Find Your Style
Women
Men
Accessories
Search for clothing, brands, styles...
×
Women
Men
Accessories
Normosol Meq
Search
Loading...
No suggestions found
INR Full Form: What is full form of INR?
bankersadda.com
Top 10 Countries Where INR Has the Highest Value in 2025
currentaffairs.adda247.com
33000 euro to inr - Claim a ₹300 Bonus Today! Android IOS V- 1.79
tax.lsgkerala.gov.in
Philips Remote Inr Order Form - Fill Online, Printable, Fillable, Blank ...
pdffiller.com
Ugro Capital Crosses Inr 10000 crore aum milestone launches 10k ...
psuconnect.in
Indian Rupee (₹) - Buy INR Currency Online at Best Rates
makemytrip.com
usd to inr sbi rate: Latest News & Videos, Photos about usd to inr sbi ...
economictimes.indiatimes.com
Explore the smoothest whiskey collection: Best Scotch under INR 2000
lifestyleasia.com
BTC to INR Converter, Convert Bitcoin to INR Exchange 2022 - Exchanger24
exchanger24.org
INR extends winning streak
msn.com
Lava Yuva Pro is a new sub-8000 INR phone with triple cameras and a ...
digit.in
BTC to INR Converter, Convert Bitcoin to INR Exchange 2022 - Exchanger24
exchanger24.org
BSNL 146 INR Special Prepaid Plan Price in India - Buy BSNL 146 INR ...
flipkart.com
Facts about Indian businessman who is buying Lavasa city for INR 1814 ...
timesofindia.indiatimes.com
Best Long-lasting & Non-chip Nail Polish Under INR 400 | LBB
lbb.in
India Saves INR 35,000 Crore By Buying Discounted Oil from Russia » Car ...
carblogindia.com
Best Women Watches Under INR 15K | LBB
lbb.in
ValueQuest Enters PE Segment With INR 1,000 Cr Fund
businessoutreach.in
Search 1000ml | Bound Tree
boundtree.com
D5NM (Normosol-M) IV Fluid ~ Nursing Path
nursingpath.in
Anticoagulation in Acute Pulmonary Embolism: Which Drug? How Long ...
universimed.com
D5NM (Normosol-M) IV Fluid ~ Nursing Path
nursingpath.in
D5NM (Normosol-M) IV Fluid ~ Nursing Path
nursingpath.in
Meq To Mg - Fill Online, Printable, Fillable, Blank | pdfFiller
pdffiller.com
D5NM (Normosol-M) IV Fluid ~ Nursing Path
nursingpath.in
1 million dong in indian rupees - Brainly.in
brainly.in
Avi Solutions
avisolutions.in
D5NM (Normosol-M) IV Fluid ~ Nursing Path
nursingpath.in
Diagnosis Atrial Fibrilasi - Alomedika
alomedika.com
D5NM (Normosol-M) IV Fluid ~ Nursing Path
nursingpath.in
D5NM (Normosol-M) IV Fluid ~ Nursing Path
nursingpath.in
D5NM (Normosol-M) IV Fluid ~ Nursing Path
nursingpath.in
Warfarin Dose Adjustment Chart - Fill Online, Printable, Fillable ...
pdffiller.com
Warfarin: View Uses, Side Effects and Medicines
truemeds.in
D5NM (Normosol-M) IV Fluid ~ Nursing Path
nursingpath.in
Warfarin sodium in India - Chemicalbook.in
chemicalbook.in
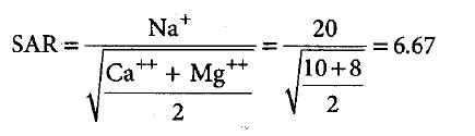
An identified source of irrigation water has ion concentrations of Na+ ...
edurev.in
Incidence of Osteoporosis in Primary Care Patients with Atrial ...
mdpi.com
India and Malaysia can now trade in Indian rupee
currentaffairs.adda247.com
D5NM (Normosol-M) IV Fluid ~ Nursing Path
nursingpath.in
India shining: Rupee inches closer to becoming international currency ...
timesnownews.com
Indian Financial System, 5e by H R Machiraju
vikaspublishing.com
Buy Gold Set Online | Gold Set by Manubhai.
