Find Your Style
Women
Men
Accessories
Search for clothing, brands, styles...
×
Women
Men
Accessories
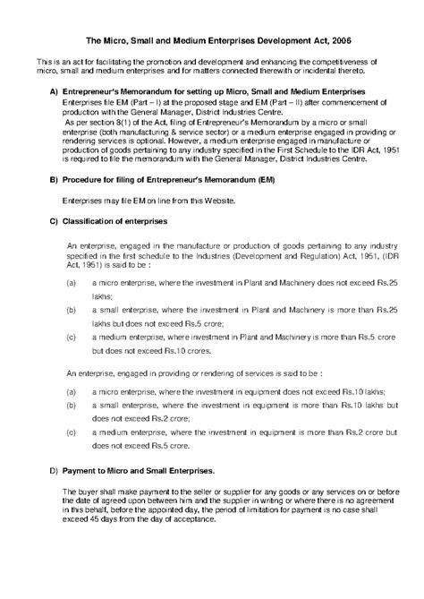
Msmed Validity
Search
Loading...
No suggestions found
INR Full Form: What is full form of INR?
bankersadda.com
International Driving Licence: Get It For INR 800 & A Validity Of One Year
travelandleisureasia.com
Export Benefit Valid if INR Earned via Gateway | EY - India
ey.com
International Driving Licence: Get It For INR 800 & A Validity Of One Year
travelandleisureasia.com
International Driving Licence: Get It For INR 800 & A Validity Of One Year
travelandleisureasia.com
Steam Wallet Code| INR 150,250,500,1000,2500| E-Gift Card | Instant ...
amazon.in
Anand Kamalnayan Pandit — INR 8,660 Cr (Sri Lotus Developers & Realty ...
economictimes.indiatimes.com
Registration under MSME Act
taxguru.in
FAQs on MSMED Act, 2006
taxguru.in
MSME legal backdrops series Part – I
taxguru.in
Section 43B Amendment: MSME Dues Disallowance Post Budget, 2023
taxguru.in
Section 43B(h) and Limitation Period under Section 15 of MSMED Act
taxguru.in
Understanding Section 43B(h) of Income Tax Act, 1961 & MSMED Act, 2006
taxguru.in
Section 43B(h) of Income Tax Act: Disallowance of Delayed Payment to MSME
taxguru.in
A New Dawn for MSMEs: The IBC's Strategic Insolvency Framework
metalegal.in
Payments to MSMEs – decoding Section 43B(h) read with MSMED Act
taxguru.in
Certification of MSME
taxguru.in
Empowering MSMEs: Dispute Resolution through Arbitration under the ...
hklawoffices.in
Accounting treatment of delayed interest under MSMED Act 2006
taxguru.in
Application u/s 34 Arbitration Act Remains 'Stillborn’ for Purpose of ...
taxscan.in
Timely Payment Assurance for MSME Suppliers under MSMED Act
taxguru.in
MSMED Act Interest Calculator: Calculate Delayed Payment Interest
msmeinterestcalculator.in
Govt notifies revised criteria for classification of MSME
taxguru.in
Buy Sec 43B (h) of the Income Tax Act decoded in the light of MSMED ACT ...
amazon.in
Act msme msmed act - Bare act - The Micro, Small and Medium Enterprises ...
studocu.com
MSMED Act 2006, Objectives, Classification, Govt. Schemes
vajiramandravi.com
ITAT Mumbai: MSMED Interest Reversal Cannot Be Added If No Deduction ...
studycafe.in
MSMED Act 2006, Objectives, Classification, Govt. Schemes
vajiramandravi.com
MSME Council Has Power To Decide Issue Of Its Own Jurisdiction Under ...
livelaw.in
Micro, Small and Medium Enterprises (MSMEs)
studyiq.com
Read all Latest Updates on and about MSMED Act
livelaw.in
MSMED Act 2006, Objectives, Classification, Govt. Schemes
vajiramandravi.com
Repercussions of Delayed Payment to Micro and Small Enterprises- FAQs
taxguru.in
Buy Taxmann's FAQs on Timely Payments to MSME | An Interplay between ...
amazon.in
Discussion on Amendments in the MSMED Act 2006 | MyGov.in
secure.mygov.in
Overview of MSMED Act - The Micro, Small and Medium Enterprises ...
