Find Your Style
Women
Men
Accessories
Search for clothing, brands, styles...
×
Women
Men
Accessories
Pcl5 Reagent
Search
Loading...
No suggestions found
Liquid Mindray Hematology Reagent Products at price INR 2500 in Jaipur ...
rajbiosis.in
Carboxylic Acid and Its Derivatives- Properties and Chemical Reactions
allen.in
Phosphorus Pentachloride (PCl5) – Introduction, Structure, Physical and ...
aakash.ac.in
Phosphorus Halides: Definition, Structure, Preparation & Properties ...
aakash.ac.in
Please explain the mechanism of pcl5 with alcohol when pcl5 is gas
scoop.eduncle.com
Please explain the mechanism of pcl5 with alcohol when pcl5 is gas
scoop.eduncle.com
Please explain the mechanism of pcl5 with alcohol when pcl5 is gas
scoop.eduncle.com
Arrange the following by appropriately matching the lists based on the ...
edurev.in
Phenol reacts with PCl5 to give mainly - Tardigrade
tardigrade.in
All the pcl bonds in pcl5 molecules are not equivalent why ? - Brainly.in
brainly.in
P-benzoquinone reacts with PCl5 to form: - Brainly.in
brainly.in
propan-1-0l -pcl5 heat - Brainly.in
brainly.in
In the dissociation of PCl 5 as PCl 5( g ) leftharpoons PCl 3( g )+ Cl ...
tardigrade.in
Formic acid reacts with PCl5 to form - Tardigrade
tardigrade.in
RCOOH on treatment with PCl5 and KCN, is subjected to hydrolysis ...
tardigrade.in
Draw lewis structures of PCl5 - Brainly.in
brainly.in
The structure of PCl 5 in the solid state is - Tardigrade
tardigrade.in
The reaction of acetone with PCl5 gives - Tardigrade
tardigrade.in
The compound A on treatment with Na gives B and with PCl5 gives C. B ...
tardigrade.in
Identify the incorrect statement related to PCl5 from the following:
tardigrade.in
Two moles of PCl5 were heated in a closed vessel of 2 L. At equilibrium ...
tardigrade.in
In the reaction pcl5 givng pcl3 +cl2 the partial pressure of pcl3 cl2 ...
brainly.in
Find the value of kp and kc for reaction pcl5 -> pcl3 cl2 if at ...
brainly.in
draw the Lewis structure for pcl5 - Brainly.in
brainly.in
2 mole of PCl5 were introduced in a vessel of 5 L capacity of a ...
edurev.in
Statement 1: The dissociation of PCl5 decreases on increasing pressure ...
tardigrade.in
2 g molecule of PCl5 are heated in a closed vessel of two litre ...
tardigrade.in
PCl 5 dissociates as PCl 5( g )leftharpoons PCl 3( g )+ Cl 2( g ) 5 ...
tardigrade.in
For the equilibrium in a closed vessel PCl5(g) PCl3(g) + Cl2(g) Kp is ...
brainly.in
If equatorial plane in PCl 5, molecule is the X - Y plane, the orbital ...
tardigrade.in
shape of following on the basis of vseper theory pcl5 clf3 Xef4 ...
brainly.in
The reaction, PCl5 leftharpoons PCl3 + Cl2 is started in a 5 litre ...
tardigrade.in
Pcl5 gives pcl3+cl2 the relation between Delta h and Delta u - Brainly.in
brainly.in
Ch3-ch2-ch2-oh-------use pcl5 - Brainly.in
brainly.in
Which of the following statements is/are true about the P — Cl bonds in ...
tardigrade.in
Draw the structure of PCl5 in solid state. - Brainly.in
brainly.in
how many d-orbitals are involved in the formation of PCl5? - Brainly.in
brainly.in
Among the following statements:- I. PCl5 is trigonal bipyramidal ...
tardigrade.in
explain the geometry of pcl5 molecule. - Brainly.in
brainly.in
Draw the structure of PCl5 in solid state. - Brainly.in
brainly.in
balance PCL5+H2o=POCL3 +HCL by hit and trail method - Brainly.in
brainly.in
Number of planar atoms in PCL5 - Brainly.in
brainly.in
propan-1-0l -pcl5 heat - Brainly.in
brainly.in
The compound A on treatment with Na gives B, and with `PCl_(5)` gives C ...
allen.in
In the reaction, pcl5_pcl3+cl2, the equilibrium concentration of pcl5 ...
