Find Your Style
Women
Men
Accessories
Search for clothing, brands, styles...
×
Women
Men
Accessories
Opposition To Internal Rotation Subscapularis
Search
Loading...
No suggestions found
Causes of bleeding diathesis with normal labs (platelets, INR and aPTT)
openmed.co.in
Pegatron: All set to Manufacture Goods worth INR 8000 Crore - S.S. Rana ...
ssrana.in
Physiocure | The sports Rehab clinic.
physiocure.in
Traction-Internal Rotation Radiograph Can Improve Agreement in AO/OTA ...
medicaldialogues.in
Biomechanical Asymmetry of Strength and Dynamic Balance Kinetics in ...
mdpi.com
34 Amazing Illustrations That Show Which Muscle Groups Are Affected ...
indiatimes.com
A cell having an emf E and internal resistance r is connected across a ...
allen.in
Glenohumeral kinematics - Evernote - Glenohumeral kinematics MOVEMENT ...
studocu.com
A cell having an emf E and internal resistance r is connected across a ...
allen.in
The circuit in Fig. shows two cells connected in opposition to each ...
allen.in
Electric Cell : E.M.F., Terminal Potential, Internal Resistance ...
chemistrypage.in
Electric Cell : E.M.F., Terminal Potential, Internal Resistance ...
chemistrypage.in
34 Amazing Illustrations That Show Which Muscle Groups Are Affected ...
indiatimes.com
Conflict Resolution: When Your Strategy Faces Internal Opposition
strategeos.com
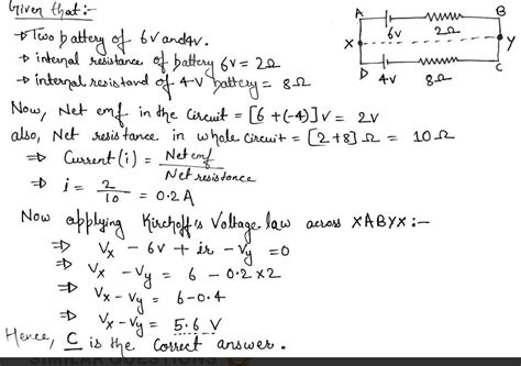
Two cells are connected in opposition as shown.Cell `E_(1)` is of "8V ...
allen.in
Barrier to Methyl Internal Rotation and Equilibrium Structure of 2 ...
mdpi.com
The circuit in Fig 3.6 shows two cells connected in opposition to each ...
philoid.in
EMF and Internal Resistance - Physics for Grade 12 PDF Download
edurev.in
Two cells, `E_(1)` and `E_(2)` of emfs 4 V and 8 V having internal ...
allen.in
Two cells of emf E1 and E2 are joined in opposition (such that E1> E2 ...
tardigrade.in
The circuit in Fig. shows two cells connected in opposition to each ...
allen.in
Barrier to Methyl Internal Rotation and Equilibrium Structure of 2 ...
mdpi.com
Electric Cell : E.M.F., Terminal Potential, Internal Resistance ...
chemistrypage.in
Centre of rotation & symmetry worksheets | shape translation
twinkl.co.in
A cell of emf E & internal resistance r is connected across an external ...
brainly.in
A battery of emf E and internal resistance, r, when connected an ...
ask.learncbse.in
A cell of emf 'E' and internal reistance 'r' is connected across a ...
ask.learncbse.in
Barrier to Methyl Internal Rotation and Equilibrium Structure of 2 ...
mdpi.com
A Quest for the Origin of Barrier to the Internal Rotation ofHydrogen ...
mdpi.com
click here to enlarge
va-iitk.vlabs.ac.in
A Quest for the Origin of Barrier to the Internal Rotation ofHydrogen ...
mdpi.com
Two cells ε1 and ε2 connected in opposition to each other as shown in ...
tardigrade.in
Ghatshila by-election: भाजपा को बाहरी से ज्यादा अपने दे रहे दर्द, छह ...
jagran.com
Grade R Maths - Worksheet: Positional Language
twinkl.co.in
Internal Energy Formula: Definition, Equation, Solved Example
pw.live
A Quest for the Origin of Barrier to the Internal Rotation ofHydrogen ...
mdpi.com
Mamata Banerjee Party TMC Slams Congress Opposition Alliance INDIA ...
timesnowhindi.com
Internal opposition hampers KSEB's floating solar panel project on dams ...
keralakaumudi.com
திமுக, உட்கட்சி எதிர்ப்பையும் மீறி ஜோதிமணி மீண்டும் கரூரை பெற்றது ...
hindutamil.in
Total Internal Reflection Physics Investigatory Project PDF Class 12 ...