manubhai.in
What will be the normality of the salt solution obtained by ...
tardigrade.in
logo_1200_x_628_px.jpg?v=1720118200
artrise.in
D5NM (Normosol-M) IV Fluid ~ Nursing Path
nursingpath.in
Rupee Depreciation: Will India's Exports Stand To Gain? | Investing.com ...
in.investing.com
International Trade Settlement in Indian Rupee (INR)
taxguru.in
JEE MEQ Schedule JM-1 2023 (Revised) - Target JEE - 2023 Subject MEQ ...
studocu.com
meq to mmol | Collect Your ₹600 Reward Android IOS V- 1.41
assembly.rajasthan.gov.in
Buy Gold Bangle Online | Gold Bangle by Manubhai.
manubhai.in
USD/INR at Record High! Why RBI is Failing to Curb the Rupee’s Fall ...
in.investing.com
Rate (INR)
erp.kohinoorpune.com
ABOUT US
leathertalks.com
Warfarin Sodium | CAS No- 129-06-6 | Simson Pharma Limited
simsonpharma.com
Manur - Decannulation challenge
manurhospital.in
Best Warfarin Embryopathy Specialists in India
medicoverhospitals.in
Next tranche of Bharat Bond ETF opens tomorrow: 10 things on NFO | Mint
livemint.com
USD/INR forecast: Indian rupee analysis ahead of RBI decision By Invezz
in.investing.com
USD/INR Breaking Imp. Trendline; Is Nifty 50 Topping Out? | Investing ...
in.investing.com
Welingkar Institute of Management - NewsWire
newswire.nokomis.in
3999 +GST
livelaw.in
Custom Jewellery
thewyw.com
Size Chart
noroke.com
Warfarin R-Isomer | CAS No- 5543-58-8 | NA
chemicea.com
Coagulation Analyzer - Micropoint Q3 Pro Electrometer PT-INR Trader ...
r2healthcare.in
Latest Car & Bike News & Reviews | BBC Topgear India Magazine
topgearmag.in
Warfarin Sodium
kmpharma.in
USD/INR Cracks Big: Falls 2% in 4 Days! | Investing.com India
in.investing.com
8 Obat Stroke yang Efektif dan Tersedia di Apotik - Alodokter
alodokter.com
Sri Lanka and Russia in talks to use the rupee in foreign trade
currentaffairs.adda247.com
Fake notes worth over Rs 14 lakh in Rs 500 denominations seized in Odisha
odishatv.in
Strategic Management Forum
iimmumbai.ac.in
Wedding Gold & Diamond Jewellery set with Price | Buy Bridal Gold ...
manubhai.in
Priyansh Saree
ssptex.com
Gold Necklace Set for Women | Buy Gold Necklace Set Online India ...
manubhai.in
Bulk Orders – Acharya Prashant Books
apbooks.acharyaprashant.org
Uses and SideEffects of Warfarin: What You Need to Know
medicoverhospitals.in
Did You Know About India's Rs 10,000 Rupee Note
indiatimes.com
editorials: Latest News & Videos, Photos about editorials | The ...
economictimes.indiatimes.com
Inflation or disinflation - Where are dollar & rupee moving? - The ...
economictimes.indiatimes.com
Luthra And Luthra, Reverse Merger, Ujjivan Group
livelaw.in
Fed’s 75 bps Hike: Rupee Falls to Record Low, Sets Eye for ‘82 ...
in.investing.com
20 Stunning Haldi Ceremony Outfits & Dresses to Wear in 2025
bhasinbrothers.com
Contact-us – Permanent Magnets Ltd
pmlindia.com
Logo
apventerprises.in
How Indian Rupee Stands Against Other Major Currencies
indiatimes.com
Contact – valientecaps
valientecaps.com
Premium Heritage Saree HT26
ssptex.com
Medicinal Chemistry - III - MEDICINAL CHEMISTRY – III ANTICOAGULANTS ...
studocu.com
Organic Africa - Fertilité du sol
organic-africa.net
Gold Necklace Set for Women | Buy Gold Necklace Set Online India ...
