Find Your Style
Women
Men
Accessories
Search for clothing, brands, styles...
×
Women
Men
Accessories
Parametric Programming Examples
Search
Loading...
No suggestions found
Examples in Parametric Inference with R
bookswagon.com
Development of Variable Residential Buildings with 3D-Printed Walls
mdpi.com
Buy Parametric Programming with FANUC Custom Macro: Extend what you can ...
desertcart.in
Buy Understanding CREO Parametric through Examples | e Book Online at ...
amazon.in
Optimizing Processes Through Parametric Programming In PLC eBook ...
amazon.in
Buy MULTI-LEVEL MIXED-INTEGER OPTIMIZATION: PARAMETRIC PROGRAMMING ...
amazon.in
Understanding CREO Parametric Through Examples eBook : Kaushik Kumar ...
amazon.in
Buy Postoptimal Analyses, Parametric Programming and Related Topics ...
amazon.in
Everything You Need to Know About Parametric Modelling (2025)
novatr.com
Parametric Modelling Software | Autodesk
autodesk.com
Parametric Design In Structural Engineering (With Examples)
novatr.com
R Programming - Comprehensive Notes for Course R-Complete - Studocu
studocu.com
Visual Programming - What is it And Why Should Architects Care?
novatr.com
R Programming Source Code|R Programming Tutorial | S-Logix
slogix.in
R Programming Cheat Sheet - General Data StructureS ManipulatinG ...
studocu.com
Everything You Need to Know About Parametric Modelling (2025)
novatr.com
How is Generative Design Useful in Structural Engineering?
novatr.com
MJP PUBLISHERS
mjppublishers.com
What Is Grasshopper in Rhino? A Complete Guide for Architects & Designers
novatr.com
Parametric Design In Structural Engineering (With Examples)
novatr.com
ANOVA - India Dictionary
1investing.in
Parametric EQ [Analog Devices Wiki]
wiki.analog.com
Parametric Design In Structural Engineering (With Examples)
novatr.com
Visual Programming - What is it And Why Should Architects Care?
novatr.com
Parametric Design In Structural Engineering (With Examples)
novatr.com
Buy PHP Programming Solutions - Practical Applications and Examples ...
amazon.in
Differentiation of Parametric Equations - Definition, Worked Examples ...
mech.poriyaan.in
How Rhino Grasshopper is used in Parametric Designs & Modelling
novatr.com
Development of Variable Residential Buildings with 3D-Printed Walls
mdpi.com
What Are the Applications of Parametric Design in Architecture?
novatr.com
Parametric Design In Structural Engineering (With Examples)
novatr.com
Everything You Need to Know About Parametric Modelling (2025)
novatr.com
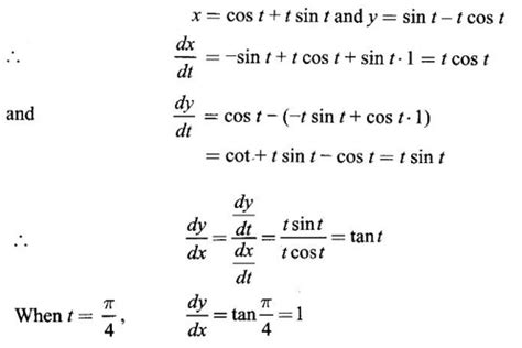
Differentiation of Parametric Equations - Definition, Worked Examples ...
mech.poriyaan.in
Amazon.in: Buy Parametric Programming for Cnc Machines Book Online at ...
amazon.in
Differentiation of Parametric Equations - Definition, Worked Examples ...
mech.poriyaan.in
How to Create & Use Programming Flowcharts with Examples
edrawmax.wondershare.com
Parametric Design In Structural Engineering (With Examples)
novatr.com
Differentiation of Parametric Equations - Definition, Worked Examples ...
mech.poriyaan.in
10 Modern Pavilion Architecture Examples Around the World {2025}
novatr.com
Parametric Design In Structural Engineering (With Examples)
novatr.com
Differentiation of Parametric Equations - Definition, Worked Examples ...
