Find Your Style
Women
Men
Accessories
Search for clothing, brands, styles...
×
Women
Men
Accessories
Meatball Packaging Map Container Cpete
Search
Loading...
No suggestions found
Buy Mod Fit Teal Container-600 ml from Home Centre at just INR 120.0
homecentre.in
Score Super Stylish Boots From These Places For Under INR 2,000 | LBB
lbb.in
Modified Atmosphere Packaging (MAP) - Food and Beverage Industry from ...
coleparmer.in
Modern Packaging Design For Frozen Food | Freelancer
freelancer.in
Star Container
starcontainer.co.in
Modified Atmosphere Packaging Machinery - Modified Atmosphere Packaging ...
remaengineers.co.in
After Opening Labels Color Changing Food Freshness Indicator Lables for ...
vanprob.com
White Way Hinged Pet - Rectangular Containers with lid I Transparent ...
amazon.in
Crafting Expert-Level Packaging Design
upack.in
Logistics — Colorlib Website Template
nextmodal.com
Oji India Packaging Pvt Ltd
ojpack.in
Custom Packaging Sleeves - Print Food Packing Box Sleeves & Bottle ...
printo.in
The Hidden Dangers of Plastic Food Containers: Why Heating Plastic ...
quitplastic.in
Paper Tray - Butter Paper Sheet Manufacturer from Mumbai
athenasuperpack.in
Aluminum Foil Container - Aluminium Food Container Trader - Wholesaler ...
rajguruenterprises.co.in
Buy P.A. Disposable Eco Friendly Aluminum Silver Foil Container with ...
amazon.in
Food Packaging Containers - Plastic Food Container Trader - Wholesaler ...
neraglobalinc.in
Baseball-Themed Meatball Packaging : vladimir luzin
trendhunter.com
650 ml Food Packaging Containers Manufacturer From Surat, Gujarat ...
bhagatplastic.in
Buy [12-Pack] Food Storage Containers with Lids - Plastic Food ...
amazon.in
Modified Atmosphere Packaging Machinery - Modified Atmosphere Packaging ...
remaengineers.co.in
Baseball-Themed Meatball Packaging : vladimir luzin
trendhunter.com
Buy Leepro 50 pcs Triangle Sandwich Boxes with Window, Kraft Paper ...
amazon.in
Baseball-Themed Meatball Packaging : vladimir luzin
trendhunter.com
Sustainable Packaging Strategies You Should Know · SHIPROCKET PRIVATE ...
packaging.shiprocket.in
Buy Hotpack Disposable Food Storage, Packaging & Take Away, Microwave ...
desertcart.in
Baseball-Themed Meatball Packaging : vladimir luzin
trendhunter.com
125 Pack Compostable Take Out Food Containers 75'', Single Compartment ...
amazon.in
Environments | Special Issue : Plastic Contamination: Challenges and ...
mdpi.com
Container Freight Station (CFS): Meaning, Functions And Role
cogoport.com
कैसे बनता है गेहूं के भूसे से Eco-Plastic? जाने इको-प्लास्टिक के ...
stackumbrella.in
100% Compostable Clamshell Take Out Food Containers [6x6" 50-Pack ...
amazon.in
Buy 32oz Paper Salad Container s with Lids [50 Sets, 32oz, 1000ml ...
desertcart.in
100% Compostable Clamshell Take Out Food Containers [8X8" 3-Compartment ...
amazon.in
China Food Grade Hot Selling Clear Plastic Food Container with Lid ...
renhao.en.made-in-china.com
Buy Alpha Basics 50ml Plastic Container with Attached Lid (Pack of 25 ...
amazon.in
Buy Fit Meal Prep [50 Pack] Chinese Take Out Boxes - 32 oz Plain White ...
desertcart.in
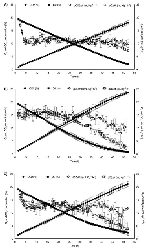
Effect of Modified Atmosphere Packaging (MAP) and UV-C Irradiation on ...
mdpi.com
Tin Container - Tin Container For Tea Manufacturer from New Delhi
boxmart.co.in
Eco-friendly Packaging Market
packagingwebwire.com
Chip Roadmaps Set to Branch Out - EE Times India
eetindia.co.in
Buy 50 x Brown Reusable Soup Ice Cream Container [50 Pack, 16oz ...
desertcart.in
Pretail Aluminium/Silver Foil Box/Container for Party/Travelling, Set ...