manubhai.in
Get the Best Saudi Riyal to Indian Rupees Conversion Rates in India
orientexchange.in
ICMR - National Institute of Nutrition, India
nin.res.in
Sell BTC for USD | BTC to USD Calculator
binance.com
Light Weight & Daily Wear Gold Necklace Set Designs (2025) | Buy Gold ...
manubhai.in
EPR Registration and Compliance
taxguru.in
Buy Gold Bangles Online India with Latest Designs - Manubhai Jewellers
manubhai.in
Disney & Miral unveil Disney Theme Park and Resort on Yas Island
t3.aimaxprovider.in
10-Hydroxy Warfarin | CAS No- 83219-99-2 | Simson Pharma Limited
simsonpharma.com
bank of india: Latest News & Videos, Photos about bank of india | The ...
economictimes.indiatimes.com
All you need to know about Mukesh Ambani's sister, Nina Kothari
lifestyleasia.com
equivalent meq mmol | advanced gambling techniques Android IOS V- 3.16
meg-ifms.nic.in
Jai Steel Facilitation Pvt Ltd
jaisteel.in
Buy Gold Set Online | Gold Set by Manubhai.
manubhai.in
In charts: As the rupee sinks touches 80 against the dollar, what does ...
scroll.in
Buy Diamond Necklace Online | Diamond Set Online Manubhai Jewellers
manubhai.in
20 लाख होम लोन ईएमआई कैलकुलेटर: प्लानिंग में मदद करेगा
rinkarj.com
Hurun India 2025: 10 billionaire Indians who entered the rich list this ...
economictimes.indiatimes.com
Malethu Kanak (MEQ) Railway Station: Station Code, Schedule & Train ...
railyatri.in
Buy Gold Pendant Set with Earrings Online India | Latest Gold Pendant ...
manubhai.in
Die wichtigsten Abstracts vom ISTH 2017 - Hämatologie - Universimed ...
universimed.com
Lodha Crown Khoni bypass Lodha Crown Taloja Rent - WITHOUT BROKERAGE ...
nobroker.in
Details Of Spinning: Turning Flax Fibers into Yarn for Linen Fabric
regalrarities.com
Acharaya Prashant Books Gifting Undertaking – Acharya Prashant Books
apbooks.acharyaprashant.org
Cameras under 10000: Buy top digital cameras online in India (2024)
lifestyleasia.com
Warfarin EP Impurity A | CAS No- 15156-56-6 | Simson Pharma Limited
simsonpharma.com
Gold Necklace Set with Price | Buy Gold Necklace Set Online
manubhai.in
ILT20 auction: Complete list of players sold and their prices | Cricket ...
crickettimes.com
Hurun India 2025: 10 billionaire Indians who entered the rich list this ...
economictimes.indiatimes.com
Related Searches
Normosol-R
Normosol Composition
Normosol Fluid
Plasma-Lyte Normosol
Normosol vs Plasma-Lyte
Normosol Electrolyte
Normosol Ph
Normosol Solution
D5 Normosol
Lactated Ringer's Solution
Normosol vs Lactated Ringers
Normosol IV Fluid
Normosol Bag
Normosol Sodium
Normosol mEq
Normosol-R Compatibility Chart
Normasol Sachets
Normosol-R 1000
Normosol-R 1L
Normosol IVF
What Is Normosol-R
Normosol Components
Normosol Crystalloid
Baxter Normosol
Normosol Package Insert
Dextrose IV Fluids
Isolyte S
Normosol Tablet
Normosol for Horses
Normosol and Gauze
Normosol Concentrations
D5W IV Fluid
Normosol Antt
Normosol Solutin
Veterinary Normosol
D5nss IV Fluid
D5NR IV Fluid
Normal Saline Bag
D5NM IV Fluid
Plasma-Lyte vs LR
Fluid Therapy Dog
Astelin Nasal Spray
Normosol 1 L Bags
Horse Getting Normosol
Dextrose 5%
Normosol Bag Ele
Calcium in Normosol
Sodium Acetate Formula
Triamcinolone Acetonide Cream
IV Fluid Electrolytes
Search
×
Search
Loading...
No suggestions found