Find Your Style
Women
Men
Accessories
Search for clothing, brands, styles...
×
Women
Men
Accessories
Leupold 1 4x Scope
Search
Loading...
No suggestions found
Buy Tbest Anti-Reflection Device, Durable Plastic Anti-Reflection ...
ubuy.co.in
Leica Vario-Elmar-SL 100-400 f/5-6.3 Lens & Extender L 1.4x Set
leica-store.in
Buy Tbest Anti-Reflection Device, Durable Plastic Anti-Reflection ...
ubuy.co.in
Buy Tbest Anti-Reflection Device, Durable Plastic Anti-Reflection ...
ubuy.co.in
Weaver Mounts and Bases Chart
opticsplanet.com
Buy Tbest Anti-Reflection Device, Durable Plastic Anti-Reflection ...
ubuy.co.in
Buy Tbest Anti-Reflection Device, Durable Plastic Anti-Reflection ...
ubuy.co.in
Buy Tbest Anti-Reflection Device, Durable Plastic Anti-Reflection ...
ubuy.co.in
1X40RD Red Green Dot Crossbow Optics – INDIAN SLINGSHOT
indianslingshot.com
Buy Tbest Anti-Reflection Device, Durable Plastic Anti-Reflection ...
ubuy.co.in
Buy Tbest Anti-Reflection Device, Durable Plastic Anti-Reflection ...
ubuy.co.in
Buy Tbest Anti-Reflection Device, Durable Plastic Anti-Reflection ...
ubuy.co.in
Sigma TC-1401 1.4x Teleconverter for Canon EF | Future Forward
futureforward.in
Burris RT-6 1-6x24, 459,90
sportwaffen-selector.com
PUBG Mobile: How To Make The Crossbow A Viable Weapon Choice
gurugamer.com
Burris RT-6 1-6x24 Combo Kit, 949,00
sportwaffen-selector.com
Best BGMI 4x Scope Sensitivity Settings For Pro Gameplay
gurugamer.com
PUBG: How To Maximize The Potential Of The M416
gurugamer.com
PUBG Mobile 4x Scope Sensitivity Settings, Pro Tips, And Completed Guide
gurugamer.com
PUBG Mobile 4x Scope Sensitivity Settings, Pro Tips, And Completed Guide
gurugamer.com
PUBG Mobile 4x Scope Sensitivity Settings, Pro Tips, And Completed Guide
gurugamer.com
Best BGMI 4x Scope Sensitivity Settings For Pro Gameplay
gurugamer.com
PUBG Mobile 4x Scope Sensitivity Settings, Pro Tips, And Completed Guide
gurugamer.com
PUBG Mobile 4x Scope Sensitivity Settings, Pro Tips, And Completed Guide
gurugamer.com
PUBG Mobile 4x Scope Sensitivity Settings, Pro Tips, And Completed Guide
gurugamer.com
Understanding Histogram in Photography- How to shoot better | by ...
pixelstories.in
Best BGMI 4x Scope Sensitivity Settings For Pro Gameplay
gurugamer.com
Best BGMI 4x Scope Sensitivity Settings For Pro Gameplay
gurugamer.com
PUBG Mobile 4x Scope Sensitivity Settings, Pro Tips, And Completed Guide
gurugamer.com
Best BGMI 4x Scope Sensitivity Settings For Pro Gameplay
gurugamer.com
PUBG Mobile 4x Scope Sensitivity Settings, Pro Tips, And Completed Guide
gurugamer.com
What are Scope 3 Emissions? | Workiva
workiva.com
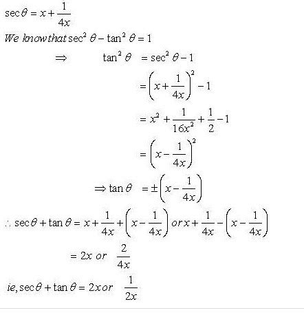
If sec theta =x+1/4x , then prove that tan theta + sec theta =2x or 1 ...
brainly.in
1/2 x 1" Hex Machine Bolt A307 Grade A Steel (Quantity: 50) Hot Dipped ...
amazon.in
If x, 2x + 1 and 4x – 1 first three terms of an A.P., then find the ...
brainly.in
prove that (cos^4x+sin^4x)=1/2(2-sin^2 2x) - Brainly.in
brainly.in
What is the inverse of the function f(x) = 1/4x – 12? a) h(x)= 48x - 4 ...
