Find Your Style
Women
Men
Accessories
Search for clothing, brands, styles...
×
Women
Men
Accessories
Percent Proportion Math Kid 7th
Search
Loading...
No suggestions found
50+ Percents worksheets for 7th Class on Quizizz | Free & Printable
wayground.com
What Are Proportions? | Proportion and Ratio | Twinkl
twinkl.co.in
7th Grade Constant of Proportionality Worksheet | Twinkl USA
twinkl.co.in
Seventh Grade Ratios, Proportions, and Percents Flashcards
twinkl.co.in
Class 7 - Percentage | Math Practice, Questions, Tests, Worksheets ...
in.edugain.com
Ratio and Proportion PowerPoint (teacher made) - Twinkl
twinkl.co.in
What Are Ratios Seventh Grade | Math activities
math-center.org
Seventh Grade Real World Ratio and Proportions Worksheet
twinkl.co.in
Seventh Grade Ratios, Rates, and Equivalency Practice
twinkl.co.in
Ratio Display Poster (teacher made)
twinkl.co.in
Seventh Grade Equivalent Ratios Practice
twinkl.co.in
20231107075049538244 nov 6 hw ratio s practice 4 - REFRESH KID admin ...
studocu.com
Seventh Grade Ratio and Proportion Word Search - Twinkl
twinkl.co.in
Equivalent Ratios Worksheet / Worksheet (teacher made)
twinkl.co.in
50+ Drawing Hearts worksheets for 7th Class on Quizizz | Free & Printable
quizizz.com
Ratio Word Problems 7th Grade | 7th Grade Resource | Twink
twinkl.co.in
Seventh Grade Real World Ratio and Proportions Exit Ticket
twinkl.co.in
Seventh Grade Solving Multistep Ratio and Percent Problems
twinkl.co.in
Interesting Ratio and Proportion Facts for Kids - Twinkl Homework Help
twinkl.co.in
Seventh Grade Equivalent Ratio Word Problems
twinkl.co.in
Equivalent Ratios Worksheet | Ratios | Number
twinkl.co.in
Seventh Grade Solving Ratio and Rate Problems Exit Ticket
twinkl.co.in
The ratio of 7th to 3rd term of an A.P is 12:5. find the ratio of a¹³ ...
brainly.in
The ratio of the 5th and 3rd terms of an A.P. is 2:5. Find the ratio of ...
brainly.in
Solved: The Top-Notch Middle School had athletes from all the grades ...
gauthmath.com
The ratio of 7th term 17th term is 2:5 find the ratio of the sum of ...
brainly.in
In an arithmetic progression the ratio between 7th and 3rd term is 12:5 ...
brainly.in
In an ap the ratio of 3rd and 7th term is 3:7.find the 4th and 12th ...
brainly.in
the ratio of 7th to 3rd term of an aP is 12:5 find the ratio of 13th ...
brainly.in
in an arithmetic progression the ratio of seventh term to the fourth ...
brainly.in
The ratio of 7th to 3rd term of an AP is 12:5.Find the ratio of 13th to ...
brainly.in
in an arithmetic progression the ratio of seventh term to the fourth ...
brainly.in
The ratio of the 5th and 3rd terms of an A.P. is 2:5. Find the ratio of ...
brainly.in
if the sum of 7th term of an arithemetic progression is 182. if its 4th ...
brainly.in
The ratio of the 7th to the 3rd term of an A.P. is 12:5. Find the ratio ...
brainly.in
the ratio of 7th to the 3rd term of an AP is 12:5 find the ratio of ...
brainly.in
In an arithmetic progression the ratio between 7th and 3rd term is 12:5 ...
brainly.in
. In a G.P. , the 5th term is 32 and 7th termis 128, then the common ...
brainly.in
the ratio of 7th to 3rd term of an a.p is 12:5.find the ratio of 13th ...
brainly.in
If the ratio of the 7th term to 3rd term of ana.p. is 12/5, then what ...
brainly.in
Find the first term and the common ratio of a G.P whose fourth term is ...
brainly.in
9. The ratio of the third and 6th term of an arithmetic sequence is 4 : ...
brainly.in
In an arithmetic progression the ratio between 7th and 3rd term is 12:5 ...
brainly.in
Q1: Write cach ratio as a fraction in simplest form. 1. 7th-grade boys ...
brainly.in
The ratio of 7th term 17th term is 2:5 find the ratio of the sum of ...