brainly.in
4 mol of PCl5 are heated at the constant temperature in the closed ...
brainly.in
9. The equilibrium constant Kp for the thermal dissociation of PCl5 at ...
brainly.in
Coagusense 03p56 50 Rapid Diagnostic Test Kit Coag Sense Professional ...
desertcart.in
In an evacuated closed isolated chamber at 250^oC . .02 mole PCl5 and ...
brainly.in
At 200°C. The vapour density of PCl5(g) is 60. Then find out α for PCl5 ...
brainly.in
Phenol reacts with PCl 5, the main product is: - Tardigrade
tardigrade.in
In the following reaction sequence, the compound C isEthyl amine →HNO2 ...
zigya.com
The number of non-ionisable hydrogen atoms present in the final product ...
tardigrade.in
Please explain the mechanism of pcl5 with alcohol when pcl5 is gas
scoop.eduncle.com
Calculate the value of equilibrium constant when 2 moles of PCl5 is ...
tardigrade.in
Explain the formation of sf6 and pcl5 molecules with their ...
brainly.in
At 540K, 0.10 moles of PCL5 are heated in a 8-litre flask - CBSE Class ...
ask.learncbse.in
PCl5 causes cleavage of ether linkage textR - textO - textR' forming ...
tardigrade.in
Explain hybridization of phosphorus in pcl5 - Brainly.in
brainly.in
Explain the Structure of PCl5 - Brainly.in
brainly.in
How does the diethyl ether react with the following reagents?a) O2 ...
brainly.in
The oxidation number of phosphorus in PCl 5, P 2 O 5 and H 2 PO 3 ...
tardigrade.in
Explain the Structure of PCl5 - Brainly.in
brainly.in
Which of the following statements is correct regarding dissociation of ...
brainly.in
a moles of PCl5 are heated in a closed container to equilibrate PCl5(g ...
brainly.in
Solid PCl5 exists as - Tardigrade
tardigrade.in
4 mol of pcl5 are heated at constant temperature in closed container ...
brainly.in
In a set of th given reaction, acetic acid yielded a product C. CH3COOH ...
brainly.in
2 moles of PCl 5 were heated in a closed vessels of 2 litre capacity at ...
tardigrade.in
Explain the Structure of PCl5 - Brainly.in
brainly.in
if 8 gram mole of PCL5 heated in a closed vessel of 10 litre capacity ...
brainly.in
structure of PCl5 on the basis of vsepr theory .explain why all bonds ...
brainly.in
Two axial bonds of pcl5 are longer than equatorial bonds - Brainly.in
brainly.in
ChemicalBook - Indian Manufacturers Suppliers Exporters Directory
chemicalbook.in
Q. Which of the following molecule is polar? 1. PF3Cl2 2. PCl5 3 ...
brainly.in
Phosphorus pentachloride dissociate as follows, in a closed reaction ...
brainly.in
Or the reaction, pcl3(g)+cl2(g)⇌pcl5(g)pcl3(g)+cl2(g)⇌pcl5(g) the value ...
brainly.in
Mention the shape and type of hybridisation of pcl5 and sf6 - Brainly.in
brainly.in
hybridisation of pcl5 - Brainly.in
brainly.in
The Association of Post-Concussion and Post-Traumatic Stress Disorder ...
mdpi.com
ELEMENTAL CHEMISTRY: Phosphazenes
elementalchemistry.in
Convert acetic acid to acetyle chloride - Brainly.in
brainly.in
Phosphorus Halides: Definition, Structure, Preparation & Properties ...
aakash.ac.in
2 moles of pcl5 were heated in a closed vessel of 2 litre capacity. At ...
brainly.in
ChemicalBook - Indian Manufacturers Suppliers Exporters Directory
chemicalbook.in
What are reagent agents || reagents in organic chemistry reactions ...
chemistrypage.in
Identify the incorrect statement related to PCl5 from the following:
tardigrade.in
An unknown alcohol is treated with the "Lucas reagent" to determine ...
tardigrade.in
draw Lewis dot structure of PCl5, HNO3, PCl3, H2O, NH4+ - Brainly.in
brainly.in
Reaction Mechanism Chemistry - Organic Chemistry PDF Download
edurev.in
Organic Chemistry JEE Mains: Reagents and Their Functions - Studocu
studocu.com
TCI Practical Example: Mitsunobu Reaction Using Tsunoda Reagent | Tokyo ...