getlegalindia.com
MSMED Act 2006, Objectives, Classification, Govt. Schemes
vajiramandravi.com
MSMED Act 2006, Objectives, Classification, Govt. Schemes
vajiramandravi.com
Section 43B(h) and Limitation Period under Section 15 of MSMED Act
taxguru.in
Amendment relating to MSME - Section 43B deduction only on payment basis
taxguru.in
MSMED Act 2006, Objectives, Classification, Govt. Schemes
vajiramandravi.com
MSMED Act 2006, Objectives, Classification, Govt. Schemes
vajiramandravi.com
What is MSME: Govt. Benefits, Registration Process and Documents
quickcompany.in
Understanding Section 43B(h) of Income Tax Act, 1961 & MSMED Act, 2006
taxguru.in
FAQs on MSMED Act, 2006
taxguru.in
MSMED Act 2006, Objectives, Classification, Govt. Schemes
vajiramandravi.com
MSME Registration Benefits – Tax and Others
taxguru.in
New MSME Classification Criteria Based on Investment & Turnover
taxguru.in
MSMED Act 2006, Objectives, Classification, Govt. Schemes
vajiramandravi.com
World’s most powerful currencies in 2024 | Times of India Travel
timesofindia.indiatimes.com
MSME-Development Institute,Agra (Formerly Small Industries Service ...
msmediagra.gov.in
Arbitral Award Under MSMED Act Must Be Challenged Under S 19 Of MSME ...
livelaw.in
All about Section 43B(h) of income tax act 1961 with illustrations
taxguru.in
Verify Udyam Registration Number & its relevance with Section 43B(h) of ...
taxguru.in
Whether Unregistered MSME can refer to MSEFC under MSMED Act, 2006?
taxscan.in
All about the New 45 Days Payment Rule for MSME Registered Units ...
aninews.in
Delhi High Court on MSMED Act | Arbitrator To Decide Whether An ...
livelaw.in
SC: Petition Challenging MSMED Award Not Valid.
thewalkers.co.in
MSME Reporting in Tax Audit Report with Example
studycafe.in
Gujarat High Court: Jurisdiction Under Section 34 Governed by Agreement ...
24law.in
Delhi High Court: MSMED Act Prevails Over Arbitration: ‘Statutory ...
24law.in
Benefits Of Filing Udyog Aadhaar Memorandum For Registration As MSME ...
amazon.in
Limitation Act does not apply on Conciliation proceedings: Supreme ...
taxscan.in
MSME Registration In India: Procedure, Documents Required
cleartax.in
MSMED Act | Is Writ Maintainable Against MSEFC Award? Can MSEFC Members ...
livelaw.in
What Is The Validity Of A PUC Certificate Of A New Car? » Car Blog India
carblogindia.com
75% deposit - NGHJM - 75% Pre- Deposit u/s 19 msmed act to be fulfilled ...
studocu.com
Chapter-V Of MSMED Act Related To Delayed Payments To MSME Would ...
verdictum.in
[MSMED Act] Pre-Deposit Of 75% Of Awarded Amount While Challenging ...
livelaw.in
Maintainability Of Writ Petition Against Orders Passed By Micro & Small ...
verdictum.in
MSMED Section 18 & Arbitration Act: Key Legal Complexities
hiteshcsoni.in
All about the New 45 Days Payment Rule for MSME Registered Units ...
aninews.in
DUOS BRAIN MANAGEMENT SUPPORT SERVICES Pvt. Ltd.
dbmss.in
Research on Jurisdiction of Msmefc - Conflict between MSMED Act and ...
studocu.com
Revisiting the ‘Settled’ Law on MSMED and Arbitration Acts: An ...
indiacorplaw.in
Payments to MSMEs – decoding Section 43B(h) read with MSMED Act
taxguru.in
Interest U/S 16 Of MSMED Act Can Be Granted Under Ad-Hoc Arbitration ...
verdictum.in
Accounting treatment of delayed interest under MSMED Act 2006
taxguru.in
Payments to MSMEs – decoding Section 43B(h) read with MSMED Act
taxguru.in
FAQs on MSMED Act, 2006
taxguru.in
DC-MSME
dcmsme.gov.in
Administration of Warfarin Inhibits the Development of Cerulein-Induced ...
mdpi.com
Bar of Limitation on Arbitral Proceedings under the MSMED Act – The ...
hnluccls.in
MSMED Act | Imposition Of Three Times Bank Interest By MSME ...
livelaw.in
Section 15 of MSMED – Section 15: Liability Of Buyer To Make Paym
kanoongpt.in
Overview of MSMED Act - The Micro, Small and Medium Enterprises ...
