Find Your Style
Women
Men
Accessories
Search for clothing, brands, styles...
×
Women
Men
Accessories
Naproxen Drug Rash
Search
Loading...
No suggestions found
Naprosyn 250+ Tablet | Uses, Side Effects, Price | Apollo Pharmacy
apollopharmacy.in
Naproxeno 500: explicación de sus usos, dosis y efectos secundarios
medicoverhospitals.in
Naprosyn 250 Tablet 15's Price, Uses, Side Effects, Composition ...
apollopharmacy.in
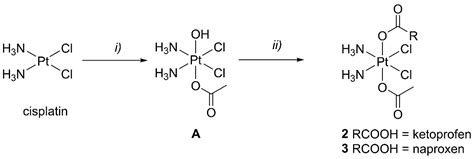
Antiproliferative Activity of Pt(IV) Conjugates Containing the Non ...
mdpi.com
Naprosyn SR Tablet 10's Price, Uses, Side Effects, Composition - Apollo ...
apollopharmacy.in
Napra D 250 Tablet 10's Price, Uses, Side Effects, Composition - Apollo ...
apollopharmacy.in
A Cross-sectional Study of Acneiform Eruptions at a Tertiary Center
jmsh.ac.in
Naprosyn 500 Tablet 15's Price, Uses, Side Effects, Composition ...
apollopharmacy.in
Antiproliferative Activity of Pt(IV) Conjugates Containing the Non ...
mdpi.com
Anti Inflammatory Drugs - Diclofenac 50mg Tablets 100% Export Oriented ...
zotapharma.co.in
Naprowel-250
leeford.in
Pacinac Np 500mg Tablet: Uses, Side Effects, Price, Dosage ...
pharmeasy.in
Antiproliferative Activity of Pt(IV) Conjugates Containing the Non ...
mdpi.com
Aleve-D® Sinus & Cold Caplets | Product Information
aleve.com
Die Bedeutung der NSAR in der Schmerztherapie - Neurologie ...
universimed.com
Buy Aleve Lil Drug Store Pain Reliever Fever Reducer Caplets 2 ea ...
ubuy.co.in
Aleve Naproxen Sodium Caplets, Soft Grip Cap, Arthritis Pain Relief ...
walgreens.com
Naprosyn 500 Tablet 15's Price, Uses, Side Effects, Composition ...
apollopharmacy.in
Antiproliferative Activity of Pt(IV) Conjugates Containing the Non ...
mdpi.com
Buy Litt's Drug Eruption & Reaction Manual Book Online at Low Prices in ...
amazon.in
Naprowel Plus
leeford.in
Naprosyn D 250mg Strip Of 10 Tablets: Uses, Side Effects, Price ...
pharmeasy.in
Safety of Non-Steroidal Anti-Inflammatory Drugs in the Elderly: An ...
mdpi.com
Product Name: NOPIROX D 250, Compositions of NOPIROX D 250 are Naproxen ...
pharmavends.com
Antiproliferative Activity of Pt(IV) Conjugates Containing the Non ...
mdpi.com
Drug Safety Alert: IPC Links Erythromycin Use to Fixed Drug Eruption
medicaldialogues.in
Aleve All Day Strong 12HR Pain Reliever 220MG | Ubuy India
ubuy.co.in
Antiproliferative Activity of Pt(IV) Conjugates Containing the Non ...
mdpi.com
Antiproliferative Activity of Pt(IV) Conjugates Containing the Non ...
mdpi.com
Aleve Pain Reliever and Fever Reducer Caplets India | Ubuy
ubuy.co.in
Aleve Arthritis Pain Relief Caplets | Walgreens
walgreens.com
Buy Aleve Easy Open Arthritis Cap Tablets, Pain Reliever ‐ 200 Count ...
ubuy.co.in
Naproxen Overview - Active Ingredient - RxReasoner
rxreasoner.com
Naproxen Overview - Active Ingredient - RxReasoner
rxreasoner.com
Aleve Back & Muscle Pain Reliever, Fever Reducer, Naproxen Sodium ...
walgreens.com
Naproxen - Mechanism, Indication, Contraindications, Dosing, Adverse ...
pediatriconcall.com
Naproxen - Mechanism, Indication, Contraindications, Dosing, Adverse ...
pediatriconcall.com
Buy Aleve Easy Open Arthritis Cap Tablets, Pain Reliever ‐ 200 Count ...
ubuy.co.in
Naproxen - Mechanism, Indication, Contraindications, Dosing, Adverse ...
