Find Your Style
Women
Men
Accessories
Search for clothing, brands, styles...
×
Women
Men
Accessories
Mtrcb R13 Logo
Search
Loading...
No suggestions found
RBI Allows Overseas Banks to Open INR Accounts
currentaffairs.adda247.com
Convert RUB to INR at best rate | Sell Russian Ruble (RUB)
orientexchange.in
Convert RUB to INR at best rate | Sell Russian Ruble (RUB)
orientexchange.in
GIM Goa Placements 2024 – Average Package INR 15.6 LPA & Highest ...
careerchoice360.in
IIT Guwahati Placement 2024: Check Highest Package: INR 2.05 Crore
zollege.in
Virtual Office in Kerala, India| VirtualOfficeKochi.in | INR 799/Mo
virtualofficekochi.in
INR Full Form in Medical, What Does INR Stand For?
doctorsfinder.in
Bismuth subnitrate usp Products at price INR 1599 in Sao Paulo ...
indexim.in
0.1 ETH to INR Converter, How much Convert Ethereum to Indian Rupee ...
exchanger24.org
IIT Bhubaneswar Placement 2024: Highest Package: INR 64 LPA, Average ...
zollege.in
Steam’s New Update Will Remove Games and DLC Priced at Below INR 82.28 ...
in.ign.com
Cheap Flights From India To Malaysia From INR 7,458 | IN To MY Flight ...
wego.co.in
How to Buy USDT With INR and Store it Safely [2024 Guide] - Material ...
materialbitcoin.com
Data Science | Data scientists | Fresher MNC Jobs - INR 42K Job for 0 ...
foundit.in
Luminous Inverter Tubular Battery Products at price INR 0 in Gurugram ...
bhallabatteries.in
Entry #685 by alauddinh957 for INR 20,000 Logo Design Contest for ...
freelancer.in
Industrial Crane Weighing Scale Scales at price INR 34998 in Coimbatore ...
scalebook.in
KAG ||ARCANE BLUE||48X24 Products at price INR 49 in Chennai | Hi Tech ...
hitechceramicsco.in
Taka to INR Rate Today, BDT to Rupee Exchange Rate Today
gold-rate.co.in
Buy DR.RECKEWEG R13 HEMORRHOIDAL DROP (PACK OF 2) Online & Get Upto 60% ...
pharmeasy.in
Dr. Reckeweg R13 Hemorrhoidal Drop (22ml) – AquaHerbals
aquaherbals.in
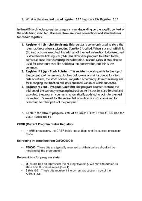
COA assignmentpdf - .... - 1. What is the standard use of register r14 ...
studocu.com
The distributor of the movie “Plane” has voluntarily pulled out the ...
scoopnest.com
Slim & Skinny Jeans - R13
r13.com
Recruitment Portal
manitnt.samarth.edu.in
MRF ZLX 155/80 R13 79T 4 Wheeler Tyre Price in India - Buy MRF ZLX 155/ ...
flipkart.com
Dr. Reckeweg R13-Hemorrhoidal Drops Price in India - Buy Dr. Reckeweg ...
flipkart.com
Rupee Recovery 2025: What Triggered the Sharp Bounce Back in INR?
finnovate.in
Log in to your account › NITI Aayog Library
library.niti.gov.in
Login Form
pritlko.up.gov.in
IPL 2023: Reactions as Chennai Super Kings win fifth title — ‘Ahmedabad ...
scroll.in
Welcome to ::"Elcon[India]"
elcon.co.in
R13 Bras - Women | FASHIOLA INDIA
fashiola.in
Total Environment Over the Rainbow | Over the Rainbow Total Environment ...
totalenvironment.gen.in
Royal Enfield Bear 650 Accessories | Premium Upgrades for Your Ride
htrzmodz.com
B.Tech 4-2 Semester (R18, R16, R15, R13) Regular/Supplementary ...
examupdt.in
Top 10 Banks In India: Check the List of Banks
currentaffairs.adda247.com
Manubhai Jewellers | Gold & Diamond Jewellers in Borivali, Mumbai
manubhai.in
Diamond Necklace Designs | Buy Diamond Necklace Set Online at Best ...