knowledgecycle.in
A cell having an emf E and internal resistance r is connected across a ...
brainly.in
Karnataka cabinet to take up caste census report amid internal opposition
msn.com
A cell of emf (E) and internal resistance r is connected across a ...
brainly.in
For a cell, a graph is plotted between the potential difference V ...
allen.in
Buy Harrison's Principles of Internal Medicine (1-2) Book Online at Low ...
amazon.in
Opposition Unity At Crossroads: Will INDIA Bloc's Meeting Amidst ...
freepressjournal.in
The circuit in figure shows the two cells connected in opposition to ...
brainly.in
Opposition Leader: Russian Ambassador Interfering in Internal Affairs ...
betabriefing.com
Two batteries in opposition are joined as show. the internal resistance ...
brainly.in
Mamata Banerjee: 'কেউকেটা হয়ে গিয়েছে...'! চাকলা থেকে বড় হুঁশিয়ারি ...
bengali.news18.com
Factors on which Internal Resistance of a Cell Depends Physics ...
knowledgecycle.in
Two cells of emf E1 and E2 are joined in opposition (such that E1> E2 ...
tardigrade.in
If three cell are connected in parallel then equivalent emf……. and ...
allen.in
Internal Complaints Committee (ICC): Origin, Powers and Functions
studyiq.com
Buy Digital Download Letter R Crown on Whitish Background Online in ...
etsy.com
Two batteries each of emf E and internal resistance r are connected ...
tardigrade.in
Karnataka cabinet to take up caste census report amid internal opposition
msn.com
Internal Structure of the Earth, Composition, Properties & Facts
sscadda.com
Ankle Ligament Surgery in Gurgaon, Jodhpur, Mumbai, Bangalore
orthosport.in
Rahul’s attempts at internal democracy face vociferous opposition at ...
scroll.in
Factors on which Internal Resistance of a Cell Depends Physics ...
knowledgecycle.in
Banner raising against Limbayat MLA Sangeeta Patil heats up politics in ...
divyabhaskar.co.in
Karnataka cabinet to take up caste census report amid internal opposition
english.varthabharati.in
A cell of emf 'E' and internal resistance 'r' is connected across a ...
brainly.in
Cryotubes, PP, with internal thread, screw cap with silicone seal, BIO ...
shop.brand.co.in
300 Pcs Retaining Ring Set, Internal Snap Rings Kits, Stainless Steel ...
amazon.in
फिर जल उठा बांग्लादेश! युनूस की बढ़ी मुश्किलें, ढाका की सड़कों पर लाखों ...
ndtv.in
34 Amazing Illustrations That Show Which Muscle Groups Are Affected ...
indiatimes.com
Statecraft | Malaysian Opposition Shelves Internal Rivalry To Call For ...
statecraft.co.in
Understanding Motor Regeneration - EE Times
eetimes.com
Facebook internal documents reveal Chinese hackers attacking Cambodian ...
caravanmagazine.in
Master Sector Rotation Strategy Through the Business Cycle | Wright Blogs
wrightresearch.in
Fillable Online Opposition to Motion to Dismiss Appeal.doc Fax Email ...
pdffiller.com
Maruti Wagon R Images, Wagon R Interior & Exterior Photos
autovista.in
3) using potentiometer derive an expression for internal resistance of ...
brainly.in
Mastering Sector Rotation Strategy in the Business Cycle | Wright Blogs
wrightresearch.in
Coriolis Force & Coriolis Effect, Causes, Impacts, Diagram
studyiq.com
How to Fix the Internal Redirect of the URL? | Sitechecker
sitechecker.pro
IRR - Definitions, Uses, Formulas with Examples
financiallearning.co.in
MX Heavy Duty Dual Arm LCD Monitor Stand 19 to 42" 180 degree rotation ...
flipkart.com
Most Effective 15 Shoulder Workouts For Men & Women | FITPASS
fitpass.co.in
Our Leadership | Aavas Financiers Ltd.
aavas.in
Buy Fontaine by Italia N98288-ORB Traditional Kitchen Wall-Mount Pot ...
ubuy.co.in
Difference between Internal and External Reconstruction
enterslice.com
34 Amazing Illustrations That Show Which Muscle Groups Are Affected ...
indiatimes.com
pdffiller Doc Template | pdfFiller
pdffiller.com
Formation of the School Internal Complaints Committee-Guidelines
hsslive.in
Buy TST INNOPRINT CO Nissan Skyline R34 GT-R Poster 24x36 Online at ...
ubuy.co.in
Navigating Crop Rotation : Strategies for Soil Health
lingayasvidyapeeth.edu.in
Tharoor says Opposition stands by PM over Kashmir, accuses Pakistan of ...
