Find Your Style
Women
Men
Accessories
Search for clothing, brands, styles...
×
Women
Men
Accessories
Mta R62 2 Bullet
Search
Loading...
No suggestions found
Bulletin d'enneigement Axamer Lizum, 24/11/2013
powderguide.com
REMINDER: Queens Bus Network Redesign Full
mta.info
Agencies and Departments
mta.info
Star UPVC MTA 50mm 2inch | mykit | Buy online | Buy Star, MTA online
mykit.in
Finolex CPVC MTA 50mm 2inch | mykit | Buy online | Buy Finolex, MTA online
mykit.in
PHOTOS! India's 1st Bullet Train Project: Check latest update on Mumbai ...
etnownews.com
Star PVC MTA 160mm 6inch | mykit | Buy online | Buy Star, MTA online
mykit.in
MTA Railroads map | MTA
mta.info
Bikes, Scooters & Electric Two wheelers | On Road Prices & Comparisons
auto.shriramfinance.in
Plasto CPVC MTA Brass Fitted (40mm X 1 1/2 inch) 2 Pieces : Amazon.in ...
amazon.in
CP PLUS Full HD 8 Channel DVR with 2.4 MP 4 Dome & 4 Bullet Cameras + 2 ...
amazon.in
MTA projects
mta.info
Ashirvad 3" CPVC MTA (Male Adaptor) Brass Threaded : Amazon.in: Home ...
amazon.in
Star CPVC MTA 50mm 2inch | mykit | Buy online | Buy Star, MTA online
mykit.in
UPVC Pipes - UPVC Column Pipes Manufacturer from Chennai
hitechtubes.co.in
Buy Sunmeet Galaxy 1000 Watts Mixer Grinder with 2 Bullet Jar (Silver ...
amazon.in
Buy HIKVISION Ethernet 1080p Full HD 2MP IP Plastic Bullet Camera (DS ...
amazon.in
Top 35 Family Bikes in India in 2024 with Price and Specifications
godigit.com
Buy Sunmeet VGSMA21 1000Watts Mixer Juicer Grinder with 6 Jars (1 ...
amazon.in
Buy Look Real Toy with Ejecting Soft Bullets,Pistol Toys Play EVA Foam ...
desertcart.in
Buy JK Vision 4MP CCTV IP Camera Full Set, 2 Bullet,2 Dome, 4 Channel ...
amazon.in
AMARON TWO WHEELER 12V 9AH BATTERY : Amazon.in: Car & Motorbike
amazon.in
Specificaties van Imou Bullet 2 - Tweakers
tweakers.net
Buy Goldwinner 600-watts Rocket Mixer Grinder with 2 Bullets Jars and ...
amazon.in
Buy Sunmeet 1000-watts Rocket Mixer Grinder with 2 Bullets Jars (350ML ...
amazon.in
Buy MasrooToy for Nerf s Automatic Sniper , 3 Modes Burst Electric Toy ...
desertcart.in
Buy Toy , Educational Toy Model, EVA Safety Foam Soft Bullet, Toy Foam ...
desertcart.in
Buy Rotomix 600-watts Rocket Mixer Grinder with 2 Bullets Jars (350ML ...
amazon.in
Curious Minds Busy 6 Sets of Large Magnetic Rattlesnake Egg India | Ubuy
ubuy.co.in
Staedtler Lumocolor Permanent Duo 348 Black Double Ended Permanent ...
amazon.in
Buy Sunmeet 1000-watts Rocket Mixer Grinder with 2 Bullets Jars (350ML ...
amazon.in
Toy Revolver Eva Soft Bullets Cap Gun Revolver Guns | Desertcart INDIA
desertcart.in
Bullet Train Trailer | Watch Official Trailer of Bullet Train Movie on ZEE5
zee5.com
Buy Autofy Porado 7 Spokes Rajputana Black & Chrome with Bolts Alloy ...
desertcart.in
Staedtler Lumocolor Permanent Duo 348 Blue Double Ended Permanent ...
amazon.in
Oneplus Bullets Wireless Z - Buy Oneplus Bullets Wireless Z online at ...
flipkart.com
CPVC MTA CPVC 1 Inch MTA 25 mm pack of 10 pvs 2-Way Head Plug Pipe ...
flipkart.com
Why is there no bullet train in the USA?
railwaygaddi.in
Staedtler Lumocolor Permanent Duo 348 Blue Double Ended Permanent ...
amazon.in
Buy Xbtianxia Soft Bullet Toy ,Soft Bullet with Ammo Shells/Toy with ...
desertcart.in
Buy Geyee 31 Pcs Christian Bulletin Board Sets Names of Jesus Christmas ...
desertcart.in
HIKVISION FULL HD 5MP CAMERAS COMBO KIT , 2 BULLET CAMERAS + 2 DOME ...
flipkart.com
3 Bullet Journal Tips: With Pros & Cons of bullet journal key – Inkarto
inkarto.com
Buy Master ClassSanyo 600-watts Nexon Mixer Grinder with 2 Bullets Jars ...
amazon.in
Buy JK Vision 4MP CCTV IP Camera Full Set, 2 Bullet,2 Dome, 4 Channel ...
