecentre.in
Buy Corsica Aura Landscape Picture Frame - 35x35cm from Corsica by Home ...
homecentre.in
Anna University Solved Problems - Magnetic Properties of Materials ...
mech.poriyaan.in
Practical Maintenance » Blog Archive » Plastic Deformation and Fracture
practicalmaintenance.net
Buy Corsica Aura Horse And Landscape Picture Frame - 50x30cm from ...
homecentre.in
Buy Corsica Aura Landscape Picture Frame - 35x35cm from Corsica by Home ...
homecentre.in
JEE Main Previous year questions (2021-23): Work, Energy and Power PDF ...
edurev.in
Churdhar Peak Trek | Chandigarh, Rajgarh, Nohradhar, Churdhar Trip ...
hellotravel.com
1 million dong in indian rupees - Brainly.in
brainly.in
Anna University Solved Problems - Magnetic Properties of Materials ...
mech.poriyaan.in
Char Dham Yatra Package From Ahmedabad,Char Dham Yatra Package From ...
chardhamtrip.in
Ananda Crown
anandacrown.in
Buy GOCuces Exterior Concrete LED Step Lights 3W,Line Voltage 110V 120V ...
ubuy.co.in
Le Morne Cultural Landscape, mauritius, Mauritius - Top Attractions ...
hellotravel.com
JEE Main Previous year questions (2021-23): Work, Energy and Power PDF ...
edurev.in
Buy Corsica Aura Landscape Picture Frame - 35x35cm from Corsica by Home ...
homecentre.in
Landscape Painting - Size: 8X12 Inch - Medium: PRINT ON PAPER - Price ...
amazon.in
Bishoftu Airport: Construction Begins For Africa’s Largest Aviation Hub
travelandleisureasia.com
Picnic Spots In Ahmedabad That You Just Cannot Miss Out In 2025
traveltriangle.com
Budget 2024-25 Expectations Highlights: Budget 2024: Import duty cut ...
economictimes.indiatimes.com
Additional 2 Marks Question & Answers - Crystallography | Materials Science
mech.poriyaan.in
Heights and Distances Definition, Formula, Trigonometry, Examples
sscadda.com
Buy Corsica Aura Landscape Picture Frame - 35x35cm from Corsica by Home ...
homecentre.in
𝗧𝗛𝗘 𝗕𝗘𝗦𝗧 Hotels in Athol of 2026 (with Prices) - Tripadvisor
tripadvisor.in
Le Morne Cultural Landscape, mauritius, Mauritius - Top Attractions ...
hellotravel.com
11,00,00,000 US dollars to Indian rupees Exchange Rate. Convert USD/INR ...
wise.com
SOL’s Eco-Conscious Approach Reshapes India’s Exhibition Industry ...
hitex.co.in
10 Pyramids Of Egypt Which Will Put You Under A Spell
traveltriangle.com
Draw a distance-time graph for a body which is at rest for first 2 sec ...
brainly.in
6 Scenic Waterfalls In Gangtok And Near The City You Must Visit
traveltriangle.com
10 World Famous National Parks In Mexico You Should Visit
traveltriangle.com
Ooty to coonoor package trip information, Dodda betta, Dolphin and ...
go2india.in
Time & Distance Formula, Tricks, Question & Answer
bankersadda.com
Gases exert pressure on the walls of the container.Explain - Brainly.in
brainly.in
Le Morne Cultural Landscape, mauritius, Mauritius - Top Attractions ...
hellotravel.com
Related Searches
Interatomic Potential
Interatomic Distance Formula
Atomic Spacing
Interatomic Bonding
Interatomic Distance Copper
Interatomic Potential Energy
Interatomic Forces
Potential Energy vs Interatomic Distance
Interatomic Distance PDF
Interatomic Distance Metals
Interatomic Distance Landscape
Interatomic Distance Table
Interatomic Distance Meaning
Symbol for Interatomic Distance
Interatomic Distance in Iron
Interatomic Distance in Crystalline Si
Equilibrium Interatomic Distance
Interatomic Interactions
Equilibrium Bond Distance
Interatomic Distance of Molecule
Interatomic Distance Equation
Interatomic Distance Unit
Interatomic Force vs Distance Curve
Interatomic Distance PT Lattice
Potential Energy vs Interatomic Distance Graph
Interatomic Distance Calculation
Interatomic Distance of Si Atom
Short Interatomic Distance
How to Calculate Interatomic Distance
Interatomic Distance in Hkl
Interatomic Distance in Water Molecules
Interatomic Separation in Al
Interatomic Distance Gaas
Interionic Distance
Interatomic Distance of Si Crystal
Shortcut for Interatomic Distance
Interatomic Distance of Carbon and Silicon
Interatomic Distance Order of Magnitude
Interatomic Distance Grapgh
Graphene Interatomic Distance
Interatomic Distance Energy Plot
Stress Distribution Interatomic Distance
Diamond Crystal Interatomic Distance
Interatomic Distance Vertical Axis
Electric Potential Energy
Interatomic Distance Fracture Strength
What Is Smallest Interatomic Distance
Bond Length
Interatomic Distance and Band Splitting
Interatomic and Intermolecular Forces
Search
×
Search
Loading...
No suggestions found