keralakaumudi.com
Difference Between Land Breeze and Sea Breeze
careerpower.in
BIM objects - Free download! R-402 Roundabout, mandatory direction of ...
bimobject.com
English CAPS Planning and Record Sheet - Grade R
twinkl.co.in
Typical Application for 12V to 1.8V and 1.2V, 6A Point of Load ...
datasheets.com
34 Amazing Illustrations That Show Which Muscle Groups Are Affected ...
indiatimes.com
Buy EBM PAPST K2E200-AH20-05 Rittal Cabinet Fan Dedicated Cooling Fans ...
ubuy.co.in
In Cambodia, trials against the opposition leaders are latest in the ...
scroll.in
Notes Square of Opposition - Logical Reasoning for UGC NET PDF Download
edurev.in
Trademark Opposition in West Bengal: Complete Process and Purpose
litem.in
भारत की आंतरिक सुरक्षा का परिचय (Introduction to Internal Security of ...
hindiarise.com
Assessment of Web Panel Zone in Built-up Box Columns Subjected to ...
mdpi.com
Internal Rate of Return - Meaning, Formula and Usage
cleartax.in
Buy GAN 12 MagLev UV Coated, GAN 12 M MagLev 2022 Flagship 3x3 Magnetic ...
ubuy.co.in
17 Opposition Parties Agree to Fight 2024 Elections Unitedly to Defeat ...
newsclick.in
Earth’s fastest spin: July 9 2025 to be one of the shortest days ever ...
msn.com
Selfie Stick with LED Fill Light,3C Phone Tripod Stand with Bluetooth ...
amazon.in
DBMS Architecture and its Advantages - Simplynotes - Online Notes for ...
simplynotes.in
Buy DC 12V 200W Pico-Box High Power Inline DC ATX Switch Power Module ...
ubuy.co.in
Kemi Badenoch: A Historic Rise as Conservative Party Leader and UK ...
currentaffairs.adda247.com
Representation to DM Regarding Rotation duty of teachers in the Distt ...
dstf.in
A day after Opposition members in Lok Sabha raised the issue of lotus ...
odishatv.in
explain with a diagram how rotation causes day and night. - Brainly.in
brainly.in
All about Opposition to Trademark Registration
taxguru.in
Cryotubes, PP, with internal thread, screw cap with silicone seal, BIO ...
shop.brand.co.in
Practical Maintenance » Blog Archive » Threads and Threaded Fasteners
practicalmaintenance.net
Working Principle and Types of Air Centrifugal Fans and Blowers
allaboutairblowers.com
Rotation and Revolution Worksheet | Space
twinkl.co.in
Hydrogen Internal Combustion Engine Vehicles: A Review
mdpi.com
CM Devendra Fadnavis questions opposition to Hindi, and not English
mid-day.com
Mastering Sector Rotation Strategy in the Business Cycle | Wright Blogs
wrightresearch.in
Related Searches
Subscapularis Test Shoulder
Subscapularis Trigger Point
Subscapularis Strengthening
Rotator Cuff Subscapularis
Subscapularis Tendonitis
Supraspinatus Internal Rotation
Shoulder Subscapularis Tendon Tear
Subscapularis Anatomy
Subscapularis Muscle Anatomy
Subscapularis Fossa
Subscapularis Muscle Strain
Subscapularis Injury
Subscapularis Muscle Origin
Subscapularis Action Internal Rotation
Subscapularis Isometric
Subscapularis Muscle Stretch
Subscapularis Function
Subscapularis Muscle Pain
Subscapularis Location
Subscapularis Exercises
Subscapularis Infraspinatus
Subscapularis Impingement
Subscapularis Tendinosis
Subscapularis Repair
Subscapularis Referral Pattern
Subscapular Pain
Internal Rotation of the Humerus
Subscapularis Attachment
Subscapularis Adduction
Test for Subscapularis
Lift Off Test Subscapularis
Subscapularis Tendinopathy
Scapular Winging Treatment
Subscapularis Rehab Exercises
Acute Rotator Cuff Tear
Internal Rotation of the Arm
Opposition to Internal Rotation Subscapularis
Scapula Muscle Pain
Subscapularis Internal Rotation Arom Degree
How to Stretch Subscapularis
Internal Rotators of Shoulder
Internal and External Rotation of Subscapularis Muscle
Special Test for Subscapularis
Subscapularis Anterior
Subscapularis Stretch Doorway
Stretches for Subscapularis Muscle
Subscapularis Medial Rotation
Subscapularis Abduction Rotation
Bicep Arm Muscle Anatomy
Subscaprlius and Internal Rotation
Search
×
Search
Loading...
No suggestions found