amazon.in
OnePlus bullets wireless z2 neckband Bluetooth Price in India - Buy ...
flipkart.com
What are Bullet Points? ( • ) | Twinkl Teaching Wiki
twinkl.co.in
Bullets Wireless Z - OnePlus (India)
oneplus.in
Goldwinner Mixer Grinder with 1 Juicer and 2 Bullets Jars Set 750 W ...
flipkart.com
Staedtler Lumocolor Permanent Duo 348 Black Double Ended Permanent ...
amazon.in
Royal Enfield Bullet 350CC 2018 Price, Mileage, Specs, Colors and ...
droom.in
Abb 1/2" BULLET CONNECTOR, NON-METALLIC, LIQUIDTIGHT, 90 DEGREE 200941 ...
zoro.com
Citaaz Mobile Phone Shape Folding Soft Bullet Gun Toy| Cellphone Shell ...
amazon.in
145 Used Royal Enfield Bullet 350 in Bangalore. Buy from Owners and ...
bikes4sale.in
Citaaz Mobile Phone Shape Folding Soft Bullet Gun Toy| Cellphone Shell ...
pricehistoryapp.com
Silentpowersunmeet Mixer Grinder with 1 Juicer and 2 Bullets Jars Set ...
flipkart.com
Malegaon bomb blast: Court grants bail to two 2008 Malegaon bomb blast ...
economictimes.indiatimes.com
Buy Sk Toy Zone Japanese Tigers Bullet Train Set with Light and Sound ...
amazon.in
NYC Subway, Rail Service Changes: June 17-20
mta.info
HIKVISION FULL HD 5MP CAMERAS COMBO KIT , 2 BULLET CAMERAS + 2 DOME ...
flipkart.com
CPVC MTA CPVC 1 Inch MTA 25 mm pack of 10 pvs 2-Way Head Plug Pipe ...
flipkart.com
CPVC Brass Pipe Fitting - CPVC Brass FTA Manufacturer from Rajkot
mkpolymers.in
CPVC Pipe Fitting - CPVC Plain MTA Trader - Wholesaler / Distributor ...
linkstarpipes.in
Buy CP PLUS 3MP Bullet Wireless Outdoor Security Camera | 1296P ...
amazon.in
Buy Polycad 1000-watts Nexon Mixer Grinder with 3 Stainless Steel 2 ...
amazon.in
BMW R62 1929 | BRITISH Only Austria Fahrzeughandel GmbH
vintage-motorcycle.com
Buy Gemini 1000-watts Rocket Mixer Grinder with 3 Stainless Steel 2 ...
amazon.in
HIKVISION FULL HD 5MP CAMERAS COMBO KIT , 2 BULLET CAMERAS + 2 DOME ...
flipkart.com
Staedtler Lumocolor Permanent Duo 348 Black Double Ended Permanent ...
amazon.in
[Best Answer] two bullets are fired horizontally and simultaneously ...
brainly.in
Buy MasterClass Sanyo BTRBEP21 750Watts Mixer Juicer Grinder with 5 ...
amazon.in
CPVC MTA CPVC 1 Inch MTA 25 mm pack of 10 pvs 2-Way Head Plug Pipe ...
flipkart.com
Shivsoft Gun Black Pistol with BB Bullets for Kids in Box Packing Toys ...
amazon.in
Dr. Reckeweg R62-Mucous Membranes Drops Price in India - Buy Dr ...
flipkart.com
Buy MasterClass Sanyo 600-watts Rocket Mixer Grinder with 2 Bullets ...
amazon.in
CP PLUS CP-KGC-H1DT22 Intelli EYE 4 HD Camera (2 Bullet, 2 Dome) Price ...
topprice.in
Buy Sunmeet 600-watts Mixer Grinder with 2 Bullets Jars (530ML and ...
amazon.in
CPVC MTA CPVC 1 Inch MTA 25 mm pack of 10 pvs 2-Way Head Plug Pipe ...
flipkart.com
BMW R62 1929 | BRITISH Only Austria Fahrzeughandel GmbH
vintage-motorcycle.com
CPVC MTA CPVC 1 Inch MTA 25 mm pack of 10 pvs 2-Way Head Plug Pipe ...
flipkart.com
O&R® Air Pistol with BB Bullets Toy Gun for Gift to Kids | Safe and ...
amazon.in
Retinai 8 Channel NVR with 5MP IP 2 Dome & 2 Bullet Cameras Black ...
flipkart.com
Free Fire: Top 5 Weapons That Are Best For Aggressive & Rushing Players
gurugamer.com
Buy 47 Pcs Motivational Rainbow Bulletin Board Cutouts Rainbow Clouds ...
desertcart.in
Royal Enfield Classic 350 Signals
timesofindia.indiatimes.com
Hotel Dwaraka, Aluva, 38R9+R62 - Restaurant reviews
restaurant-guru.in
Buy Dahua HDCVI Night Vision 2 Bullet CCTV IR Camera, 4 Channel ...
amazon.in
Toy Gun Pistol for Kids with 8 Round Reload and 6 mm Plastic BB Bullets ...
