Find Your Style
Women
Men
Accessories
Search for clothing, brands, styles...
×
Women
Men
Accessories
Mpa2 Panel Layout
Search
Loading...
No suggestions found
PLC Control Rio Panels Products at price INR 0 in Nashik | Boost ...
boostelectronics.in
Elite Co-Works BTM Layout at INR 400/day - Coworking Space for a Day ...
myhq.in
Elite Co-Works BTM Layout at INR 400/day - Coworking Space for a Day ...
myhq.in
Home interior designers in Bangalore - Top 15 Wall Panel Design Ideas
decorpot.com
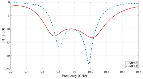
Single-Layer Line-Fed Broadband Microstrip Patch Antenna on Thin Substrates
mdpi.com
3D PVC Panels – Doon Interior
dooninterior.com
20 Modern Pvc Wall Panel Design for Bedroom with Images 2025
nobroker.in
बेडरूम के लिए टीवी पैनल - स्टाइल स्टेटमेंट बनाने के लिए 8 डिज़ाइन
magicbricks.com
10+ Latest TV Panel Design for Bedroom for 2025
nobroker.in
Honeywell Acess Control Intrusion 2 - Honeywell Hon-Fin4000mik-100k ...
goldlinesecuritysystems.co.in
5 Unique Wall Panelling Ideas for Designers | Kyzo – KYZO
kyzo.in
MPA2 and MPA4 Door Access Control Solution|Honeywell Building Automation
ws.buildings.honeywell.com
MPA2 and MPA4 Door Access Control Solution|Honeywell Building Automation
ws.buildings.honeywell.com
10 Best TV Wall Design Ideas For your Home - Guide for 2025
decorpot.com
Lacquered Glass For Home Interiors - Uses, Brands, Prices With Images
magicbricks.com
Slate Wall Panels Design
decorpot.com
Elegant Panel Door Design for Modern Homes
interiorcompany.com
Wall Cladding Made Of Reclaimed Wood Natural Vintage Wood Wall ...
desertcart.in
Clinical Evaluation of the BIOFIRE SPOTFIRE Respiratory Panel
mdpi.com
Access Control Systems - Face Scanning Elevator Access Control System ...
goldlinesecuritysystems.co.in
Wooden Acoustic Panels - Slats
mmtacoustix.in
Latest Panel Door Designs to Try in Your Home for 2026
nobroker.in
30 Unique TV Panel Design Ideas for Modern Homes in 2026
nobroker.in
10+ Latest TV Panel Design for Bedroom for 2026
nobroker.in
Looking under the glass | Meer
meer.com
Decorative Wood Panels for Wall - For Amazing Interiors
magicbricks.com
Decorative Wood Panels for Wall - For Amazing Interiors
magicbricks.com
Buy 2 Door Access Control Board System Kits with 110-240V Power Supply ...
desertcart.in
Single-Layer Line-Fed Broadband Microstrip Patch Antenna on Thin Substrates
mdpi.com
HP LaserJet Tank MFP 1005, 1600, 2600 printers - Control panel features ...
support.hp.com
Top 5 Solar Designing Software for Beginners to Expert Level
loomsolar.com
WORK | Tanvi Rastogi
tanvirastogi.in
HP Color LaserJet Enterprise MFP X677 - Printer views | HP® Support
support.hp.com
Estella TV Panel for | | Della
della.in
HP Color LaserJet Pro MFP 4301, 4302, 4303 - Printer views | HP® Support
support.hp.com
ఎంచుకోవడానికి వాల్ ప్యానెల్ డిజైన్ ఆలోచనలు | Housing News
housing.com
Design, Manufacture And Supply Of Electrical & Automation Control Panel ...