brainly.in
In an arithmetic progression the ratio between 7th and 3rd term is 12:5 ...
brainly.in
The ratio of the sum of n terms of two aps is (3n+4) : (5n+6). Find the ...
brainly.in
Similar Figures Worksheet | Math Resource | Twinkl USA
twinkl.co.in
The first term of two aps are equal and the ratio of their common ...
brainly.in
Find the common ratio and 7th term of geometric sequence 0.03, 0.6 ...
brainly.in
if the third term and seventh term of a g.p. are 0.08 and 0.000128 ...
brainly.in
the ratio of second to seventh terms in an A. P. is 1/7. if the first ...
brainly.in
what is the relationship between age composition and dependency ratio ...
brainly.in
the ratio of 7th to 3rd term of an AP is 12:5 find the ratio of the ...
brainly.in
raj's age after 6 years will be three-seventh of his father's age. ten ...
brainly.in
the ratio of 7th to 3rd term of an AP is 12:5 find the ratio of the ...
brainly.in
The ratio of 7th term 17th term is 2:5 find the ratio of the sum of ...
brainly.in
Asha and beena share profits and losses in the ratio of 4:3. they admit ...
brainly.in
Buy Edulearnable Plastic Cuisenairre Rods (Fraction Rods) Individual ...
amazon.in
The ratio of the sum of n terms of two aps is (3n+4) : (5n+6). Find the ...
brainly.in
divide 336 in ratio of 3:5 7th grade question help please meee - Brainly.in
brainly.in
The 4th term of a G.P. is 16 and the 7th term is 128. Find the first ...
brainly.in
The ratio of the 7th to the 3rd term of an A.P. is 12:5. Find the ratio ...
brainly.in
23. If ratio of second to seventh terms in an A.P., where first term is ...
brainly.in
Determine the AP whose third term is 16 and the seventh term exceeds ...
brainly.in
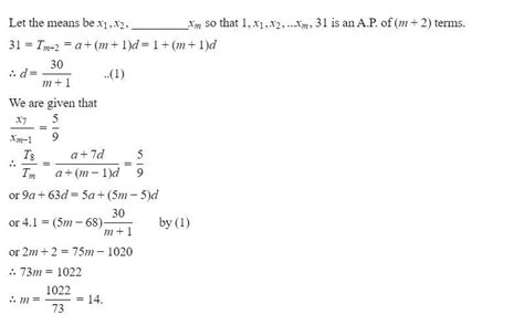
Between 1 and 31, 'm' arithmetic means are inserted such that the ratio ...
brainly.in
Abhay’s age after six years will be three-seventh of his father’s age ...
brainly.in
The IXL Ultimate 6th Grade Math Workbook, Activity Book for Kids Ages ...
michaels.com
Tip Speed Ratio Measurement Guide for Kid Wind Projects - Studocu
studocu.com
If 'n' AMs are inserted between 1 and 51, and the ratio of 4th term to ...
brainly.in
The IXL Ultimate 6th Grade Math Workbook, Activity Book for Kids Ages ...
michaels.com
Jotun protects property|[IN]
jotun.com
if the ratio of the sum of n terms of two A. P. s is n+7 :3n+1, find ...
brainly.in
the difference between two number is one seventh of the sum of these ...
brainly.in
If the ratio of the sum of first n terms of two AP's is n+7 : 3n+1 ...
brainly.in
Concrete Grade | Concrete Mix Ratio | Different Grades of Concrete
constructioncivilengineering.com
the fourth term of a ap is 11 . the sum of the fifith and seventh term ...
brainly.in
Buy Baby Lord Shiva Art: Hindu God Digital Print (instant Download ...
etsy.com
IYZEVK 6 Pcs Car Toys, Car Movie Die-cast Toy Car Set, 1:55 India | Ubuy
ubuy.co.in
the difference between two numbers is one seventh of the sum of these ...
brainly.in
7th Practical (worm and worm wheel) - Practical No. 7 Aim To determine ...
studocu.com
If the ratio of the 7th term from the beginning to the 7th term from ...
brainly.in
the ratio of the 5th and 3rd terms of an AP is 2.5 find the ratio of ...
brainly.in
A group of african children sitting in a classroom with one of them ...
freepik.com
if the sum of the n terms of two AP is n 7:3n 1,then find the ratio of ...
brainly.in
If 'n' AMs are inserted between 1 and 51, and the ratio of 4th term to ...