amazon.in
Haryana: रेवाड़ी में डबल स्टैक कंटेनर और दो ट्रेन वाला एशिया का पहला ...
punjabkesari.com
Effect of Modified Atmosphere Packaging (MAP) and UV-C Irradiation on ...
mdpi.com
China Commercial Pasta Map Packaging Machine, Fresh Pasta Auto Process ...
utienpack.en.made-in-china.com
Green Pack Industries | Greenpack Industries, Aurangabad | Industrial ...
greenpack.co.in
Buy EHOMEA2ZClamshell Food Containers 5"x5" Snap-tight Dual Locks ...
desertcart.in
Logistics — Colorlib Website Template
nextmodal.com
Container Packing Certificate - Fill Online, Printable, Fillable, Blank ...
pdffiller.com
Right Small Tiny Containers Plastic Clear Boxes with Screw lid Pack of ...
amazon.in
Effect of Modified Atmosphere Packaging (MAP) and UV-C Irradiation on ...
mdpi.com
Packing Certificate - Fill Online, Printable, Fillable, Blank | pdfFiller
pdffiller.com
Cool photos show the evolution of Oreo Packaging within 100 years ...
thevintagenews.com
Buy Thermo Tek 10 oz Triangle Clear Plastic Sandwich Container - with ...
desertcart.in
7 Leading Innovative Startup Business Ideas In 2022 | Business Outreach
businessoutreach.in
Effect of Modified Atmosphere Packaging (MAP) and UV-C Irradiation on ...
mdpi.com
Custom Printed Boxes – Box Packaging Company
boxpackagingcompany.com
China Disposable Microwave Food Container PP Plastic Box - China ...
zjpypaper.en.made-in-china.com
Modern Packaging Design for Curly Hair Care Brand | Freelancer
freelancer.in
Effect of Modified Atmosphere Packaging (MAP) and UV-C Irradiation on ...
mdpi.com
Bold Australian Sausage Packaging : Hunsa Smallgoods
trendhunter.com
Know-How-MAP-Modified-atmosphere-packaging-PackagingGURUji
hindi.krushipeth.com
Effect of Modified Atmosphere Packaging (MAP) and UV-C Irradiation on ...
mdpi.com
Buy 10-11" Plastic Disposable Cake Containers Carriers with Dome Lids ...
desertcart.in
Logistics — Colorlib Website Template
nextmodal.com
Types of Packaging for Pharmaceutical Products · SHIPROCKET LIMITED
packaging.shiprocket.in
Quiona – Sunlite Organic
sunliteorganic.com
Retail and Ecommerce In India - Investment Opportunities | Invest India
investindia.gov.in
Huhtamaki India, Silvassa Plant - Thinking Globally, Acting Locally
huhtamaki.com
Glossy plastic cosmetic cream container packaging mockup | Premium PSD
freepik.com
Hamburg (Germany) cruise port schedule | CruiseMapper
cruisemapper.com
Plastic Packing Roll Manufacturer,Exporter,Supplier in Mumbai,India
papapackaging.in
Learn English Through Play: Best Games for Your Kids | British ...
britishcouncil.in
Les 8 meilleurs cartographes pour créer votre carte
edrawsoft.com
Entry #9 by YMteam for Create Print and Packaging Designs for My ...
freelancer.in
Buy Casablanca Glass Map Printed Wall Clock - 30cm from Home Centre at ...
homecentre.in
Welcome to ITC Packaging and Printing Business
packaging.itcportal.com
ZURU BUNCH Plastic Grocery Container - 1 L Price in India - Buy ZURU ...
flipkart.com
Ikea Showroom in Bangalore
bangalore.ind.in
Entry #13 by mohamedgamalz for Create Packaging Design of OAT FLAKES ...
freelancer.in
दिल्ली आईसीडी तुगलकाबाद एक्सपोर्ट में हो रही है भारी धांधली। मिल्क ...
revenuenews.in
In your notebook draw pictures of any other containers which are used ...
shaalaa.com
マースク、アジア─欧州航路の大半をスエズ運河経由で計画 | ロイター
jp.reuters.com
The Key to Solving Plastic Packaging Wastes: Design for Recycling and ...
