Find Your Style
Women
Men
Accessories
Search for clothing, brands, styles...
×
Women
Men
Accessories
Maaltafels 27x
Search
Loading...
No suggestions found
INR Full Form: What is full form of INR?
bankersadda.com
Top 10 Countries Where INR Has the Highest Value in 2025
currentaffairs.adda247.com
BenQ PD2730S Monitor Debuts at INR 1,02,500 in India, 27-Inch 5K ...
smestreet.in
2,900 INR to USD - Convert Indian rupees to US dollars | INR to USD ...
wise.com
KWD to INR conversionDownload it from KWD to INR conversion for free 7.99
durslt.du.ac.in
Maaltafels 1 tot 12 Plakkaat | Grondslagfase | Twinkl ZA
twinkl.co.in
Maaltafels tot 12 Toets 1
twinkl.co.in
Hoofrekeninge Toetse - Maaltafels (teacher made) - Twinkl
twinkl.co.in
FREE! - Eggman se Uiterse Maaltafels Uitdaging Aktiwiteitskaart
twinkl.co.in
Maaltafels Oorlogskepe Speletjie (teacher made) - Twinkl
twinkl.co.in
Learn Multiplication Table of 27 | 27 Times Table [ ️]
brightchamps.com
Buy Times Tables 1 to 12 Blue Wall Chart Educational Maths Sums ...
desertcart.in
Factorise 27x cube -1/216 -9/2x square +1/4x - Brainly.in
brainly.in
5. If x = -1/3 is a zero of given polynomial, then find 'a' 27x^3 -ax^2 ...
brainly.in
the value of 1/x in the given equation 27x+9=-3/5(25x+5) - Brainly.in
brainly.in
If 3x-2y=13 and xy=5,find the value of 27xcube-8ycube - Brainly.in
brainly.in
factorise1/27x^3-y^3+125z^3+5xyz - Brainly.in
brainly.in
If 3x-2y = 3 , Find the value of [tex] {27x}^{3} - 8y^{3} + {54x}^{2}y ...
brainly.in
Find the roots of the equation . 27x+42x -28x-8 0 given that they are ...
scoop.eduncle.com
y=x^3 + 14/27x^-3/7-99/33^a√x^27 differentiation - Brainly.in
brainly.in
if 3x-2x=13 and xy=5 find the value of 27x^3 -8y^3 - Brainly.in
brainly.in
FACTORISE- 27x^3+y^3+z^3-9xyz - Brainly.in
brainly.in
If x = 91/3 + 3-2/3, what is the value of 9x3 - 27x? - Brainly.in
brainly.in
2x + 3y = 10 xy=4 Find : 8x^3+27x^3 - Brainly.in
brainly.in
FACTORISE : 27X^3 + Y^3 + Z^3 - 9XYZ - Brainly.in
brainly.in
27x (-8) + 27x (-10) - Brainly.in
brainly.in
x^2-27x+182=0 solve this - Brainly.in
brainly.in
His not equal to 0 and 3x+1/3x=8then find the value of 27x^3 +1/27x3 ...
brainly.in
If 3x-4y=5 and xy =3,find 27x-64y3 - Brainly.in
brainly.in
Factorise the following expressions :(i) 27x^3– 8y3 – 54x²y +36xy^2 ...
brainly.in
The sum of the series 1+3x+9x^2+27x^3+......infinity terms is a finite ...
brainly.in
6x^5+4x^4-27x^3-7x^2+27x-6 is divided by (2x^2-3)? - Brainly.in
brainly.in
3.27x+1+27.3³x upon 3.3³x+2-⅓.27x+1 - Brainly.in
brainly.in
If d is the hcf of 45 and 27 find x and y satisfying d = 27x+45y ...
brainly.in
The sum and product of zeroes of polynomial f(x) =4x2 - 27x+3k are ...
brainly.in
If 27^x= 9/3^ x, find X. - Brainly.in
brainly.in
lcm of 8 and 2 full solution - Brainly.in
brainly.in
-x^2+27x-182=0 by completing the square methods - Brainly.in
brainly.in
if 3x-2y=13and xy=5 . find 27x^3-8y^3 - Brainly.in
brainly.in
Solve x: 10 x2 - 27x + 5 = 0 (The x2 is x square.) - Brainly.in
brainly.in
Find the value of 27x^3+8y^3, if i) 3x+2y=14 and xy=8ii) 3x+2y=20 and ...
brainly.in
1 million dong in indian rupees - Brainly.in
brainly.in
India shining: Rupee inches closer to becoming international currency ...
timesnownews.com
factorise 27x^3-1/216-9/2*x^2+1/4*x - Brainly.in
brainly.in
Factorise 27x*3 - 125y*3 - Brainly.in
brainly.in
factorise x^4 + x^3 + 27x + 27 - Brainly.in
brainly.in
If one zero of 4x3 – 20x2 + 27x – 9 is 3, find the other zeros of the ...