tcichemicals.com
Coagulation Reagents -Raj Biosis Pvt Ltd, Jaipur
rajbiosis.in
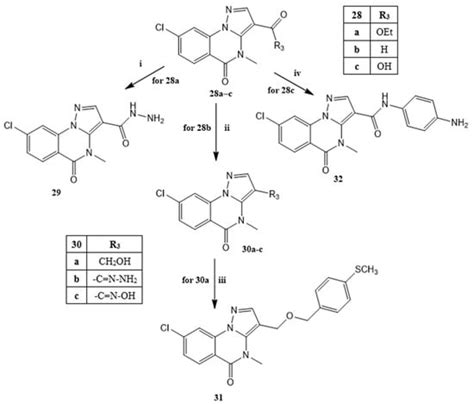
Anti-Inflammatory Activity of Pyrazolo[1,5-a]quinazolines
mdpi.com
Explain the hybridization involved in pcl5 molecule - Brainly.in
brainly.in
Organic Reagents - S Reagent Function 1 PCl3. PBrs PI3 Alcohols into ...
studocu.com
Anti-Inflammatory Activity of Pyrazolo[1,5-a]quinazolines
mdpi.com
2-4% RBC Antibody Screening Cells | Panoscreen | Immucor
transfusionandtransplant.werfen.com
At temperature t kelvin, PCl5 is 50% disassociated at an equilibrium ...
brainly.in
At 250 degree Celsius the vapour density of PCl5 is 100 so calculate ...
brainly.in
Number of right angles in PCl5 - Brainly.in
brainly.in
The reaction of Grignard reagent with carbonyl compound is a ...
tardigrade.in
Predict the product C in the following series of reactions: CH 3- COOH ...
tardigrade.in
Chemical Synthesis
sigmaaldrich.com
Sodium tartrate dihydrate Water standard for volumetric Karl Fischer ...
sigmaaldrich.com
what is hybeidixation explain the hylaidriation involved in pcl2 and ...
brainly.in
PCl5, PCl3 and Cl2 are at equilibrium at 500k and having concentration ...
brainly.in
Anti-Inflammatory Activity of Pyrazolo[1,5-a]quinazolines
mdpi.com
In 500ml flask the degree of dissociation of pcl5 at equilibrium is 40% ...
brainly.in
Practical-Titration, Chromatography, sols - Practicals TITRATION 1 ...
studocu.com
How many moles of PCL5 can be produced from 22.0 g of P4 (and excess ...
brainly.in
Using vsper theory draw the shape of PCl5 and BrF5 - CBSE Class 11 ...
ask.learncbse.in
Karl Fischer Standards
merckmillipore.com
Pcl5 _ pcl3+ cl2, molecular weight of gas mixture is 160 . Find ...
brainly.in
Benedict's Test - Reagent, Composition, Principal and Uses
careerpower.in
Formation of PCl5 Sp3 hybridisation - Brainly.in
brainly.in
Describe the structure of following hybridization pcl5 - Brainly.in
brainly.in
CHEMCA Free Chemistry Notes for JEE NEET Chemistry MadeEasy: REACTION ...
chemca.in
Select the given code of reagents for following conversion and write ...
tardigrade.in
Phosphorus Pentachloride (PCl5) – Introduction, Structure, Physical and ...
aakash.ac.in
Related Searches
PCL5 Shape
PCL5 Bond Angle
PCL5 VSEPR
PCL5 Lewis
PCL5 Polar or Nonpolar
PCL5 Structure
PCL5 Reaction
ClF5
BrF5
PF5
PCL5 Solid
XeF2
PCL5 Geometry
PCL5 Hybridization
Lewis Structure for PCL5
PCL5 Molecular Geometry
If5
PCL5 3D Structure
POCl3
Lewis Dot Structure for PCL5
PCL5 Bonding
BrF3
AsCl5
SF4
PCL5 Molecule
PCL5 and Alcohol
BeCl2
PCL5 Lone Pairs
PCL5 Compound Name
PCL5 Polarity
XeF4
SF6
PCL5 Electron Geometry
So3
PCL5 Lewis Diagram
BCl3
PCL5 Point Group
Formation of PCL5
PCL5 GIF
Draw a Lewis Structure for PCL5
CCl4
SO2
What Is Phosphorus
CS2
NH3
RCOCl
PCl3 Lewis Structure
PCL5 Reagent
PBr5
Opcl Lewis Structure
Search
×
Search
Loading...
No suggestions found