getlegalindia.com
Mastering MSME Reporting: Your Guide Before October 31 Deadline
taxguru.in
The Micro and Small Enterprises Facilitation Council – a forum for ...
elplaw.in
Payment to CA firms for Special Audit under MSMED Act Not Consideration ...
taxscan.in
Income Tax Audit Form Update: Total MSME Dues even if paid within time ...
studycafe.in
wincial MS Office 365 Professional Lifetime Validity for PC MAC IOS ...
flipkart.com
Measures to Boost MSME Sector
taxguru.in
MSMED Act 'Dues' Will Not Prevail Over SARFAESI Proceedings : Supreme Court
livelaw.in
"Any Objection Regarding Non-Applicability Of MSMED Act Can Be Decided ...
livelaw.in
Section 43B(h) of Income Tax Act, 1961 and MSMED Act, 2006
taxguru.in
Disclosure requirements regarding MSME dues under MSMED Act, 2006
taxguru.in
Objectives:
kondetiandco.in
MSMED Act Will Prevail Over Arbitration Act In Disputes Pertaining To A ...
livelaw.in
Payment to MSMEs in 45/15 Days: Section 43B(h) Explained
taxguru.in
Anticoagulation in Acute Pulmonary Embolism: Which Drug? How Long ...
universimed.com
Budget 2023: Empowering MSMEs - Shifting gears towards stronger ...
taxninja.in
Interest Claims Under MSMED Act Can't Be Added To Principal Amount ...
livelaw.in
Digital Signature Validity Unknown OR Signature Not Verified on PDF ...
esolutions.net.in
How Warfarin Is Synthesized and Key Insights
medicoverhospitals.in
Section 43B(h) Deduction Allowed only on Payment Basis
taxguru.in
Section 18 Of MSMED Act – Proceedings For Conciliation And Arbitration ...
verdictum.in
Small business organisation(xi) - Small scale Enterprises as defined by ...
studocu.com
MSME Interest Calculator – Calculate Delayed Payment Interest Online (2025)
msmeinterestcalculator.in
DSC Renewal Online: Quick Digital signature Renewal – signyourdoc
signyourdoc.com
MSMED Act is a special legislation and has an overriding effect,
taxguru.in
Recent Changes and Benefits to MSME
taxguru.in
MICROSOFT Office Professional Plus 2021 (Lifetime Validity) Price in ...
flipkart.com
₹100 Bond Paper: Uses, Legal Importance & Buying Guide
hexahome.in
MSMED Act | No Bar In 'filing' Petition Under Section 34 A&C Without ...
livelaw.in
USD/INR Breaking Imp. Trendline; Is Nifty 50 Topping Out? | Investing ...
in.investing.com
Section 43B(h): Enhancing MSME Liquidity through Payment-Based Deductions
taxguru.in
Types of Companies in India 2025 - Pocketful
pocketful.in
MSMED Act- Writ Petition Challenging Facilitation Council’s Award Not ...
verdictum.in
MSME Samadhan Scheme: Delayed Payment Monitoring Scheme
taxguru.in
Earlier and revised definition of MSME
taxguru.in
Related Searches
MSMED Council Logo
MSMED Certificate
MSMED Act
MSMED Form
MSMED Full Form
MSME Full Form
MSMED Declaration Form
MSMED Validity
MSMED Certificate Number
MSME Meaning
What Is MSMED Certificate
MSME Sector
MSME and MSMED Difference
MSME Limit
Draft of MSMED Confirmation Email
Masmed Logo
MSME New Definition
Format of Disclosure as per MSMED Act
Micro Small and Medium Enterprises
Provincial Smed MSMED
Where Is MSMED Certificate Number Located
MSME Registration
Dilg Memo On Organizing Provincial MSMED Council
Usmed Logo
MSME Table
MSME Slab
Micro Small and Medium Enterprises India
MSME Turnover Limit
Usmeds Login
Contribution of MSME
Catalysing MSME
MSMED Logo
SARFAESI
MSME Loan
MSME Udyam Certificate
Section 15 of MSMED
MSMED Certification Number
Evolution of MSME Image
MSMED Registration/Certificate
MSMED Council Logo HD
MSME Images
Features of MSME
Logo Masmed
Ministry of Micro Small and Medium Enterprise
MSME Nepal
Classify Industries Based On MSMED Act
Sailent Features of MSMED Act
Foramt of Written Agreement as per MSMED Act
MSME คือ
Assistance to MSME Logo of Dost
Search
×
Search
Loading...
No suggestions found