brainly.in
2x³-4x+7x²+7/x²+2x-1 - Brainly.in
brainly.in
factorise 27x3 - 1/216 - 9/2x2+1/4x - Brainly.in
brainly.in
(4x+5) (4x-1)use suitable identity - Brainly.in
brainly.in
Free Fire: Thermal Scope VS 4x Scope, Which One Is Better?
gurugamer.com
[Expert Verified] solve graphically 2x+y-6 and 4x-2y-4=0 - Brainly.in
brainly.in
(4x+1)÷3+(2x-1)÷2-(3x-7)÷5=6 solve the equations - Brainly.in
brainly.in
Integration of dx/4x+5 - Brainly.in
brainly.in
How To Adjust PUBG Sensitivity Code In PUBG Mobile And Fortnite ...
cashify.in
Consider f : R → R given by f(x) = 4x + 3. Show that f is invertible ...
ask.learncbse.in
Find the product of (using Identity): (4x+5)(4x-1) - Brainly.in
brainly.in
Divide polynomial p(x) = 3x4 + 4x3 + 4x2 – 8x + 1 by q(x) = 3x + 1 ...
brainly.in
factorise 27x³-1/216-9/2x²+1/4x - Brainly.in
brainly.in
Best Sensitivity Settings For PUBG Mobile No Recoil 2021
gurugamer.com
if sec A = x+1/4x then prove that sec A + TAN A=2x or 1/2x - Brainly.in
brainly.in
4x^4-5x^3-7x+1÷(4x-1) - Brainly.in
brainly.in
Find the zeroes of the quadratic polynomial 4x2 – 4x – 3 and verify the ...
brainly.in
Differentiate cos^-1(4x^3-3x) with respect to x if -1/2
brainly.in
Find the L.C.M. (ल. स. पत्ता लगाउनुहोस्) : 8x ^ 3 , 16x ^ 4 - 4x ^ 2 ...
brainly.in
divide 22x +8x³-6x + 15 by 1+4x - Brainly.in
brainly.in
PUBG Mobile 4x Scope Sensitivity Settings, Pro Tips, And Completed Guide
gurugamer.com
Burris RT-6 1-6x24, 459,90
sportwaffen-selector.com
4x-1/4x+1 +4x+1/4x-1=10/3 - Brainly.in
brainly.in
If secA=x+1/4x, then prove that secA+tanA . . . | Class 10
10.mathsteacher.in
4^44+4^44+4^44+4^44=4^x - Brainly.in
brainly.in
Find each of the following products: 1. (4x+9) x (x-6) . - Brainly.in
brainly.in
If secA=x+1/4x, then prove that secA+tanA . . . | Class 10
10.mathsteacher.in
PUBG Mobile 3x Scope Sensitivity And Pro Tips For Bullet Spray
gurugamer.com
Find the value of K if (x-1) is a factor of p(X): 4x3+3x2+4x+k - Brainly.in
brainly.in
factorise:- 27x^3-1/216-9/2x^2+1/4x - Brainly.in
brainly.in
View question - How to graph y=-1/4x-2?
web2.0calc.com
If (1\4)^-4×(1\4)^-8 = (1/4)^-4x - Brainly.in
brainly.in
solve 2/3 (4x-1) - (4x-1-3x/2) equal to x-7/2and verify the answer ...
brainly.in
Find the square root of 4x^2 2 1/4x^2 pls guys i need fast - Brainly.in
brainly.in
3 ) If 9x ^ 2 + 1/(4x ^ 2) = 13 , find the value of 3x + 1/(2x) and 27x ...
brainly.in
2x+y=23. .....(1) 4x-y=19. ......(2) adding (1) and (2) 2x+y=23 + 4x-y ...
brainly.in
If secA=x+1/4x, then prove that secA+tanA . . . | Class 10
10.mathsteacher.in
Best Guide On How To Set ADS Sensitivity In PUBG Mobile
gurugamer.com
√4x-1/4x+1-√4x+1/4x-1=8/3 - Brainly.in
brainly.in
Solve:4x+1/3x-1=9/5 - Brainly.in
brainly.in
Classify the following: X+1,3x+2x+1, 4x, 8x+5y, y 2y+3 feruet (Monomial ...
brainly.in
Integration e^3x sin 4x dx explain in great detail - CBSE Class 12 ...