pediatriconcall.com
Naproxen - Mechanism, Indication, Contraindications, Dosing, Adverse ...
pediatriconcall.com
Naxdom 500 Tablet | Uses, Side Effects, Price | Apollo Pharmacy
apollopharmacy.in
Adverse Drug Reactions | Knowledge Base
ntep.in
Aleve® Dosage Information | Frequently Asked Questions (FAQs)
aleve.com
Antiproliferative Activity of Pt(IV) Conjugates Containing the Non ...
mdpi.com
Buy Advil Sinus Congestion & Pain 10 ea (Pack of 3) Online at Lowest ...
ubuy.co.in
Antiproliferative Activity of Pt(IV) Conjugates Containing the Non ...
mdpi.com
Naproxen - Mechanism, Indication, Contraindications, Dosing, Adverse ...
pediatriconcall.com
Skin Rashes - Types, Treatment And Prevention – SkinKraft
skinkraft.com
Buy 2 Pack Aleve X Pain Relieving SPRAY Max Strength Menthol 3.2 oz ...
ubuy.co.in
Naproxen - Mechanism, Indication, Contraindications, Dosing, Adverse ...
pediatriconcall.com
Cutaneous Adverse Events Associated with Immune Checkpoint Inhibitors ...
mdpi.com
What Causes Red Spots On Skin & How To Treat Them – SkinKraft
skinkraft.com
A Cross-sectional Study of Acneiform Eruptions at a Tertiary Center
jmsh.ac.in
Dutch police struggling to cope with rash of drugs-related explosions ...
irishtimes.com
Aleve® Caplets | Product Information
aleve.com
Buy Litt's Drug Eruption and Reaction Manual, 23rd Edition Book Online ...
amazon.in
Ban on synthetic drugs pushed after rash of overdoses
kolotv.com
Tylenol vs. Advil vs. Aleve: Which Is Best? | U.S. News
health.usnews.com
ANEMIA
drvaidji.com
Cefazolin can safely be given to most surgery patients despite ...
medicaldialogues.in
XENADOM 250MG TABLET Price, Uses, Side Effects, Composition - Apollo ...
apollopharmacy.in
What Causes Back Pain & How to Find Relief | Aleve®
aleve.com
Aleve | Walgreens
walgreens.com
OXCQ 400MG TABLET Price, Uses, Side Effects, Composition - Apollo Pharmacy
apollopharmacy.in
Pain Care Plan: 4 Steps to Manage Your Pain | Aleve®
aleve.com
Volume 11 Issue 2
medpulse.in
Buy Advil Dual Action Back Pain Caplets Delivers 250mg Ibuprofen and ...
ubuy.co.in
Aleve Coupons | Save on Pain Relief :: Southern Savers
southernsavers.com
HL 1554 Aleve Oak 8 ft x 4 ft Vintage and Veteran Finish Surface ...
materialdepot.in
STEVEN JOHNSONS SYNDROME
rajeevclinic.com
Disseminate Cutaneous Vasculitis Associated with Durvalumab Treatment ...
mdpi.com
David Eugene Rash, a registered Sex, Violent, or Drug Offender in ...
offenderradar.com
Proxidom 250mg Tablet 10's Price, Uses, Side Effects, Composition ...
apollopharmacy.in
What Causes Back Pain & How to Find Relief | Aleve®
aleve.com
Aleve® Dosage Information | Frequently Asked Questions (FAQs)
aleve.com
Buy Eucerin Eczema Relief Instant Therapy Body Lotion 2 Ounce Online at ...
amazon.in
Atorvastatin - Manfaat, Dosis, dan Efek Samping - Alodokter
alodokter.com
Shocking! Malayalam actress Aswathy Babu gets arrested for rash driving ...
timesofindia.indiatimes.com
DALACIN C 600mg - 1 Injection
pharmassist.in
Desquamating Rash With Hepatitis | Grand Rounds | Pediatric Oncall
pediatriconcall.com
Litt's Drug Eruption and Reaction Manual, 21st Edition: Buy Litt's Drug ...
flipkart.com
JPM | Special Issue : Functional Genomics, Pharmacogenomics in Human ...
mdpi.com
What Causes Red Spots On Skin & How To Treat Them – SkinKraft
skinkraft.com
Buy Litt's Drug Eruption & Reaction Manual Book Online at Low Prices in ...