sbcontrolpanels.in
Design - Panel Design Lab
paneldesignlab.com
Design - Panel Design Lab
paneldesignlab.com
Design - Panel Design Lab
paneldesignlab.com
Panel Design Lab - Panel Design Lab
paneldesignlab.com
Control Panels / MCC Panels design and integration adroit tech
adroittech.co.in
Creative TV Panel Design Ideas for Your Home
rennovate.co.in
Ajanta Electrical Industries
sme.in
Single-Layer Line-Fed Broadband Microstrip Patch Antenna on Thin Substrates
mdpi.com
Panel Design Lab - Panel Design Lab
paneldesignlab.com
Work with assets in Dreamweaver
helpx.adobe.com
బెడ్ రూమ్ మరియు లివింగ్ రూమ్ కోసం ఫాబ్రిక్ వాల్ ప్యానెల్ డిజైన్లు
magicbricks.com
PVC Wall Panels Design, Benefits & Trends
advancelam.com
Design - Panel Design Lab
paneldesignlab.com
5 dreamy bathroom designs that embody an old-world charm ...
architecturaldigest.in
Catalog 3 - Panel Design Lab
paneldesignlab.com
classic wall dark wood panels design technology – Wallpaper Printing
wallpaperprinting.in
GOBOOST White Flower Textured 3D Wall Panels - Pack of 10 India | Ubuy
ubuy.co.in
Design - Panel Design Lab
paneldesignlab.com
MCED || Maharashtra Centre for Entrepreneurship Development
mced.co.in
Textured Glass Panels
decorpot.com
Delhi Glass Studio | Wall Panel Design
delhiglassstudio.in
2022 मध्ये PVC वॉल पॅनेलसाठी 10 नाविन्यपूर्ण डिझाईन्स
magicbricks.com
Single-Layer Line-Fed Broadband Microstrip Patch Antenna on Thin Substrates
mdpi.com
PVC Wall Panels Design, Benefits & Trends
advancelam.com
Twitch sign Vectors - Download Free High-Quality Vectors from Freepik ...
freepik.com
HP LaserJet Pro MFP 4101-4104 - Printer views | HP® Support
support.hp.com
WPC Wall Panels & Cladding - Wpc Louvers Panels Manufacturer from Morbi
shubhwood.in
Entry #10 by EngrCodeDreamer for Detailed Roof Solar Panel Layout ...
freelancer.in
DPF with display desk panels | Design flexibility
linak-us.com
Latest Panel Door Designs to Try in Your Home
nobroker.in
Design in Balance | CEPT - Portfolio
portfolio.cept.ac.in
Interactive Panel Market in India | DeltaView
deltaview.in
Single-Layer Line-Fed Broadband Microstrip Patch Antenna on Thin Substrates
mdpi.com
Modern black accent wall panels kit, Ready to Install, Custom size ...
michaels.com
D'source Primary Display Panel | Design Considerations | D'Source ...
login.idc.iitb.ac.in
Shriarjun Needday Primart Pvt. Ltd. | Best Solar Panel & EPC Company in ...
suntask.in
Design 9A Vital 2026 Unstitched – Nour
itsnour.com
Buy Comic Book: Blank Template with 5 and 9-panel layout Book Online at ...
amazon.in
Main Door Design Sunmica Door Design Double Panel Door Design Single ...
doordesign.co.in
The Emergence of India as a Global Leader in Solar Energy
businessoutreach.in
Sand stone wall panel design Manufacturer From Dausa, Rajasthan, India ...
annapurnastoneindustries.in
Hustlehub HSR Layout Managed Office in HSR Layout, Bangalore | Rent ...
myhq.in
Door Design Main Door Design For Home Single Main Door Design For Home ...
doordesign.co.in
Architecture Portfolio Layout: Craft Designs That Impress 2025
novatr.com
Best Exhibition Panel and Stand Design Company in Pune- DesignLab
design-lab.co.in
Buy 48 Port Blank HD Rack Patch Panel - Design to Work with Weltron 678 ...
desertcart.in
Kids Wetsuit Shorty - 5mm Thickness, Insulated, India | Ubuy
ubuy.co.in
How to Wire an Electrical Circuit Breaker Panel - E-Abel
eabel.com
Main Door Design Jali Door Design Wardrobe Panel Design Drawing Room ...
doordesign.co.in
Artificial Grass- Yay or Nay?
nobroker.in
Single Panel Door Design Sitout Door Design Balcony Grill Gate Design
fedisa.in
Black to Basic - Panel Design Lab
paneldesignlab.com
Solar Rooftop Panels: A Guide for Homeowners
sssolarsystem.in
Buy Decorative Wainscot Panel, Wall Moulding Design, Ready Cut Molding ...