manubhai.in
Infinity Natural Resources (INR) - Total assets
companiesmarketcap.com
JK Tyre Ultima Neo 155/80% R13 Tubeless Car Tyre : Amazon.in: Car ...
amazon.in
Nissan Launches New Magnite KURO Special Edition – The Boldest Black ...
india.nissanmotornews.com
Bykemania - Self Drive Bike Rentals Bangalore | Bike rental bangalore ...
bykemania.com
Bridgestone EP150 155/80%R13 79T Tubeless Car Tyre : Amazon.in: Car ...
amazon.in
Slideshow: Aurora R15 Pre-installed Software
in.ign.com
Login
schoolbook.edukee.in
Indian Rupee Symbol (₹): Facts about the official Currency of India
indiatimes.com
Kipi
kipiapp.in
Manufacturer of Paver Block & Floor Tiles by Grand Pavers & Bricks, Kolkata
grandpavers.in
MTRCB chair Lala Sotto nag-inhibit sa lahat ng kaso ng mga noontime ...
abs-cbn.com
STUDDED R13 LOGO BUCKLE BELT - BLACK - R13
r13.com
JNTU Kakinada Results 2021 | JNTUK B.Tech All Semester 2021 Results ...
manabadi.co.in
Apollo Tyres 155 R13 C 89/88 S Amazer Xl Lt 8pr Tubeless for Car ...
amazon.in
Tatcha Indigo Overnight Repair: Benefits & Full Review - Epicfashion
epicfashion.in
PS5 DualSense Wireless Controller Black (Playstation 5) Products at ...
gamestrade.in
Buy R13 EcoBatt Unfaced Fiberglass Insulation Batt 3-1/2 in. x 16 in. x ...
ubuy.co.in
Bridgestone B290 TL 155/80 R13 79T Tubeless Car Tyre (Set of 3 ...
amazon.in
India's best treatments, supplements, treatments & taxi services ...
vosd.store
MRF Zapper-S 28175020 140/70 R17 66H Tubeless Bike Tyre, Rear : Amazon ...
amazon.in
BGIS 2026: Krafton India Reveals Schedule for the Upcoming Tournament ...
in.ign.com
MTRCB calls Vice Ganda’s attention over inappropriate actions, comments ...
abs-cbn.com
Logos
online.hnbgu.ac.in
Why new Iza Calzado movie got X-rating from MTRCB | ABS-CBN Entertainment
abs-cbn.com
Rail VMS | Log in
vmssurcr.in
Log In
niab.org.in
Credilabs Welfare Foundation | Log in
credilabs.in
Hotel Nachna Haveli
nachnahaveli.com
IIT Roorkee 175 Years Celebration | Home
ir.iitr.ac.in
Watch R23 Criminals Diary Movie Online - Stream Full HD Movies on ...
airtelxstream.in
Cotton jersey t-shirt w/ logo - Dsquared2 - Boys | Luisaviaroma
luisaviaroma.com
MRF ZTX 155/80 R13 79T Tubeless Car Tyre : Amazon.in: Car & Motorbike
amazon.in
Admission | | MANOHAR MEMORIAL COLLEGE
mmcollege.ac.in
BGMS Season 4: Nodwin Gaming and JioStar Announce the Upcoming BGMI ...
in.ign.com
Buy Gold Bangles Online India with Latest Designs - Manubhai Jewellers
manubhai.in
Webcams in Norway : Cam List
webcamsinnorway.com
Sony PlayStation 5 'Summer Promo' Starts on April 10; Will Offer ...
in.ign.com
JK Tyre Ultima NXT P155/70 R13 Tubeless Car Tyre (Home Delivery ...
amazon.in
Speech Annotation
iitg.ac.in
Aandal Tanjore Painting | Mangala Arts
mangalatanjorepaintings.com
i.Fest 2016
ieee.daiict.ac.in
Log In | Aatmshakti Institute of Integrated Medical Research
aiimr.in
Apollo Amazer 4G Life 155/65 R13 75T Tubeless Car Tyre : Amazon.in: Car ...
amazon.in
RHCBA
rhcba.in
Buy Yoyofactory Products Online | Ubuy India at Best Prices
ubuy.co.in
Stand out navy blue corset top – Kostume County
kostumecounty.com
Forever Living Products — fraudulent transaction and non-refund of 30 ...