amazon.in
Aleve PM Coupon | Makes it $2.78 at Walmart :: Southern Savers
southernsavers.com
Advil Dual Action Back Pain Caplets | Walgreens
walgreens.com
Photodegradation of the H1 Antihistaminic Topical Drugs Emedastine ...
mdpi.com
David Eugene Rash, a registered Sex, Violent, or Drug Offender in ...
offenderradar.com
Indian Pharmacopoeia Commission
vajiramandravi.com
Zy-Q 200 Tablet 15's Price, Uses, Side Effects, Composition - Apollo ...
apollopharmacy.in
David Eugene Rash, a registered Sex, Violent, or Drug Offender in ...
offenderradar.com
home remedies for itchy skin | Femina.in
femina.in
David Eugene Rash, a registered Sex, Violent, or Drug Offender in ...
offenderradar.com
4 DoctorApproved Ways To Get Rid Of Itchy Balls
mensxp.com
David Eugene Rash, a registered Sex, Violent, or Drug Offender in ...
offenderradar.com
Drug Safety Alert: IPC Links Erythromycin Use to Fixed Drug Eruption
medicaldialogues.in
What is Beta? Definition of Beta, Beta Meaning - The Economic Times
economictimes.indiatimes.com
Figure 11 Figure 12 Figure 13 Figure 14 Figure 15
medpulse.in
Winflam Tablet 10's Price, Uses, Side Effects, Composition - Apollo ...
apollopharmacy.in
Welcome to Bayer® Livewell
livewell.bayer.com
Figure 2 Figure 3 Figure 4 Figure 5
medpulse.in
Figure 2 Figure 3 Figure 4 Figure 5
medpulse.in
Papuloerythroderma like Eruption Triggered by Terbinafine
casereports.in
Figure 2 Figure 3 Figure 4 Figure 5
medpulse.in
Buy Litt's Drug Eruption and Reaction Manual, 23rd Edition Book Online ...
amazon.in
Buy Litt's Drug Eruption & Reaction Manual 25E Book Online at Low ...
amazon.in
Figure 6 Figure 7 Figure 8 Figure 9 Figure 10
medpulse.in
Figure 2 Figure 3 Figure 4 Figure 5
medpulse.in
Buy Litt's Drug Eruption and Reaction Manual, 23rd Edition Book Online ...
amazon.in
Enable Accessibility Skip to Main Navigation Skip to Main Content Skip ...
uline.com
Areas of interest:
aiimsnagpur.edu.in
IJMPR | ARCHIVE VIEW
ijmpronline.com
Vitamin D pills, fish oil no guard against cancer or heart diseases ...
economictimes.indiatimes.com
Buy Litt's Drug Eruption & Reaction Manual Book Online at Low Prices in ...
amazon.in
Buy Litt's Drug Eruption & Reaction Manual Book Online at Low Prices in ...
amazon.in
Buy Litt's Drug Eruption & Reaction Manual 24E Book Online at Low ...
amazon.in
Diagnosis Luka Bakar - Alomedika
alomedika.com
Immunotherapy Is An Effective Treatment Against Lung Cancer - Health ...
in.askmen.com
Related Searches
Naproxen Generic
Naproxen Tablets
Naproxen Dose
Naproxen Blue Pill
Naproxene
Naproxen 220 Mg
Naproxen Chemical Formula
Naproxen Suspension
Bactrim Skin Rash
Naproxen Synthesis
Naproxen 500 Mg
Aleve Naproxen
Naproxen Oral Suspension
Naproxen Injection
Aleve Dosage Chart
Naproxen 200 Mg
Naproxen 250 Mg
Naproxen vs Ibuprofen
Naproxen Allergy Rash
Naproxen Strength
Naproxen Drug Rash
Topical Naproxen
Naproxen ER
Naproxen Sodium 550 Mg
Acetaminophen Rash
Naproxen Naprosyn
Naproxen Allergic
Lisinopril Drug Rash
What Is Naproxen
Naproxen Can Cause Rash
Naproxen Rash Dermatitis
Naproxen Molecule
Naproxen Nova
Naproxen Drug Card
Naproxen 500 Mg Tablet
Naproxen Sodium Structure
Naproxen Test Fever
Example of Naproxen
Amoxicillin Drug Reaction
Naproxen Induced Rash
Naproxen 1000 Mg
Naproxen Drur Rash
Naproxen 250Mg Tablets
Aleve Arthritis
Amiodarone Skin Rash
Naprelan
Naproxen Bruising
Naproxen Rectally
Naprosyn E
Bio Naproxen
Search
×
Search
Loading...
No suggestions found