brainly.in
Factorise 27x^3+ 1/64y^3+ 27x^2/4y+ 9x/16y^2 - Brainly.in
brainly.in
8 Obat Stroke yang Efektif dan Tersedia di Apotik - Alodokter
alodokter.com
What should be added to 6x^5+4x^4-27x^3-7x^2-27x-6 so that the ...
brainly.in
what will be the remainder when 6x⁵+4x⁴–27x³–7x²+27x+3/2 is divided by ...
brainly.in
If 3x+4y=11 and xy=2 then the value of 27x^3 + 64y^3 - Brainly.in
brainly.in
27x^3-27x^2+9x-65 please solve using formula.. - Brainly.in
brainly.in
Divide; (27x³-8) by(3x-2) - Brainly.in
brainly.in
6x^5 +4x^4-27x^3-7x^2 -27x-6 by 2x^3-3...divide the polynomial - Brainly.in
brainly.in
Find the value of 27x^3 + 8y^3 if 3x + 2y = 14 and xy=8 - Brainly.in
brainly.in
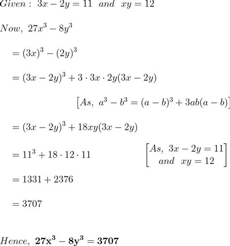
2. If 3x - 2y = 11 and xy = 12, find the value of 27x³-8y³. - Brainly.in
brainly.in
if 3x-2x=13 and xy=5 find the value of 27x^3 -8y^3 - Brainly.in
brainly.in
Uses and SideEffects of Warfarin: What You Need to Know
medicoverhospitals.in
27x³-5√5y³ factorise - Brainly.in
brainly.in
Find the value of x+y and x-y if 27x +31y=85:31x + 27y =89 - Brainly.in
brainly.in
what will be the remainder when 6x^5 + 4x^4 -27x^3 - 7x^2 + 27x +3/2 is ...
brainly.in
Find the value of 27x^3 - 1/27x^3 , if 3x - 1/3x = 5 - Brainly.in
brainly.in
. If 3x – 2y =11 and xy = 12, then find the value of 27x^3 - 8y^3 ...
brainly.in
Find the value of x + y and x - y if 27x + 31y = 85 and 31x + 27y = 89 ...
brainly.in
Solve for x = 48³ = 27x¹² - Brainly.in
brainly.in
find the value of 27x^3 + 8y^3, if 3x+2y=20 and xy = 11/9 - Brainly.in
brainly.in
Simplify := √45-3√20 + 4√5 - Brainly.in
brainly.in
18. Find the value of x3 + y3 + z3 , ifx + y + z = 11, x2 + y2 + z2 ...
brainly.in
Factorise: 27 x^3 + 343y^3 - Brainly.in
brainly.in
Resolve into factors:27x^3+y^3+z^3-9xyz - Brainly.in
brainly.in
Find x, if 9 ×3x = (27)²x-3 - Brainly.in
brainly.in
if 3x-4/x =4 and x!=0;find : 27x cube -64/x cube[tex]if 3x-4/x =4 and x ...
brainly.in
Factorise: 27x^3-108x^2+144x-64 - Brainly.in
brainly.in
what should be added to 6x^5+4x^4-27x^3-7x^2-27x-6 so that the ...
brainly.in
What should be added to 6x^5+4x^4-27x^3-7x^2-27x-6 so that the ...
brainly.in
If 8x³+27x² - 9x - 50 is divided by (x + 2) then remainder is λ then 3λ ...
brainly.in
Factorise : 9x^3-27x^2-100x +300 By factor theorem - Brainly.in
brainly.in
factorise 27x^3+64y^3 - Brainly.in
brainly.in
Solve for x = 48³ = 27x¹² - Brainly.in
brainly.in
Q1. Simplify:1) (2x²y-³)-²2) (27x-³y⁶)²/³ - Brainly.in
brainly.in
Find the value of 27x 3 + 8y 3 , if 3x + 2y = 20 and xy = 11/9 - Brainly.in
brainly.in
3x+1/3x=8 , x not equal to 0Find 27x^3+1/27x^3 - Brainly.in
brainly.in
27x^3-135x^2 +225x -125. —————————— factorise using suitable identity ...
brainly.in
International Trade Settlement in Indian Rupee (INR)
taxguru.in
divide:- 6x^5+4x^4-27x^3-7x^2-27x-6 by (2x^2-3) - Brainly.in
brainly.in
factorise:- 27x^3-1/216-9/2x^2+1/4x - Brainly.in
brainly.in
Find the value of 27x^3+8y^3, if i) 3x+2y=14 and xy=8ii) 3x+2y=20 and ...