amazon.in
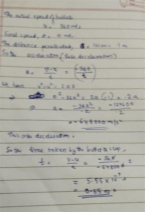
A bullet travelling at 360m/s strikes a block of soft wood. The mass of ...
brainly.in
FCB Nyasa Big Bullets v Mighty Mukuru Wanderers | TNM Super League | Malawi
plus.fifa.com
Royal Enfield Classic 350 price, specs, mileage, colours, photos and ...
bikes4sale.in
Buy Sunmeet 750-watts Mixer Grinder with 2 Bullets Jars (530ML and ...
amazon.in
Buy Toy for Soft s Bullet Automatic Toy Bullet s Real Realistic ...
desertcart.in
OnePlus Bullets Wireless 2 - OnePlus (India)
oneplus.in
FLUBBLE BUBBLE 500 BB Bullets 6 mm Plastic bb Bullets for Toy Gun ...
amazon.in
Su-mix Mixer Grinder with 2 Bullets Jars 600 W Mixer Grinder Price in ...
flipkart.com
Buy Rotomix 1000-watts Mixer Grinder with 2 Bullets Jars (530ML and ...
amazon.in
Sunmeet Mixer Grinder with 2 Bullets Jars 600 W Mixer Grinder Price in ...
flipkart.com
Silentpowersunmeet Mixer Grinder with 2 Bullets Jars 1000 W Mixer ...
flipkart.com
OnePlus Bullets Z2 Bluetooth Wireless in Ear Earphones with Mic ...
amazon.in
Buy Inside Out 2 Bulletin Board Teacher Classroom Social Emotional ...
etsy.com
Buy Impact by Honeywell 2MP Bullet CCTV Camera I 1080P real time high ...
amazon.in
Masterclass Sanyo Mixer Grinder with 1 Juicer and 2 Bullets Jars Set ...
flipkart.com
MTA Announces Service Changes Ahead of 9/11
mta.info
3 1/2 Minutes, Ten Bullets [Blu-Ray]: Amazon.in: Marc Silver: Movies ...
amazon.in
PVC FTA & MTA - 32 Mm Push MTA Manufacturer from Jaipur
shaktiagrotech.co.in
The probability that a bullet fired from a point will strike the target ...
brainly.in
Sunmeet 600-watts Mixer Grinder with 2 Bullet Jars (530ML and 350ML ...
flipkart.com
Buy Polycad 1000-watts PHL Mixer Grinder with 3 Stainless Steel 2 ...
amazon.in
Gemini Mixer Grinder with 2 Bullets Jars 750 W Mixer Grinder Price in ...
flipkart.com
Buy SilentPowerSilentPowerSunmeet 600-watts Rocket Mixer Grinder with 2 ...
amazon.in
Buy Goldwinner 1000-watts Rocket Mixer Grinder with 2 Bullets Jars ...
amazon.in
Humaira Mini Revolver Toy Gun Pistol with 8 Round Barell and 6 Mm ...
amazon.in
Watch Pubgoa Season 1 E2 - Ep 2 - Two Bullets, One Lie, and A Mask ...
zee5.com
Oneplus Bullets Wireless Z - Buy Oneplus Bullets Wireless Z online at ...
flipkart.com
Wild Wild West Cowboy Sheriff Twin Gun Dress Up Set | Desertcart INDIA
desertcart.in
HIKVISION FULL HD 5MP CAMERAS COMBO KIT , 2 BULLET CAMERAS + 2 DOME ...
flipkart.com
CP PLUS CP-KGC-H1DT22 Intelli EYE 4 HD Camera (2 Bullet, 2 Dome) Price ...
topprice.in
Buy CP PLUS Wired 1080P HD Camera Combo Set with 4Ch DVR, 2 Dome 2 ...
amazon.in
ISEE 360 PVC MLG Type E3 Water Resistance Personalised Standard ...
amazon.in
Related Searches
MTA R160
MTA R46
MTA Train R62
MTA R142
MTA R62 Cab
MTA R62 Model
MTA R62 Modeling
R62 5 Train
R62 7 Train
MTH MTA
R62 1Train
MTA NYC Subway
MTA R62 6 Train
MTA R62 Paper Train
R62 4 Train
R62 3
MTA Subway Sign
R62 Car
R62A Subway Car
MTA R62 Drawing
R62 Rollsign
O Scale Subway Trains
MTA R62 2 Train
New York Subway Train Set
MTA R62 Front
MTA R62 Sepsa
MTA R62 Diagram
MTA R62 Side
MTA R62 6 Night
R62 Interior
NYCT R62
MTA R62 Work Train
MTA 8 Train
MTA R62 Train Wrap
R62 Train 11
R62 13 Train
R33 Subway Car
MTA R62 2 Bullet
OpenBVE R62
MTA Wraps R62
MTA R-26
NYC Subway 9 Train
MTA R62 7 Line
MTA Train R62 Inside
MTA R179
Roll Sign MTA
MTA R62 3 Wooden Toy Train
MTA 6 Express R62
R142A 3 Train
NYC Subway B Train
Search
×
Search
Loading...
No suggestions found