Find Your Style
Women
Men
Accessories
Search for clothing, brands, styles...
×
Women
Men
Accessories
Iterated Function System Application
Search
Loading...
No suggestions found
Iterated Function Systems, the Parallel Progressive Synthesis of ...
amazon.in
Unit IV V and VI - CNS - UNIT-IV Iterated Hash Functions Merkle-Damgard ...
studocu.com
Blog :: Indeekshatech
indeekshatech.com
iterator() - Function
learnerslesson.com
Benefits of implementing SAP ERP solutions for businesses
xapotechsystems.com
Security in Software Development and Infrastructure System Design | by ...
1985.co.in
Multi-Agent-Based Controller for Microgrids: An Overview and Case Study
mdpi.com
A Distributed Blocking Flowshop Scheduling with Setup Times Using Multi ...
mdpi.com
An Iterated Local Search Algorithm for Multi-Period Water Distribution ...
mdpi.com
Computer Software(System software and Application software): - Smart ...
thedigitalfk.in
Innate Immunity - MedicalVerge
medicalverge.in
What is Application Layer of OSI Model - Computer Networking
sitesbay.com
A Variant Iterated Greedy Algorithm Integrating Multiple Decoding Rules ...
mdpi.com
Connectivity Solutions for Two-Wheelers - TE | DigiKey
digikey.in
An Iterated Local Search Algorithm for Multi-Period Water Distribution ...
mdpi.com
Chat Application System Design Explained: Flow Diagrams, Requirements ...
blog.calcont.in
An Iterated Local Search Algorithm for Multi-Period Water Distribution ...
mdpi.com
Block Diagram of Computer: Components and Functions Explained
21kschool.com
Hifi11 Technologies - Custom Software Development | Ecommerce, POS, CRM ...
hifi11.in
One one or Many one Function Methods & Examples | AESL
aakash.ac.in
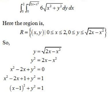
Evaluate the iterated integral by converting to polar coordinates ...
ask.learncbse.in
Functions of Operating System - Operating System Tutorial
sitesbay.com
Mind Maps for Relations and Functions Revision - Class 12, JEE
esaral.com
Question and Answer - MindStudy
mindstudy.in
Types of Software Chapter Notes - Computer Studies Class 5 ICSE PDF ...
edurev.in
Iterated Integrals - Calculus - Mathematics PDF Download
edurev.in
Composite Functions: Properties, Definition & Examples | AESL
aakash.ac.in
Organ Function Matching Cards
twinkl.co.in
Real-World Applications of Scalar and Vector Quantities: Simplified ...
physicsblog.in
Solved: Suppose R is the shaded region in the figure. As an iterated ...
gauthmath.com
The Pancreas in Digestion: Key Functions and Health
medicoverhospitals.in
Types of Application Software | An Ultimate Guide 2025
acodez.in
Salvage Value - Uses, Importance, Calculation and Example
navi.com
Respiratory System: Parts, Function, Organs and Diseases
adda247.com
Buy From Anatomy to Function of the Central Nervous System: Clinical ...
amazon.in
Dairy Management System - SYNOPSIS The Dairy Product Management System ...
studocu.com
Leave Application for Marriage: 5 Best Samples Templates
cheggindia.com
Application for half day leave for family function - Brainly.in
brainly.in
Introduction: Control Systems - Electrical Engineering (EE) PDF Download
edurev.in
What Is a DBMS? Understanding Database Management System
hostinger.in
Sinocare Safe AQ UG Blood Glucose & Uric Acid Monitor Bi-Function ...
flipkart.com
Functions of operating system | Operating system
careersknowledge.in
KIET-LMS : Search results
lms.kiet.edu
Real-Time Flood Warning System Application
mdpi.com
Comparison of Long Short Term Memory Networks and the Hydrological ...
mdpi.com
Fractal Fract | Special Issues
mdpi.com
Stimuli-Responsive Nanomaterials for Application in Antitumor Therapy ...
mdpi.com
Human Respiratory System: Definition, Diagram, Parts and Function
careerpower.in
Plant Hormones: Functions, Types, and Diagram
careerpower.in
Cheque Scanners
essmatrix.in
Real-Time Flood Warning System Application
mdpi.com
Fractal Fract | Special Issues
mdpi.com
Root System: Definition, Functions, and Types of Roots
careerpower.in
Visa Management-V14
app.solufyerp.com
write the difference between applications software and system software ...
brainly.in
Anti-Inflammatory Neutrophil Functions in the Resolution of ...
mdpi.com
Porchys
porchys.in
Buy Delis Kaplan Executive Function System Stimulus Book (D-KEFS) (KEFS ...
amazon.in
What are the Different Types of HR Software | T/DG Blog - Digital Thoughts
blog.thedigitalgroup.com
Sinocare Safe AQ UG Blood Glucose & Uric Acid Monitor Bi-Function ...
flipkart.com
The Future of GPS Technology in IoT Applications – ThinkRobotics.com
thinkrobotics.com
Library Management System - Best Library Software 2023
iitms.co.in
Function of skeletal system
firsthope.co.in
Buy Delis-Kaplan Executive Function System Manual (D-KEFS) (KEFS- D ...
amazon.in
Signals and Control Systems: Application for Home Health Monitoring ...
amazon.in
Comprehensive Survey of IoT, Machine Learning, and Blockchain for ...
mdpi.com
IoT (Internet of Things) in Hindi & English | Uses & Benefits | Dzire ...
dzireinfotech.co.in
Hacker Culture | Encyclopedia MDPI
encyclopedia.pub
Ceramic Braces: Benefits, Care, and Effectiveness
medicoverhospitals.in
Parts of Respiratory System Diagram, Function, Organs and Diseases
adda247.com
Database Systems: An Application-Oriented Approach, Introductory ...