ask.learncbse.in
Solve 6(1 - 4x) + 7(2 + 5x) = 5 - Brainly.in
brainly.in
what is the coefficient of x in this equation (x-1)²= 4x+5 - Brainly.in
brainly.in
Integrate of 1/3x^2-4x-5 dx - Brainly.in
brainly.in
x+1/x-1 +x-1/x+1 -4x /x^2+1 - Brainly.in
brainly.in
2x-(7-5x)/9x-(3+4x)=7/6 - Brainly.in
brainly.in
3÷x+1+4÷x-1=29÷4x-1; where x is not equal to 0,-1,2 - Brainly.in
brainly.in
if tanx =x-1/4x, then secx - tanx is equal to - Brainly.in
brainly.in
solve and check 1_4x=_11 - Brainly.in
brainly.in
If sec theta = x+1/4x ,prove that : sec theta -tan theta=2x or 1/2x ...
brainly.in
if 2x + 1/3x = 4 then what is 9x^2 + 1/4x^2 - Brainly.in
brainly.in
if 2x + 1/2x = 5 then 4x^2 + 1/4x^2 = ..... - Brainly.in
brainly.in
2x-7y=1,4x+3y=15 Solve - Brainly.in
brainly.in
Solve: 1/4x+1/6x=x-7 - Brainly.in
brainly.in
2x+y=23. .....(1)4x-y=19. ......(2)adding (1) and (2)2x+y=23+ 4x-y=19 ...
brainly.in
if sec A = x+1/4x then prove that sec A + TAN A=2x or 1/2x - Brainly.in
brainly.in
x^2+1/4x^2=8 find x^3+1/8x^3 - Brainly.in
brainly.in
if 2x-1/2x=13,, then find the value of 4x^2+1/4x^2 - Brainly.in
brainly.in
if x^2+1/4x^2=8, find x^3+1/8x^3 - Brainly.in
brainly.in
solve equation 3/4(x-3)- (2x-1/4x)=x+3/5 - Brainly.in
brainly.in
simplify(4x+2y)³(4x-2y)³ - Brainly.in
brainly.in
Find d/dx tan⁻¹ 4x/1+21x², x > 0 - Brainly.in
brainly.in
Divide 28x + 8x³ - 6x² + 15 by 1+4x - Brainly.in
brainly.in
Integration of 2x-3/3x^2+4x+5 dx - Brainly.in
brainly.in
2x² -1 / 4x³ - 2x² -3 - Brainly.in
brainly.in
[Solved] Check whether the following equations are consistent or ...
brainly.in
maths pls answer fast - Brainly.in
brainly.in
Top 5 Worst Weapons In Garena Free Fire
gurugamer.com
give right answer plz - Brainly.in
brainly.in
can anyone explain this? How does it happen? - Brainly.in
brainly.in
Related Searches
Leupold Rimfire Scope
Silver Leupold Scope
Leupold Scout Scope
4X Scope
Leupold M8 4X Scope
Leupold AR Scope
Leupold Scope Reticles
Leupold 4X Compact Scope
Leupold Scopes Logo
Leupold Mark 4 Scope
Stainless Leupold Scope
Leupold 1-4X Scope
Leupold Fixed 4X Scope
Red Dot 4X Scope
Leupold Scope Covers
Leupold Mk4 Scope
Leupold VX-2
Leupold Rifle Scope Reticles
Leupold 22 Scope
Leupold M4 Scope
Leupold FireDot Reticle
Leupold Scope Reticles Types
Weaver 4X Scope
Leupold Crosshairs
Leupold M8 3X
Leupold VX-R
Leupold 16X Scope
Leupold Scope Cover Chart
Leupold Binoculars
Leupold Pioneer Scope
Leupold Gloss Scope
Leupold 58750
Leupold FX-II
Anschutz 4X Scope
Leupold 30Mm Scopes
Leupold Prism Scope
Leupold Mountaineer 4X Scope
RF 4X
Leupold 4X Fixed Power Scope
Leupold Short Scope
Leupold Scope 4X32
Leupold Offset Scope
Leupold Red Dot Sight
Leupold Duplex Scope
Leupold Deer Scope
Leupold M7 4X
Leupold FX2 4X33
Leupold Guns
Nikon 4X Scopes
Leupold FX I Rimfire Scope
Search
×
Search
Loading...
No suggestions found