etsy.com
Login - Admin Panel
prgc.edu.in
Christmas panel wall decor design | Premium Vector
freepik.com
Single-Layer Line-Fed Broadband Microstrip Patch Antenna on Thin Substrates
mdpi.com
Door Design Door Design For Home Double Panel Door Design Main Door ...
doordesign.co.in
Vinayaka layout k r puram bangalore, Bangalore - Map, Pin Code ...
nobroker.in
Soundproofing panels for offices in India| Acoustic treatment in ...
mmtacoustix.in
PLC Panel Manufacturers in India | Infinite Automation
infiniteautomation.in
SOLAR PV MICROGRID AT NETRA | NTPC Limited
ntpc.co.in
Bihar CM Inaugurates 2 MW Canal-Side Solar Plant in Patna
currentaffairs.adda247.com
DEVICE OF URBAN INFOTECH Microphone Sound Isolation 5 Panel Shield ...
amazon.in
Drip Irrigation - Megha Agrotech
meghaagro.in
Pvc Wall Panel - Polywood PVC Walll Fluted / Louvers Panel ...
polywood.co.in
ASUS ROG Falchion Ace Gaming Keyboard (65% Layout/ROG NX Mechanical ...
pricehistoryapp.com
Buy AIDA64 CAM Stat Panel Sensor Panel Online in India - Etsy
etsy.com
Blank Comic Book 3-9 Panels Layout: Blank Book Comic Lovers / Write and ...
amazon.in
Align elements
helpx.adobe.com
Blank Manga Book 5 Panel Layout White Cover : Manga Drawing Books ...
amazon.in
Online Interior Design for Bungalows and Villa – Ongrid Design
ongrid.design
Main Door Design Pooja Room Door Design Wooden Panel Door Design Iron ...
doordesign.co.in
Gokidhan Enterprises Acrylic ABS Panel 5.1 Audio Amplifier : Amazon.in ...
amazon.in
Single-Layer Line-Fed Broadband Microstrip Patch Antenna on Thin Substrates
mdpi.com
ASUS ROG Falchion Ace Gaming Keyboard (65% Layout/ROG NX Mechanical ...
pricehistoryapp.com
TV Unit / Partition work
durafurn.in
Mizpah Fitness Btm Layout in Bengaluru | FITPASS
fitpass.co.in
Buy Versare MP10S Portable Folding Wall Partition | Economical 5 Panel ...
desertcart.in
Main Door Design Wooden Main Door Design Pvc Door Design Catalog Modern ...
doordesign.co.in
R.K. Narayan- The Creator of Malgudi, Early Life, Career, Novels
adda247.com
Buy Parrotile Gold Wall Backsplash Tile 3D Wall Panels Metal Mosaic ...
desertcart.in
Best Places to Live in Bangalore: Rent, Connectivity & Safety
godigit.com
Related Searches
Test MPA2
MPa to N/mm2
MPA2 Wiring
Bruker MPA2
Honeywell MPA2
MPA2 Wiring-Diagram
MPA2 Panel Diagram
Pnematic MPA2
MPA2 Brucker
Mercury MPA2
MPA2 User Manual
MPA2 Icon Computer
MPA2 Pin Out
Connection of MPA2 System Access
MPA Online
Pro MPA 2
MPA2 Panel Layout
MPA2 Corneometer
Honeywell MPA2 Run Light
Gentner MPA2
MPA 2G
Honeywell MPA2 LTE
MPA2 Panel AUX Relay
Reagent Mpa1
MPA Agency
Pro MPA 11
How to Make a Side MPA
Mpa1 Framing
MP2 ESC
MPA Meaning Unit
MPA2 Boston Scientific
MPA Unit Breakdown
MPA2 Mac Address
Additel MPA
MPA mm
MPA Medical
MPA Catheter Is
MPA Office
Dimensi MPA
MPA Litre
MPA in Prefix
Art Pro MPA II
MPA2 R3 Wiring-Diagram
MPA Certificate
MPA Equi
MPA 1. Catheter
MPa to mmHg Conversion
Honeywell MPA2 Access Control Wiring Diagram
Connect 2 MPA2 Control Panels Together
MPA Worker
Search
×
Search
Loading...
No suggestions found