amazon.in
How to use Array reduce() Method in JavaScript with Example
encodedna.com
An Iterated Local Search Algorithm for Multi-Period Water Distribution ...
mdpi.com
Buy Digital Systems: Principles and Applications Book Online at Low ...
amazon.in
Whats the difference between function, department and process? - Brainly.in
brainly.in
Frontier TM619H2 Digital Timer Programmable Time Switch with LCD 4 Pin ...
amazon.in
Section 12AB - Provisions & registration procedure
taxguru.in
Expert Systems With Applications - Elsevier - Impact Factor | S-Logix
slogix.in
Sequencing Infrastructure Investments under Deep Uncertainty Using Real ...
mdpi.com
बिजली मीटर चेंज एप्लीकेशन इन हिंदी | Bijli Meter Change Application in ...
khojhal.com
Online Video-Tutorials for Maths-III | Magic Marks
magicmarks.in
Prof. Bhagwati Prasad Chamola - Professor in JIIT
jiit.ac.in
Hacker Culture | Encyclopedia MDPI
encyclopedia.pub
Evaluate the iterated integral by converting to polar coordinates ...
ask.learncbse.in
Leave Application for Sister/Brother marriage form Office
adda247.com
Buy The Geometry of Iterated Loop Spaces: 271 (Lecture Notes in ...
amazon.in
Factors Affecting the Effectiveness of Bioelectrochemical System ...
mdpi.com
Satellite Navigation System, Examples and Application
studyiq.com
D-KEFS - Delis-Kaplan Executive Function System | Pearson Clinical ...
pearsonclinical.in
Buy Drawing Board A3 Drafting Board Drawing Table Board Multi-Function ...
desertcart.in
Matching Objects with their functions - Activity Sheet
twinkl.co.in
Organise On-Campus Training in your College - i3indya™ Technologies
i3indyatechnologies.com
Sinocare Safe AQ UG Blood Glucose & Uric Acid Monitor Bi-Function ...
flipkart.com
explain the components/ elements/ various parts of MS-Word application ...
brainly.in
Control Systems : Theory and Applications, 2/e : Smarajit Ghosh: Amazon ...
amazon.in
Indian and International Number System Poster
twinkl.co.in
Leave application for religious function to go at it native place ...
brainly.in
5 latest application software - Brainly.in
brainly.in
Buy Pool Salt Chlorinator System, 20G/H Plastic Salt Water Chlorine ...
desertcart.in
Real-Time Flood Warning System Application
mdpi.com
Respiratory system parts and functions short answer - Brainly.in
brainly.in
Public Distribution System
studyiq.com
Real-Time Flood Warning System Application
mdpi.com
Final-Case tools-Print Out - 1. PASSPORT AUTOMATION SYSTEM USE CASE ...
studocu.com
Buy Compact USB Fingerprint Reader Scanner,Reliable Biometric Access ...
desertcart.in
Más ejemplos de diagramas de despliegue
edrawsoft.com
SRM University : A PHP Error was encountered Severity: Notice Message ...
srmuniversity.ac.in
How to Write a Perfect Leave Letter for School in 2025: Formats for ...
collegesearch.in
How to Use the Print Screen Key to Take a Screenshot in Microsoft ...
dell.com
Indian Judiciary System – Structure, Function & Key Facts
lloydlawcollege.edu.in
Hacker Culture | Encyclopedia MDPI
encyclopedia.pub
Turbo Energy Private Limited (TEL ) - Turbochargers | Turbocharger ...
turboenergy.co.in
Office of the District Land and Land Reforms Officer, Uttar Dinajpur ...
uttardianjpurrequirements.dcpuud.in
Show that the function f : R* → R* defined by f(x) = 1/x is one-one and ...
ask.learncbse.in
Presentation Layer of OSI Model - Computer Networking
sitesbay.com
How to Write a Perfect Leave Letter for School in 2025: Formats for ...
collegesearch.in
Library Management System - Best Library Software 2023
iitms.co.in
Cyber Physical Systems – Concept to reality
indiaai.gov.in
Management of Aortic Stenosis: 2021 ESC/EACTS Guidelines
medicaldialogues.in
Buy ton Advance Multi and Mineral s - Contains Selenium which ...
desertcart.in
Related Searches
Iterated Function
Iterated Function System Application
Iterative Function
Lyapunov Fractal
Iterated Meaning
Kaleidoscopic Iterated Function System
Affine Function
Iterated Function System Dragon Curve
Fractal Types
Iterated Maps
IFS Fractal
Iterated Function Systems Fractals
3D Iterated Function System Examples
Lindenmayer System
Fractal Compression
Which Is E and F Represent in Fractal Iterated Function System
Fractal Dimension
Iterated Function in Real Life
Iterates of Functions
Kaleidoscopic Iterated Function System Cube
Fractal Iteration
Invariant Measure
Fern Leaf Fractal
Function Transformation Formula
Triangle Fractal
Iterated Function System for Visualisation of Genomes
Pascal Sierpinski Triangle
IFS Tools
Fractal Tree
Spectral Decomposition
Fractal Nature of the Universe
Simple Fractal Geometry
Barnsley Fern
System Intrumented Function
Fractal Flame
Rossler System Chaos Iterated Map
Cell Phone Fractal Antenna
Sierpinski Triangle Stages
Fractals in Creation
What Is an Affine Function
Sierenski Triangle
IFS Fractal Software
Hartman-Grobman Theorem
Sierpinski Gasket
Function Transformation Equation
Fractal Geometry Square
Triangle Rule Vectors
Iterated Fractals Initiator
Iterated
Iterated Function System Spiral Model
Search
×
Search
Loading...
No suggestions found