consumercomplaints.in
Cotton jersey t-shirt w/ studded logo - MM6 Maison Margiela - Girls ...
luisaviaroma.com
Login
mrelectronics.mcrm.in
R13-507 Self-reset Button Switch |16MM | Green
flyrobo.in
Jai Steel Facilitation Pvt Ltd
jaisteel.in
Superman (2025): The James Gunn Film Records Highest-Ever Opening ...
in.ign.com
Civil Registration System | Log in
advanceservice.in
Tops | EPIC – Page 3 – EPIC CLO OFFICIAL
epiccloofficial.com
logo
billing.nkdamar.org
Log in to your account › NITI Aayog Library
library.niti.gov.in
Log In
tigers11.in
User | Log in
slcm.co.in
eMB - Log In
apps.coalindia.in
Cotton jersey t-shirt w/ logo - Balmain - Girls | Luisaviaroma
luisaviaroma.com
Fire Hydrants Exporter & Wholesale Supplier from Mumbai
brtrader.in
Cryptocurrency Prices, Charts and Market Cap
suncrypto.in
Grahalakshmi Tanjore Painting | Mangala Arts
mangalatanjorepaintings.com
Log in
v2.punjikendra.in
R13-507 16MM 2 Pin Self-Reset Round Cap Push Button Switch - Red
flyrobo.in
BillApp | Log in
billingdemo.ordinal.in
Electrical Engineering MCQ
electricalofficial.in
Log In
bcadmin.drishtee.in
Sony PlayStation: Horizon Forbidden West and the Last of Us Part 2 ...
in.ign.com
No Service Tax Is Payable On Commission Received In Convertible Foreign ...
livelaw.in
India shining: Rupee inches closer to becoming international currency ...
timesnownews.com
Cotton jersey t-shirt w/ studded logo - MM6 Maison Margiela - Girls ...
luisaviaroma.com
Firestone Bridgestone 155 80 R13 FS100 Tubeless Car Tyre FOR Chevrolet ...
amazon.in
Cotton jersey dress w/logo - Marni Junior - Girls | Luisaviaroma
luisaviaroma.com
Apollo 3G 155/70 R13 75T Tubeless Car 4 Wheeler Tyre Price in India ...
flipkart.com
Applicant | Log in
uibs.in
Log in
mpnursery.in
Maruti 145/70 R13 Schrader Valve Tire Tube Price in India - Buy Maruti ...
flipkart.com
Sri Lanka and Russia in talks to use the rupee in foreign trade
currentaffairs.adda247.com
MAHILA P.G. COLLEGE,BAHRAICH, UTTAR PRADESH |Admin Log in
mpgc.in
RKMVC - AIMS | Student Log in
aims.rkmvc.ac.in
Related Searches
MTRCB R 16
MTRCB Movie
MTRCB Logo
MTRCB G
MTRCB G Major
MTRCB Pg
MTRCB Meaning
MTRCB Cinema
MTRCB Rated PG
MTRCB R13 Logo
MTRCB Ratings
MTRCB G Major 13
MTRCB R13 Tlvnshd
New MTRCB
MTRCB Clip
MTRCB G. Effects
MTRCB Means
TV5 MTRCB Pg
MTRCB President
MTRCB Act
MTRCB Remake
MTRCB Font
MTRCB Meme
MTRCB SVG
MTRCB iCherry
MTRCB Advisory
MTRCB R13 Rating
Parental Guidance Logo MTRCB
Mtitm Orange MTRCB
MTRCB Logo.png
MTRCB Issues
MTRCB deviantART
MTRCB Game
MTRCB X
MTRCB Deputy ID
MTRCB Pg Srceen
R13 Batman Movie MTRCB
G Pg SPG
MTRCB G Major 83
MTRCB Logo Mirror
MTRCB Labels
MTRCB R16 Movie
MTRCB G Pg R13 R16 SPG R18
MTRCB Reminder
MTRCB Csupo Logo
Iztv MTRCB Pg
MTRCB Old
MTRCB Pg ABS-CBN
MTRCB R 13 Filipino
Bhmpt MTRCB
Search
×
Search
Loading...
No suggestions found