mech.poriyaan.in
Everything You Need to Know About Parametric Modelling (2025)
novatr.com
Rhino 3D vs Solidworks Software: Which One Should You Learn In 2024
blog.novatr.com
Parametric Modelling Software | Autodesk
autodesk.com
R Programming Workshop
ahduni.edu.in
Bootstrapping Definition & Example - India Dictionary
1investing.in
R Programming Course
edukators.in
How to Create & Use Programming Flowcharts with Examples
edrawmax.wondershare.com
How to Create & Use Programming Flowcharts with Examples
edrawmax.wondershare.com
Hands-On Programming with R: Write Your Own Functions and Simulations ...
amazon.in
Differentiation of Parametric Equations - Definition, Worked Examples ...
mech.poriyaan.in
Parametric Modelling Software | Autodesk
autodesk.com
Buy Uncertainty-aware Integration of Control with Process Operations ...
amazon.in
Parametric Facade Optimization: The complete Guide to Performance ...
novatr.com
Differentiation of Parametric Equations - Definition, Worked Examples ...
mech.poriyaan.in
How to Create & Use Programming Flowcharts with Examples
edrawmax.wondershare.com
Differentiation of Parametric Equations - Definition, Worked Examples ...
mech.poriyaan.in
Buy Introduction to Non Parametric Methods through R Software Book ...
amazon.in
Parametric Modelling Software | Autodesk
autodesk.com
Inventor Features | New Features 2025, 2024 | Autodesk
autodesk.in
What a p-Value Tells You about Statistical Data - India Dictionary
1investing.in
Buy CNC Programming: Tutorial Examples G & M Codes Book Online at Low ...
amazon.in
Parametric Modelling Software | Autodesk
autodesk.com
Buy Parametric Array Loudspeakers: From Theory to Application Book ...
amazon.in
Tutorial - Understanding Recursion - Hoptop Online Judge
hpoj.cb.amrita.edu
OOP-PART 2-Aliasing,overloading etc - OBJECT ORIENTED PROGRAMMING ...
studocu.com
Parametric Landscape Design: Everything You Must Know About It
novatr.com
Buy Modeling and Solving Linear Programming with R Book Online at Low ...
amazon.in
Parametric Modelling Software | Autodesk
autodesk.com
Buy PLC Programming with the Raspberry Pi and the OpenPLC Project ...
desertcart.in
Learn R Programming: Getting Started with R Language Cheatsheet - Tech Hyme
techhyme.com
Introduction to Algorithmic Design in Architecture - Beginners Guide
novatr.com
Chapter 1 (part-2) - Object oriented programming with C++ - Studocu
studocu.com
ATmega32 Microcontroller Pinout & Programming Examples
in.pinterest.com
Unit - V-Generic Programming - Generic Programming The term generics ...
studocu.com
Dynamic-Programming | Desi QnA | Set - 2 - Desi QnA
desiqna.in
Buy The Ultimate Programming C Course: Master the Basics of Coding in ...
desertcart.in
Buy R PROGRAMMING Book Online at Low Prices in India | R PROGRAMMING ...
amazon.in
Buy HP-48 Programming Examples (Hewlett Packard Press Series) Book ...
amazon.in
Effective Public Health Intervention Program Examples
hsocialcreator.in
10 Incredible Parametric Wall Designs Around The World That Will Blow ...
blog.novatr.com
Buy Python Programming for Beginners: 25 Solved Examples with Case ...
amazon.in
Example of c program - C programmng - Studocu
studocu.com
Buy Dynamic Programming by Python Examples: 27 (Advanced Topics in ...
amazon.in
Buy PYTHON PROGRAMMING FOR BEGINNERS: Guide to Master the Basics of ...
desertcart.in
Buy Statistical Predictive Modelling through R Programming Book Online ...
amazon.in
Award-winning architect Chris Precht on his radical nature-imbued designs
lifestyleasia.com
Buy Basics of Cnc (Computer Numerical Control) Programming: Cnc ...
desertcart.in
Buy R Programming Language Book Online at Low Prices in India | R ...