brainly.in
find the fourth proportional to 8.1 , 1.2 , 2.7 - Brainly.in
brainly.in
Ratio of minimum and maximum pay in 7th Pay Commission
potoolsblog.in
if the ratio of the sum of n terms of two A. P. s is n+7 :3n+1, find ...
brainly.in
if the ratio of the sum of n terms of two A. P. s is n+7 :3n+1, find ...
brainly.in
Indoor Outdoor Portable Slides for Kids Age Group 1-5 Years
snd.in
If x- 1/x = 5 find:-i) 2(x2 +1/x2) ii)2(x + 1/x) - Brainly.in
brainly.in
3. If two numbers are in the ratio 6 : 13 and theirt.c.m. is 312, find ...
brainly.in
Find the sum of first 30 terms of an AP whose second term is 2 and ...
brainly.in
Seventh Day Adventist Higher Secondary School Kolhapur
seventhdayschoolkolhapur.co.in
X and y are partners sharing profit in the ratio of 4:3. z joins ...
brainly.in
A dance team has 80 dancers. The ratio of seventh-grade dancers to all ...
brainly.in
What size bike should i get for a 4 on sale year old
metrorailnews.in
the difference between two numbers is one seventh of the sum of these ...
brainly.in
7th Pay Commission: Higher payout to employees has not affected costs ...
ibtimes.co.in
730.12 x 1.52 how to slove it ? - Brainly.in
brainly.in
26. Simplify 2a – [ 3b – { a – ( 2c – 3b ) + 5c – 2( a – c) }] - Brainly.in
brainly.in
3M Window Channel Dresser (140 g/250ml) | Clean and Dust-Free Window ...
amazon.in
raj's age after 6 years will be three-seventh of his father's age. ten ...
brainly.in
YATOINTO Rope Hoist Pulley System, 4400LB Pulley Block and Tackle, 8:1 ...
amazon.in
raj's age after 6 years will be three-seventh of his father's age. ten ...
brainly.in
raj's age after 6 years will be three-seventh of his father's age. ten ...
brainly.in
A, B and C are partners sharing profits in the ratio of 5:4:3. They ...
brainly.in
What a primary school in Keonjhar tells us about Odisha's misplaced ...
scroll.in
Where do you apply the principle of mathematics? - Brainly.in
brainly.in
Jodhamal Public School ranked as top School in J&K
crosstownnews.in
ABCD is a trapezium in which AB || DC. if angle A = 50° and angle B =70 ...
brainly.in
Capital Budgeting - Question 1 Give the Cash Flow of a Project Years 0 ...
studocu.com
Related Searches
Percent Proportion
Percent Proportion Worksheet
Percent Proportion Definition Math
Percent Proportion Formula
Percent Math Tips
What Is a Percent Proportion in Math
Percent Proportion Equation
Proportion and Percentage Math
Part-Whole Percent Proportion
Percent Proportion Problems
7 2 Practice the Percent Proportion
Percent Proportion Examples
Percent Proportion Step by Step
Percent Proportion 6th Grade Math
Percent Proportion Math Kid 7th
Example of a Proportion Percent Whole Part Blank Sheet
Proportion and Percentage Math One Question
Percent Proportion Worksheet.pdf
Percent Middle School Math
Perecent Proportion
Percent Proportion Notes
Percent Equation vs Porportion in Math
Display Board On Proportion Percent and Integers
Teach Percent Kids
How to Set Up a Proportion Math with Percents
How to Do Percent Proportion
Percent Proportion and Equation Worksheets
7 2 Practice the Percent Proportion Paper
Using the Percent Proportion Worksheet
How to Get Percent Proportion
Percent Proportion Slideshow
Percent Proportion a B
Proportions Reference Math Percentages
Math Study Pre-Portion
Percent Middle School Math Book
Precent and Proportion Worksheet Middle School
Connect Percent and Proportion Page 27
Lesson 3 Reteach the Percent Proportion
Proportions Math Funny
Percent Proprshon Equstion
Math with Mr J Proportions with Percents
Percent Proportion Examples for Finding Whole
Percent Proportion Color Sheet Flower Answer Key
Percent Equation vs Porportion Formulas in Math
Percents and Proportional
Math Precent Diagrams
Proportion Method for Percentage of a Whole in 6th Grade Math
The Percent Proportion Coloring Activity Answer Key
Using Proportions to Clauulate Percent
Percent Proportions Foldable Notes.pdf
Search
×
Search
Loading...
No suggestions found