mdpi.com
Bullows – Compete Tools
competetools.in
THE 10 BEST Restaurants in South Padre Island (Updated April 2025)
tripadvisor.in
Understanding Grid System in CSS: A Comprehensive Guide
tutorjoes.in
Downtown Container Park, Las Vegas - TimesTravel
timesofindia.indiatimes.com
Buy CDEFG for 2022 2023 Maverick Pickup Truck Center Console Organizer ...
ubuy.co.in
Preparation and Characterization of Corn Starch Bio-Active Edible ...
mdpi.com
GPS Tracker
ifihomes.com
Manufacturer of Chemical Bottle and Containers & Homeopathic Bottle by ...
singh-enterprises.co.in
Entry #4 by kalaja07 for Create packaging design based on existing one ...
freelancer.in
Which are the top commodities exported from each state? (FY20)
finshots.in
China 20FT ISO Standard Ocean Shipping Container Photos & Pictures ...
singamas.en.made-in-china.com
Oji India Packaging Pvt Ltd
ojpack.in
Quiona – Sunlite Organic
sunliteorganic.com
Trace Oxygen Analyzer for Modified Atmosphere Packaging – CO2 Meter
co2meter.com
Buy Splendid Black Textured Metal Map Wall Art from Home Centre at just ...
homecentre.in
GoComet Price, Features, Reviews & Ratings - Capterra India
capterra.in
Crude Oil: Where does India get its Oil Supply?
groww.in
Entry #18 by ShijuPaleri for We need to create a label design for ...
freelancer.in
Living World Mindmap Image Self Help Learning Notes | EduRev
edurev.in
Major Seaports of India: Complete list of Major seaports in India
currentaffairs.adda247.com
Entry #5 by rashidabegumng for Create Print and Packaging Designs for ...
freelancer.in
Wrap it, Box it, Tape it: A Complete Guide to Types of Packing Materials
assureshift.in
Bengaluru techie shares new fraud criminals are using to steal your ...
timesofindia.indiatimes.com
Identity Design - Product Packaging
saps.in
What Is Roblox SCP 3008 And How To Play It | Beginners' Guide
gurugamer.com
Arun Tea Stall | LBB
lbb.in
Chemco Plastic Industries Pvt. Ltd. - Plastic Packaging Exporters
in.kompass.com
Buy HiPP Formula Milk Storage Box Container Online in India. 495278360
ubuy.co.in
ZURU BUNCH Plastic Grocery Container - 1 L Price in India - Buy ZURU ...
flipkart.com
Pandora's Box Ancient Greek Myth Story - Classroom Resource
twinkl.co.in
Buy How To Save The World & Your Bank with Shipping Containers: Learn ...
desertcart.in
find out ropar , hadappa, Mohenjo-Daro, amri , lothal , dholavira in ...
brainly.in
Free Purchase Order Template Download | Purchase Order Format for Small ...
stockregister.in
Logistics — Colorlib Website Template
nextlogisticsgroup.com
Best Locations For Looting In PUBG Mobile Erangel Map
gurugamer.com
Related Searches
Best Frozen Italian Meatballs
Plastic Tray Packaging
Thermoforming Packaging Machine
Frozen Food Packaging
Frozen Meatball Brands
Homemade Italian Meatballs
Frozen Beef Meatballs
Creative Food Packaging Design
Grilled Meatballs
Baked Italian Meatballs
Carando Meatballs
Contoh Packaging Meatball
Baked Ziti with Meatballs
Meatballs Package
Meatball Texture
Sausage Meatballs
Types of Food Packaging
Armour Meatballs
Frozen IKEA Meatballs
Meatball Soup Packaging
Meatball Skewers
Meatball Packet
Meatball Bag
Meatball Sub Packaging
Meatball Pack
Vacuum Packaging On Meatball
Rosina Meatballs
Meatballs Scrap
Meatball Recipes
Delyn Packaging Meatball
Turkey Meatballs
Chicken Meatballs Recipe
Frozen. Angus Meatballs
Pouch Packaging
Meatball Packaging Map Container Cpete
Frozen Meatballs Bulk
Pre-Cooked Meatballs
Meatball Sauce Jar
Chocolate Meatballs
Meatball Raw in Packaging
Frozen Food Logo Meatball Packaging
Mama Lucia Meatballs
Classic Meatballs
Homestyle Frozen Meatballs
Meatballs Collection
Meatball Packaging Trays
LDPE Frozen Meatball Packaging
Meatball Packaging Mockup
Johnsonville Meatballs
Retort Pouch
Search
×
Search
Loading...
No suggestions found