brainly.in
Factorise 27x^3 -(3x-y)^3 - Brainly.in
brainly.in
Factorise 27x³+ y³+z³-9xyz - Brainly.in
brainly.in
find the value of 27x^3+8y^3 if 3x + 2y= 14 and xy= 8 - Brainly.in
brainly.in
(27x^-3y^6)^2/3 solve the question please anyone - Brainly.in
brainly.in
What should be subtracted from 27x^2-9x^2-6x-5 to make it exactly ...
brainly.in
Find the value of x+y and x-y if 27x +31y=85:31x + 27y =89 - Brainly.in
brainly.in
USD/INR Cracks Big: Falls 2% in 4 Days! | Investing.com India
in.investing.com
if 81x^5+27x^3-9x^2+50 is divided by (3x+2) then remainder is A, then ...
brainly.in
Find the sum and product of zeroes of the following polynomials 5x2 ...
brainly.in
3x+1/3x=8 , x not equal to 0Find 27x^3+1/27x^3 - Brainly.in
brainly.in
If 3x+2y=9 and xy=3 then find 27x^3 + 8y^3 - Brainly.in
brainly.in
If x² + 1 / 81x² = 2 , then find 27x³ - 1/ 27x³. - Brainly.in
brainly.in
Simplify 1 + 2+√3 2 √5-√3 + 1 2-√5 Simplify 1 + 2 + √3 2 √5 - √3 + 1 2 ...
brainly.in
if 3x+y+z=0 then show that 27x^3+y^3+z^3=9xyz - Brainly.in
brainly.in
Rupee Depreciation: Will India's Exports Stand To Gain? | Investing.com ...
in.investing.com
Buy Diamond Necklace Online | Diamond Set Online Manubhai Jewellers
manubhai.in
Lodha Crown Khoni bypass Lodha Crown Taloja Rent - WITHOUT BROKERAGE ...
nobroker.in
Find the value of 27x³+8y³ y3x+2y=20 and xy [tex]\frac{11}{9}[/tex ...
brainly.in
factorise 27x cube +y cube+z cube - 9xyz - Brainly.in
brainly.in
27x^3-135x^2-225x-125 factorise using identity - Brainly.in
brainly.in
factorise 27x^3 - 8y^3 - 54x^2y +36xy^2 - Brainly.in
brainly.in
27x^3-135x^2+225x-125FACTORISE.... - Brainly.in
brainly.in
(3.27 ^ (x + 1) + 27.3 ^ (3x))/(3.3 ^ (3x + 2) - 1/3 * 0.27 ^ (x + 1 ...
brainly.in
MP Govt to Award ₹239 Crore to 94,000 Top Scoring Class 12 Students ...
jagranjosh.com
Gold Necklace Set for Women | Buy Gold Necklace Set Online India ...
manubhai.in
Fake notes worth over Rs 14 lakh in Rs 500 denominations seized in Odisha
odishatv.in
International Trade Settlement in Indian Rupee (INR)
taxguru.in
Buy Gold Bangles Online India with Latest Designs - Manubhai Jewellers
manubhai.in
The value of 3x³+9x²+27x ÷3x is - Brainly.in
brainly.in
Diamond Necklace Designs | Buy Diamond Necklace Set Online at Best ...
manubhai.in
Nora Lighting NMIOT-11-MPW-F-27X-10-B Iolite 5" Integrated LED Square ...
fergusonhome.com
( 3x+1)^3 expand please give me answer - Brainly.in
brainly.in
Related Searches
Maaltafels Werkblad
Maaltafels Oefenen
Maaltafels Spelletjes
Deeltafels
Wiskunde Maaltafels
Tafel Van 4
Maaltafels Tot 100
Tafels Oefenen
3 Maaltafels
Maaltafels Boek
Maaltafels 12
Keersommen
Maaltafels Tabel
Tafelkaart
Tafel Van 8
Priemgetalle
Wiskunde Oefeningen
Maaltafels Graad 4
Tafels Leren
Tafels Rekenen
Tafels Oefenen Werkbladen
Maaltafels Kaart
Tafel Van 1 Tot 12
Tafels Van 1 Tot 10
Rekenen Groep 7 Oefenen
Graad 2 Tafels
Stitch Maaltafels
Tafeldiploma
Deelsommen
Tafel 6
Rekentafels
Tafel Van 5
Oefenbladen Maaltafels
Maaltafels En Deeltafels Oefenen
15 Maaltafels
Maaltafels Kaartjes
Graad 1 Werkkaarte
Tafelsommen
Maaltafels Printables
Maaltafels Poster
Maaltafels Memory
Maaltafels Oefenblad
Tafel Van 11
Maaltafels 16
Alle Maaltafels
Maaltafels 27X
Al Die Maaltafels
Maaltafel 6
Maaltafels Werkblaadjes
Maaltafels Tempotoets
Search
×
Search
Loading...
No suggestions found