amazon.in
Buy Beginners Guide for Data Analysis using R Programming Book Online ...
amazon.in
The Ultimate Calculus Collection!!! - ticalc.org
ticalc.org
Buy Employee Awards Recognition Program Checklist Human Resource Form ...
etsy.com
Master R Programming
askaswath.in
Buy Arduino programming: Syntax, Concepts, Arduino & Proteus , and ...
desertcart.in
How to Create & Use Programming Flowcharts with Examples
edrawmax.wondershare.com
Buy Parametric Wall Art Wavewall2 CNC Cutting File Online in India - Etsy
etsy.com
Explain Basic Structure of C Program with Example
codeamy.in
Multi-Level Inheritance : Example
minigranth.in
A Tour of C Programming in Very Easy Steps: Including 2000+ C ...
amazon.in
Example
minigranth.in
AI3021 IT in Agricultural Systems Course Syllabus Overview - Studocu
studocu.com
100 Family Reunion Invitation Wording Ideas to Bring Your Family Together
tring.co.in
Boosting Customer Loyalty: Effective OKR Examples for Program Managers
larksuite.com
JAVA Programming Simplified: From Novice to Professional- Start at the ...
amazon.in
Buy Tecnomatix Plant Simulation: Modeling and Programming by Means of ...
amazon.in
C Programming:Variables Introduction and Types, With Examples and ...
techdoge.in
Tokens IN C - TOKENS IN C A C program consists of various tokens and a ...
studocu.com
Core Python Programming : Covers fundamentals to advanced topics like ...
amazon.in
10 Best Programming Languages for Engineers - EE Times India
eetindia.co.in
Why choose Python as your first programming language?
projectguru.in
R Training in Chennai | R Programming Training in Chennai | FITA Academy
fita.in
Buy Concepts of Programming Languages | Eleventh Edition | By Pearson ...
amazon.in
Employee Training Plan Template – ITSM Docs - ITSM Documents & Templates
itsm-docs.com
Consonant Blends – How to Teach Consonant Blends - Wiki
twinkl.co.in
Industrial Robotics Technology Programming And Applications 2Ed (Sie ...
amazon.in
Buy BASIC PLC PROGRAMMING FOR BEGINNERS (Mitsubishi Electric GX Works2 ...
desertcart.in
Ultimate Guide for Letter of Recommendation for Masters Program in 2025
kansaz.in
Parametric Chair Design for Home Office and Interiors Digital - Etsy India
etsy.com
4 Best Laptops For Programming To Maximise Your Efficiency | Cashify ...
cashify.in
IIT Kharagpur online short course Introduction to R Programming and ...
edubard.in
Related Searches
Parametric Meaning
Define Parametric
Parametric Definition
Parametric Product Design
Parametric Design Software
Parametric Modeling Software
Parametric CNC Programming
Parametric Linear Programming
Modular Programming
Parametric Program
Parametric Model
CNC Programming PDF
LinuxCNC Parametric Programming
Acros and Parametric CNC Programming
Parametric Polymorphism
Fanuc Variable Programming Example
Macro Programming Examples
Parametric Equation Graph
Parametric Description
Visual Programming
CNC Macro Programming for Beginners
Critical Regions in Multi Parametric Programming
Parametric Programing Inventor
CNC Lathe Programming
Parametric Means
Programing Demo
Wearable Equipment Parametric
System Variables Fanuc
Polar Coordinates in CNC
Parametric Design Architecture
CNC Macro Programming Examples PDF
Parametric Modeling
Fanuc Parametric Programming Examples
Parametric Approach
Programming by Demonstration
Modular Design Programming
Revit Parametric Modeling
CNC Macro Programming
CNC Macro Programming Examples
Custom Macro Programming
Parametric Optimization
Macro Variables CNC
CNC Macros Sample Programs
CNC Macro for Hex
CNC Macro Variable Programming
Parametric CNC
Parametric Programming Examples
Visual Programming Application
Linear Programming Convex
Search
×
Search
Loading...
No suggestions found